Должность:
Регион:
- менеджер работе с клиентами в Архангельске
- требуется менеджер работе с клиентами в Архангельске
- менеджер по работе с клиентами в Архангельске
- менеджер по работе с клиентам в Архангельске
- менеджера по работе с клиентами в Архангельске
- менеджер по работе с клиентом в Архангельске
- менеджеры по работе с клиентами в Архангельске
- менеджер для работы с клиентами в Архангельске
- менеджер по работе с интернетом в Архангельске
- менеджер по работе с сотрудниками в Архангельске
- менеджер по работе с договорами в Архангельске
- менеджер по работе с магазинами в Архангельске
- менеджер по работе с сетями в Архангельске
- менеджер по работе с организациями в Архангельске
- менеджер по работе с партнерами в Архангельске
- менеджер по работе с объектами в Архангельске
- менеджер по работе с кандидатами в Архангельске
- менеджер по работе с персоналом в Архангельске
- менеджер по работе с проектами в Архангельске
- менеджер по работе с документацией в Архангельске
- менеджер по работе с документами в Архангельске
- менеджер по работе с недвижимостью в Архангельске
- менеджер по работе с рекламой в Архангельске
- менеджер по работе с заказами в Архангельске
- менеджер по работе с покупателями в Архангельске
- менеджер по работе с ассортиментом в Архангельске
- менеджер по работе с водителями в Архангельске
- менеджер для работы с рекламой в Архангельске
- менеджер по работе с регионами в Архангельске
- менеджер по работе с поставщиками в Архангельске
- менеджер для работы с персоналом в Архангельске
Работа «менеджер по работе с застройщиками» в Архангельске, 23 свежие вакансии
Менеджер по работе с клиентами( АН Белое море )
, 50000 руб.– компания "ан белое море" мы, команда сотрудников агентства недвижимости белое море , с 2007 г. занимаемся покупкой и продажей недвижимости: вторичный рынок, новостройки, загородные дома, коммерция. входим в российскую гильдию риэлторов (ргр). на данный ...
Менеджер по продажам недвижимости( DDA REAL ESTATE )
, 250000 руб.– компания "dda real estate" dda real estate - международное агентство недвижимости, созданное в 2007 году. единственная компания на рынке, которая имеет более 200 офисов в россии от калининграда до камчатки, офисы в казахстане, турции и головной офис в ...
менеджер по продажам новостройки
, 90000 руб.– Ты работаешь в продажах, но не устраивает уровень дохода?У нас есть выход – стань менеджером по продажам новостройки застройщика Макси! Ты будешь:- работать только с входящим потоком клиентов;- вести переговоры с клиентами по подбору квартиры;- помогать ...
Менеджер по продаже новостроек
, 80000 руб.– компания "21 век" федеральное агентство недвижимости жилфонд — это большая сплочённая команда, 25 лет на рынке недвижимости, более 150 офисов по всей россии, более чем 1000 бизнес-партнеров. проводим набор специалистов по недвижимости на оклад 20 000 ...
Менеджер по продажам недвижимости
, 250000 руб.– DDA Real Estate - международное агентство недвижимости, созданное в 2007 году. Единственная Компания на рынке, которая имеет более 200 офисов в России от Калининграда до Камчатки, офисы в Казахстане, Турции и головной офис в Дубае. DDA Real Estate — резидент ...
Менеджер по продаже новостроек
, 80000 руб.– Федеральное Агентство недвижимости Жилфонд — это большая сплочённая команда, 25 лет на рынке недвижимости, более 150 офисов по всей России, более чем 1000 бизнес-партнеров. Проводим набор специалистов по недвижимости на оклад 20 000 рублей + % в первые ...
Менеджер по недвижимости (стажер)
, 50000 руб.– Приглашаем на учебу в компанию Жилфонд. Мы открыты для сотрудничества! Агентство недвижимости Жилфонд — одно из крупнейших агентств недвижимости России, это большая сплочённая команда из более чем 2000 риэлтеров. Приходите, и мы докажем вам, что вы ...
Менеджер по продажам( Макси, торговая компания )
, 90000 руб.– компания "макси, торговая компания" ты работаешь в продажах, но не устраивает уровень дохода?у нас есть выход – стань менеджером по продажам новостройки застройщика макси! ты будешь:- работать только с входящим потоком клиентов;- вести переговоры с клиентами ...
Менеджер по продажам мебели( Di Casa )
, 56000 руб.– компания "di casa" внимание! заявки на вакансию принимаются до 25 ноября 2022.мебельная компания di casa с 2012 года успешно производит и продает уникальные авторские решения для дома. специализируется компания на производстве кухонь и дизайне интерьеров ...
Менеджер по недвижимости (стажер)( 21 Век )
, 50000 руб.– компания "21 век" приглашаем на учебу в компанию жилфонд. мы открыты для сотрудничества! агентство недвижимости жилфонд — одно из крупнейших агентств недвижимости россии, это большая сплочённая команда из более чем 2000 риэлтеров. приходите, и мы докажем ...
Менеджер по недвижимости (стажер)
, 50000 руб.– компания "21 век" приглашаем на учебу в компанию жилфонд. мы открыты для сотрудничества! агентство недвижимости жилфонд — одно из крупнейших агентств недвижимости россии, это большая сплочённая команда из более чем 2000 риэлтеров. приходите, и мы докажем ...
Менеджер по недвижимости
, 75000 руб.– компания "21 век" приглашаем на работу в компанию жилфонд. мы открыты для сотрудничества! агентство недвижимости жилфонд — одно из крупнейших агентств недвижимости россии, это большая сплочённая команда из более чем 2000 риэлтеров. приходите, и мы докажем ...
– компания "ан белое море" мы, команда сотрудников агентства недвижимости белое море , с 2007 г. занимаемся покупкой и продажей недвижимости: вторичный рынок, новостройки, загородные дома, коммерция. входим в российскую гильдию риэлторов (ргр). на данный ...
менеджер по продажам новостройки
, 90000 руб.– компания "макси, торговая компания" макси - один из крупнейших девелоперов региональной коммерческой недвижимости россии. за 15 лет работы мы зарекомендовали себя как надежный партнер для наших клиентов в 7 регионах страны. сегодня мы являемся застройщиком ...
Агент по продаже недвижимости в Дубае
, 250000 руб.– компания "dda real estate" международное агентство недвижимости dda real estate ищет в нашу команду агента по продаже недвижимости в дубае на сдельной основе.dda real estate - это:1. более 200 офисов в россии, оаэ, турции и казахстане.2. лицензия на работу ...
Дизайнер по продажам корпусной мебели
, 90000 руб.– компания "зов" группа компаний зов – это основанное в 1997 году семейное предприятие, управление которым осуществляется членами семьи в третьем поколении. более 20 лет подряд мы являемся ведущим производителем кухонной и корпусной мебели как в республике ...
Территориальный менеджер
, 100000 руб.– Обязанности: Развитие работающей клиентской базы по СЗФО. Поиск новых клиентов (строительные объекты и организации); Анализ и прогнозирование продаж на закрепленной территории; Сопровождение сделок с выездами к клиентам (командировки); Выполнение поставленных ...
Менеджер активных продаж
, 70000 руб.– компания "он перспектива 24" оператор недвижимости перспектива 24 — это прогрессивная международная компания, представленная более чем в 110 городах не только в россии. мы занимаем лидирующие позиции на рынке: ✅ "лучший учебный центр в россии"-2019* ✅ ...
Менеджер активных продаж
, 70000 руб.– Оператор Недвижимости Перспектива 24 — это прогрессивная международная компания, представленная более чем в 110 городах не только в России. Мы занимаем лидирующие позиции на рынке: ✅ "Лучший Учебный Центр в России"-2019* ✅ Золотой партнер крупнейших банков ...
Менеджер срочно
, 70000 руб.– компания "он перспектива 24" для тех, кто хочет освоить новую профессию и получать комфортный доход для жизни и путешествий! доход начинающего специалиста 60 000 - 70 000 руб., ведущего - от 80 000 -100 000 руб. и выше. что вы получаете: работа в федеральной ...
Менеджер по развитию клиентов b2b
, 63800 руб.– компания "леруа мерлен" обязанности: работать с ключевыми клиентами компании. нашими клиентами являются строительные или ремонтные бригады, застройщики, собственники бизнесов, др. увеличение то отдела основной показатель эффективности менеджера. отвечать ...
Агент по продаже недвижимости в Дубае
, 250000 руб.– компания "шуховцев дмитрий алексеевич" международное агентство недвижимости dda real estate входит в федеральную группу компаний "бизнес-юрист" (на рынке с 2007 года). в связи с расширением штата ищем в нашу команду агента по продаже недвижимости в дубае ...
Менеджер по продаже с новостроек
, 50000 руб.– Перспектива24 - это:- 4 страны;- 94 городов присутствия;- 2500 агентов по недвижимости по всей сети.Мы сотрудничаем с банками и застройщиками города АрхангельскаНашими ключевыми партнерами являются: Аквилон, АГР, Консалт Девелопмент, Сбербанк, ВТБ, ДомРФ ...
Ум и мята - авторские обзоры
ТОП-вакансий за последние 24 часа.
«Менеджер по работе с застройщиками»: управляющий торговым процессом
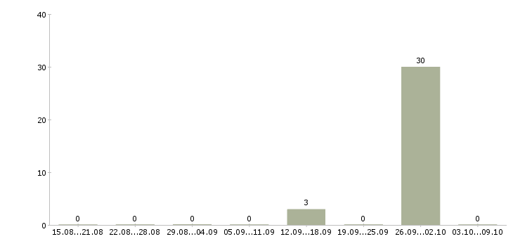
Число вакансий в Архангельске по специальности менеджер по работе с застройщиками за 2 месяца
В то время как максимальная достигает 130000 руб. Заработная плата в вакансиях работодателей составляет - 85000 руб. Вакансии менеджер по работе с застройщиками являются довольно востребоваными. Указанная вакансия популярна и в таких городах региона Архангельская область, как:
Медиана зарплат менеджер по работе с застройщиками в Архангельске за 2 месяца
- Шожма
- Абрамовская
- Большой Бор
- Шестиозерский
- Анциферовский Бор
«Менеджер по работе с застройщиками» – популярная специализация не только по региону Архангельск, но и по всей России. Регион Архангельск изобилует вакансиями «менеджер по работе с застройщиками». Медиана заработной платы за месяц составляет 85000 руб. В регионе Архангельск насчитывается 9 свободных рабочих мест по этой специальности. При этом величина минимальной зарплаты за месяц равняется 25000 руб. 80800 – средняя зарплата менеджер по работе с застройщиками, которую можно проследить по текущим запросам пользователей за месяц. По всей стране количество вакансий на должность «менеджер по работе с застройщиками» - 3705 позиций. Вакансия входит в более широкую категорию специальностей. Профессия менеджер по работе с застройщиками практически синоним этой специализации, означает те же самые требования к кандидату. На сегодняшний день категория включает 0 вакансий по указанной специализации. Работодателями предлагается различные формы занятости – «Полная занятость». В рейтинге запросов по различным вакансиям на сайте, общее число запросов по специальности менеджер по работе с застройщиками располагается на 0 позиций. Кроме вакансии менеджер по работе с застройщиками, также требуются:. Работа для хорошего менеджер по работе с застройщиками есть всегда. Не найдете дома – просмотрите
- Шожма
- Абрамовская
- Большой Бор
- Шестиозерский
- Анциферовский Бор
Обязательно найдете!. Насчитывается 3 вакансии по наиболее популярной занятости - Полная занятость. Рассмотренный регион (Архангельск) в регион Архангельская область. В регионе Архангельск существует большая потребность в специалистах разнообразных профессий. Наиболее популярными работодателями на территории РФ являются компании:
- «Тинькофф Банк»;
- «Элитный Сочи»;
Работодатели в регионе Архангельск испытывают нехватку специалистов:
- «Менеджер по работе с vip-клиентами (г. Сочи)»;
- «Менеджер по B2C-продажам Premium-сегмента (г. Сочи)»;
- «Менеджер по ипотечному кредитованию и продаже объектов недвижимости».
О высокой востребованности данной специальностей говорит большое количество запросов на сайте за месяц - 0. Количество вакансий для всех частей региона Архангельская область остановилось на цифре 0.
- Работа вакансии
- Информация
- Найти работу
- Работа в вашем городе