Должность:
Регион:
- работники кухни в Балашихе
- рабочий кухни в Балашихе
- рабочий на кухню в Балашихе
- рабочий по кухне в Балашихе
- рабочая по кухне в Балашихе
- сотрудник кухни в Балашихе
- повар на кухню в Балашихе
- работники в Балашихе
- работник в Балашихе
- торговый работник в Балашихе
- торговые работники в Балашихе
- работники зала в Балашихе
- работник зала в Балашихе
- работник торгово зала в Балашихе
- работники торгового зала в Балашихе
- работник в офис в Балашихе
- работник офиса в Балашихе
- работник в торговый зал в Балашихе
- работник торгового зала в Балашихе
- требуются работники в Балашихе
- кухоный работник в Балашихе
- работник на выкладку в Балашихе
- работник торгового зала на выкладку в Балашихе
- работник зала на выкладку товара в Балашихе
- работник склада в Балашихе
- работники склада в Балашихе
- работник на выкладку товара в Балашихе
- работник на выкладку товаров в Балашихе
- кухонный работник в Балашихе
- работник на склад в Балашихе
- работники на склад в Балашихе
Работа «работник на кухню» в Балашихе, 16 свежих вакансий
– компания "фгбу оздоровительный комплекс полушкино" обязанности: осуществляет уборку помещений столовой, коридоров, лестниц, санузлов. удаляет пыль, подметает и моет вручную или с помощью машин и приспособлений стены, полы, потолки, оконные рамы и ...
– компания "garant grupp (ооо персонал плюс)" сеть ресторанов русской кухни открывает набор на позицию кухонный работник" чем ты будешь заниматься? текущая уборка пищевого производства, мойка тары, инвентаря, оборудования почему мы?- оперативное трудоустройство ...
Уборщик / Кухонный работник
, 35000 руб.– компания "фгбу оздоровительный комплекс полушкино" обязанности: осуществляет уборку помещений столовой, коридоров, лестниц, санузлов. удаляет пыль, подметает и моет вручную или с помощью машин и приспособлений стены, полы, потолки, оконные рамы и ...
Кухонный работник
, 35000 руб.– компания "негосударственное дошкольное образовательное частное учреждение благовест" обязанности: отвечает за чистоту и порядок на пищеблоке школьной столовой, в хранилище овощей, содержит в чистоте и порядке кухонный инвентарь и оборудование. перебирает ...
Официант КФС
, 44100 руб.– Трудоустройство в ресторанах быстрого питания KFC. Если ты давно мечтал работать в известной на весь мир компании, в сфере фаст-фуд, то мы приблизили твою мечту и сделали её реальной ! Мы ищем активных и ответственных сотрудников, которые готовы работать ...
Официант KFC( Телетел )
, 44100 руб.– компания "телетел" трудоустройство в ресторанах быстрого питания kfc. если ты давно мечтал работать в известной на весь мир компании, в сфере фаст-фуд, то мы приблизили твою мечту и сделали её реальной ! мы ищем активных и ответственных сотрудников, которые ...
Помощник воспитателя детского сада
, 30000 руб.– компания "негосударственное дошкольное образовательное частное учреждение благовест" обязанности: осуществляет влажную уборку группы, раздевалки, спальни и других помещений дважды в день. проветривает группу и спальню в соответствии с установленным графиком, ...
– компания "росинтер ресторантс" ресторан итальянской кухни il патио приглашает в свою команду заместителя директора. задачи: обеспечивать выполнение плана продаж руководить коллективом официантов, барменов, технических работников контролировать выполнения ...
Комплектовщик( МК Эксперт )
, 87000 руб.– компания "мк эксперт" срочно требуются сотрудникивахта 45 смен с бесплатным проживанием и питаниемесли устал уже работать от агентств и отдавать деньги за оформление, тогда тебе к нам ! трудоустройство бесплатное !!!вахта на склад (на ваш выбор)обязанности ...
Менеджер / Заместитель директора ресторана
, 55000 руб.– компания "росинтер ресторантс" ресторан итальянской кухни il патио приглашает в свою команду заместителя директора. задачи: обеспечивать выполнение плана продаж руководить коллективом официантов, барменов, технических работников контролировать выполнения ...
Продавец (Бургер Кинг)
, 39000 руб.– компания "телетел" трудоустройство в ресторанах быстрого питания burger king. если ты давно мечтал работать в известной на весь мир компании, в сфере фаст-фуд, то мы приблизили твою мечту и сделали её реальной ! мы ищем активных и ответственных сотрудников, ...
– компания "группа компаний стильные кухни" компания " стильные кухни" - лидер рынка по производству и продаже корпусной мебели, приглашает в свою команду заместителя руководителя службы мто (складское хозяйство). мы предлагаем: стабильную работу в комфортном ...
Официант КФС
, 38400 руб.– компания "телетел" трудоустройство в ресторанах быстрого питания kfc. если ты давно мечтал работать в известной на весь мир компании, в сфере фаст-фуд, то мы приблизили твою мечту и сделали её реальной ! мы ищем активных и ответственных сотрудников, которые ...
Официант Бургер Кинг
, 39000 руб.– компания "телетел" трудоустройство в ресторанах быстрого питания burger king. если ты давно мечтал работать в известной на весь мир компании, в сфере фаст-фуд, то мы приблизили твою мечту и сделали её реальной ! мы ищем активных и ответственных сотрудников, ...
Официант KFC
, 38400 руб.– компания "телетел" трудоустройство в ресторанах быстрого питания kfc. если ты давно мечтал работать в известной на весь мир компании, в сфере фаст-фуд, то мы приблизили твою мечту и сделали её реальной ! мы ищем активных и ответственных сотрудников, которые ...
Продавец Бургер Кинг
, 39000 руб.– компания "телетел" трудоустройство в ресторанах быстрого питания burger king. если ты давно мечтал работать в известной на весь мир компании, в сфере фаст-фуд, то мы приблизили твою мечту и сделали её реальной ! мы ищем активных и ответственных сотрудников, ...
Ум и мята - авторские обзоры
ТОП-вакансий за последние 24 часа.
Свежие вакансии «работник на кухню» в регионе Балашиха
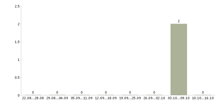
Число вакансий в Балашихе по специальности работник на кухню за 2 месяца
Медиана заработной платы за месяц составляет 46500 руб. На интерес к этой профессии указывает и количество запросов в поисковике за месяц: 0. Только в регионе Балашиха количество востребованных рабочих мест составляет порядка 6 вакансий. Также должность работник на кухню может называться работник на кухню в некотрых фирмах. Вакансия входит в более широкую категорию специальностей. В регионе Балашиха предлагается большое количесвто разных вакансий. Вакансия работник на кухню относится к региону Московская область в разделе выбора места поиска работы. Работник на кухню и работник на кухню, для вас работа есть всегда!. Максимальная зарплата – 50000 руб. При этом позиция страницы запроса в общем рейтинге находится на 0 месте. Минимальная сумма оплаты труда – 35000 руб. Оплата за выполненную работу имеет разные размеры, но в большинстве случаев, составляет 46500 руб. Другие популярные вакансии в регионе Балашиха:
Медиана зарплат работник на кухню в Балашихе за 2 месяца
- «Комплектовщик на вахту»;
- «Работники торговых залов, складских терминалов»;
- «Работник кухни»;
- «Повар/кухонный работник-»;
- «Вахта для всех, склад, розница».

Специальность работник на кухню предполагает следующие ответвления:. Количество вакансий по региону Московская область достигает количества в 0 позиций. По всем регионам количество вакансий составляет 1754 места. Профессия работник на кухню является одной из наиболее востребованных современных специальностей. В нашем регионе есть три компании-лидера по найму сотрудников:
- «Метро Групп»;
- «ООО Б1 ФИНАНСЫ»;
- «Национальный Центр Занятости»;
По данным поисковых порталов, в регионе Балашиха насчитывается 6 вакансий по заданной позиции. Общее количество вакансий в данной категории равняется 79 позицийм. Средняя заработная плата равняется 44500. Есть много разных популярных форм занятости: «полная», «Полный рабочий день», «вахтовый». Указанная вакансия популярна и в таких городах области, как:
- Зарайск
- Журавна
- Алферьево
- Авдеево
- Ерново
Найти место работы в регионе Балашиха, для специализации «работник на кухню» очень просто. Если брать во внимание количество вакансий от каждой компании, то в первой тройке будут:
- «Метро Групп»;
- «ООО Б1 ФИНАНСЫ»;
- «Национальный Центр Занятости»;
- Работа вакансии
- Информация
- Найти работу
- Работа в вашем городе