Должность:
Регион:
- финансовый специалист в Брянске
- специалист по финансовым услугам в Брянске
- финансовый консультант в Брянске
- финансовый менеджер в Брянске
- менеджер по продаже финансовых продуктов в Брянске
- руководитель финансового управления в Брянске
- финансовый менеджер проекта в Брянске
- ведущий финансовый менеджер в Брянске
- менеджер по продажам финансовых продуктов в Брянске
- менеджер по продаже финансовых услуг в Брянске
- менеджер по продажам финансовых услуг в Брянске
- консультант с финансовым образованием в Брянске
- менеджер финансового отдела в Брянске
- финансовый директор в Брянске
- специалист в Брянске
- специалисты в Брянске
- специалист по оформлению в Брянске
- специалист офиса в Брянске
- специалист в офис в Брянске
- специалист отдела оформления в Брянске
- специалист по заработной плате в Брянске
- специалист по продажам в Брянске
- специалист пк в Брянске
- помощник специалиста по персоналу в Брянске
- специалист офиса продаж в Брянске
- специалист по продаже в Брянске
- специалист оператор в Брянске
Работа «специалист по финансовым вопросам» в Брянске, 43 свежие вакансии
Специалист по работе с клиентами Банка
, 26600 руб.– ООО М.Б.А. Финансы является лидером рынка услуг в финансовой сфере России.В связи с расширением проекта МТС_АУСТАФФ мы ищем сотрудников на должность Специалист по работе с задолженностью . Мы предлагаем интересную работу с крупнейшим и надёжным Банком ...
– ООО МКК Выручай-Деньги - одна из крупнейших микрофинансовых компаний России. На российском рынке мы работаем с 2014г. Наша компания входит в топ-15 микрофинансовых организаций РФ. Одними из основных источников нашего конкурентного преимущества являются ...
Специалист по работе с действующими партнерами
, 35000 руб.– Компания ПланФакт — лидер среди российских онлайн-сервисов по финансовому и управленческому учету для малого бизнеса. Мы помогаем предпринимателям наводить порядок в доходах, расходах и прибыли и контролировать деньги в бизнесе. Мы расширяем направление, ...
Руководитель специалистов по недвижимости
, 70000 руб.– компания "этажи брянск" "этажи" - компания по работе с недвижимостью федерального уровня, которая представлена в более чем 150 городах россии. мы уже 21 год привлекаем клиентов надежной репутацией и стандартами качества. входит в топ - 10 лучших работодателей ...
Специалист по развитию партнерской сети
, 40000 руб.– компания "планфакт" компания планфакт — лидер среди российских онлайн-сервисов по финансовому и управленческому учету для малого бизнеса. мы помогаем предпринимателям наводить порядок в доходах, расходах и прибыли и контролировать деньги в бизнесе. ...
– компания "мкк выручай-деньги" ооо мкк выручай-деньги - одна из крупнейших микрофинансовых компаний. наша компания входит в топ-15 микрофинансовых организаций в рф. в нашем коллективе работают более 400 сотрудников. наши сотрудники и корпоративная культура ...
– Чем предстоит заниматься: Принимать входящие звонки в CRM системе и консультировать клиентов по вопросам подключения мобильной связи, домашнего интернета, телевидения. Подключать услуги как новым, так и действующим клиентам. Заводить заявки в CRM ...
Специалист по продажам услуг
, 23000 руб.– Чем предстоит заниматься: Принимать входящие звонки в CRM системе и консультировать клиентов по вопросам подключения мобильной связи, домашнего интернета, телевидения. Подключать услуги как новым, так и действующим клиентам. Заводить заявки в CRM ...
Специалист по доставке карт в "Альфа-банк"
, 40000 руб.– компания "департамент персонала" компания альфа-банк ищет активных коммуникабельных специалистов! что нужно делать: встречаться с клиентами банка на удобной для них территории - доставка карт подписывать документы с клиентами и проверять их подлинность ...
Специалист по подключению интернета
, 20000 руб.– компания "микстелл" привет, мы контакт-центр mixtell. наша миссия помогать клиентам, сделать их жизнь проще и ярче. что вы будете делать: звонить действующим клиентам по готовой базе и подключать заинтересованным пользователям интернет, кабельное или ...
Специалист по работе с просроченной задолженностью
, 25000 руб.– компания "мкк выручай-деньги" ооо мкк выручай-деньги - одна из крупнейших микрофинансовых компаний. наша компания входит в топ-15 микрофинансовых организаций в рф. в нашем коллективе работают более 400 сотрудников. наши сотрудники и корпоративная культура ...
Кредитный специалист
, 25000 руб.– Мы - молодая и позитивная команда единомышленников. Более 5 лет активно развиваемся на рынке финансовых услуг. Мы – партнеры ведущих банков страны, специализируемся на продажах кредитных продуктов. Наши офисы расположены в городах: Борисоглебск, Брянск, ...
– компания "ozon" ozon0+ — ведущая российская компания на рынке e-commerce. у нас работают десятки тысяч специалистов по россии. в контактные центры компании ежедневно поступают звонки и сообщения от покупателей и продавцов, которым мы оперативно помогаем ...
Менеджер по работе с клиентами( Калибри )
, 25000 руб.– компания "калибри" добро пожаловать в команду!вот, что ты услышишь в первый день работы в callibri.в нашем офисе семейная атмосфера, поэтому ты всегда будешь чувствовать себя как дома. мы поможем тебе реализовать свой потенциал и предоставим все инструменты ...
Специалист службы поддержки клиентов
, 27000 руб.– Чем предстоит заниматься: Прием входящих звонков от клиентов и операторов АЗС Совершение исходящих звонков Создание заявок и запросов по вопросам клиентов Работа в базе данных клиентов Что мы ожидаем: Образование: высшее, неоконченное высшее или ...
Менеджер по сделкам с недвижимостью
, 60000 руб.– компания "этажи брянск" обязанности: при помощи ипотечного брокера и юриста: ведение базы объектов и клиентов, поддержание долгосрочных профессиональных отношений с клиентами;привлечение новых клиентов;организация показов/выездов на объекты;организация ...
Менеджер по работе с клиентами
, 25000 руб.– ДОБРО ПОЖАЛОВАТЬ В КОМАНДУ!Вот, что ты услышишь в первый день работы в Callibri.В нашем офисе семейная атмосфера, поэтому ты всегда будешь чувствовать себя как дома. Мы поможем тебе реализовать свой потенциал и предоставим все инструменты для личного ...
Специалист голосовой поддержки (удаленно)
, 30000 руб.– компания "группа компаний пик" привет! мы работаем в компании крупнейшего девелопера страны пик, ориентируемся на большое будущее и живем амбициями. если ты хочешь всегда двигаться вперед, профессионально развиваться, видеть новое, то тогда мы ждем именно ...
Специалист по работе с клиентами Банка
, 26200 руб.– компания "м.б.а. финансы" ооо м.б.а. финансы является лидером рынка услуг в финансовой сфере россии.в связи с расширением проекта мтс_аустафф мы ищем сотрудников на должность специалист по работе с задолженностью . мы предлагаем интересную работу ...
Менеджер по сделкам с недвижимостью
, 60000 руб.– Обязанности: При помощи ипотечного брокера и юриста: Ведение базы объектов и клиентов, поддержание долгосрочных профессиональных отношений с клиентами;Привлечение новых клиентов;Организация показов/выездов на объекты;Организация оформления сделок.Анализ ...
Менеджер по работе с недвижимостью (с обучением)
, 60000 руб.– компания "этажи брянск" "этажи" - компания по работе с недвижимостью федерального уровня, которая представлена в более чем 150 городах россии. мы уже 21 год привлекаем клиентов надежной репутацией и стандартами качества. входит в топ - 10 лучших работодателей ...
Специалист горячей линии (удаленно)
, 20000 руб.– компания "юпитер" мы, компания "юпитер" - питерский аутсорсинговый кц, который предоставляет услуги телемаркетинга. один из наших клиентов партнёров - финтех компания, которая занимается предоставлением финансовых услух в сфере онлайн. 10 лет опыта развития ...
– компания "департамент персонала" компания альфа-банк ищет активных коммуникабельных специалистов! что нужно делать: встречаться с клиентами банка на удобной для них территории - доставка карт подписывать документы с клиентами и проверять их подлинность ...
Кредитный специалист( Калибри )
, 27000 руб.– компания "калибри" мы молодая и позитивная команда единомышленников, активно развивающихся на рынке финансовых услуг. работаем в сфере финансового сегмента с брендовыми банками. мы - верим в себя и ценим коллег. ищем уверенных в себе, грамотных, коммуникабельных, ...
Менеджер по работе с клиентами( Калибри )
, 25000 руб.– компания "калибри" мы - молодая и позитивная команда единомышленников. более 5 лет активно развиваемся на рынке финансовых услуг. мы – партнеры ведущих банков страны, специализируемся на продажах кредитных продуктов. наши офисы расположены в городах: ...
Менеджер по назначению встреч
, 25000 руб.– компания "калибри" мы - молодая и позитивная команда единомышленников. более 5 лет активно развиваемся на рынке финансовых услуг. мы – партнеры ведущих банков страны, специализируемся на продажах кредитных продуктов. наши офисы расположены в городах: ...
Менеджер по согласованию встреч
, 25000 руб.– компания "калибри" мы - молодая и позитивная команда единомышленников. более 5 лет активно развиваемся на рынке финансовых услуг. мы – партнеры ведущих банков страны, специализируемся на продажах кредитных продуктов. наши офисы расположены в городах: ...
Менеджер по продажам (г. Брянск)
, 30000 руб.– Начать карьеру в компании федерального масштаба просто! Приходи зарабатывать в салон связи МегаФон ! МЫ ПРЕДЛАГАЕМ: Официальное трудоустройство с 1-го рабочего дня Профессиональный и карьерный рост Гибкий график ( неполный рабочий день) Корпоративное ...
Ассистент руководителя
, 20000 руб.– Привет, меня зовут Алексей Ломаченков и ищу себе в команду помощника по моим бизнес-задачам. Обо мне: собственник и руководитель креативного агентства Right 10 лет практического опыта в SMM создатель проекта Манимейкер по криптовалютам Направление ...
Менеджер по продажам (г. Брянск)( МегаФон )
, 30000 руб.– компания "мегафон" начать карьеру в компании федерального масштаба просто! приходи зарабатывать в салон связи мегафон ! мы предлагаем: официальное трудоустройство с 1-го рабочего дня профессиональный и карьерный рост гибкий график ( неполный рабочий ...
– Адванс Инжиниринг и Инжиниринговый центр цифровых технологий машиностроения УрФУ - реализует комплексные инжиниринговые проекты для инновационных отраслей промышленности: авиационное двигателестроение, вертолетостроение, самолетостроение, автомобилестроение ...
– компания "эр-телеком" о эр-телеком холдинг – федеральный телеком-оператор, задействованный в обеспечении устойчивости, безопасности и целостности функционирования отдельных сооружений связи, средств связи и линий связи сети связи общего пользования, ...
Выездной представитель Альфа-Банка (выдача карт)
, 45000 руб.– компания "департамент персонала" компания альфа-банк ищет активных коммуникабельных специалистов! что нужно делать: встречаться с клиентами банка на удобной для них территории - доставка карт подписывать документы с клиентами и проверять их подлинность ...
Представитель Альфа-Банка (выдача карт)
, 40000 руб.– компания "департамент персонала" компания альфа-банк ищет активных коммуникабельных специалистов! что нужно делать: встречаться с клиентами банка на удобной для них территории - доставка карт подписывать документы с клиентами и проверять их подлинность ...
Инженер-конструктор по строительному проектированию
, 150000 руб.– компания "холдинговая компания алфигрупп" холдинговая компания алфигрупп (управляющая организация ооо управление известково-цементными активами ) успешно действует на территории брянской области и в других регионах центрального и южного федеральных ...
Менеджер по работе с клиентами, г. Брянск
, 26000 руб.– компания "центрофинанс" центрофинанс — крупная микрокредитная компания, которая ценит, поощряет и развивает своих сотрудников. стабильность и стремление к развитию – это про нас: работаем уже 10 лет и открыли 950 офисов. с нами можно всему научиться ...
Продавец-консультант Мегафон
, 25000 руб.– компания "мегафон" привет, мы мегафон ритейл, розничная сеть компании мегафон. каждый день сотрудники наших офисов продаж приходят на работу, чтобы открывать людям возможности цифрового мира. что мы имеем в виду? связь, гаджеты, приложения могут сделать ...
Менеджер в "Альфа-Банк" (выдача карт)
, 40000 руб.– компания "департамент персонала" компания альфа-банк ищет активных коммуникабельных специалистов! что нужно делать: встречаться с клиентами банка на удобной для них территории - доставка карт подписывать документы с клиентами и проверять их подлинность ...
Продавец-консультант в салон МегаФон (г. Брянск)
, 35000 руб.– компания "мегафон" начать карьеру в компании федерального масштаба просто! приходи зарабатывать в салон связи мегафон ! мы предлагаем: официальное трудоустройство с 1-го рабочего дня профессиональный и карьерный рост гибкий график ( неполный рабочий ...
Ведущий инженер связи
, 32500 руб.– компания "ростелеком" задачи: оценка технической возможности выделения ресурсов линейно-кабельных сооружений и подготовка технических условий; согласование проектов, координация процесса строительства и приемки в эксплуатацию; контроль хода реализации ...
Продавец-консультант (г. Брянск)
, 30000 руб.– компания "мегафон" начать карьеру в компании федерального масштаба просто! приходи зарабатывать в салон связи мегафон ! мы предлагаем: официальное трудоустройство с 1-го рабочего дня профессиональный и карьерный рост гибкий график ( неполный рабочий ...
Программист 1С (внутренняя автоматизация)
, 120000 руб.– компания "гэндальф" приглашаем в команду опытного программиста в направление внутренней автоматизации (не для внешних клиентов, не в направление франчайзи). мы автоматизируем работу отделов и региональных представительств нашей компании: финансовых служб, ...
– компания "happy phone" о компании happy phone – мы один из самых динамично развивающихся аутсорсинговых контакт-центров в россии и с гордостью говорим об этом! мы не зависимы от курса доллара и работаем стабильно! во времена самых крупных финансовых кризисов ...
Ум и мята - авторские обзоры
ТОП-вакансий за последние 24 часа.
«Специалист по финансовым вопросам»: статистический обзор вакансий по региону Брянск
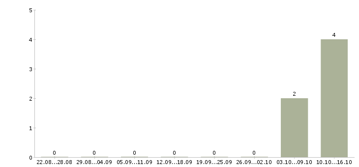
Число вакансий в Брянске по специальности специалист по финансовым вопросам за 2 месяца
Брянская область предлагает большое число вакансий по специальности специалист по финансовым вопросам. Место страницы в общем рейтинге – 0. Расширенная география просмотра предложений по всем регионам насчитывает более 2794 вакансии «специалист по финансовым вопросам»!. К региону Брянская область относятся еще несколько городов с указанной вакансией, это:
Медиана зарплат специалист по финансовым вопросам в Брянске за 2 месяца
- Куршановичи
- Кирилловка
- Крапивна
- Лакомая Буда
- Климово
Форма занятности может быть: «Полная занятость», «полный день». Даже если согласиться на менее чем 18000 руб, за работу специалист по финансовым вопросам в Брянск надо побороться. Но у вас получится!. Для желающих трудоустроиться на вакансию «специалист по финансовым вопросам», регион Брянск предлагает огромное количество вакансий. Наиболее доступная в ряду затребованных должностей – «специалист по финансовым вопросам». Среднее же значение составляет 17700, что весьма неплохо с учетом среднего по стране. Самой популярной формой занятости является Полная занятость, по ней можно найти 6 вакансий. Минимальная оплата по данной вакансии в месяц составляет 10000 руб. Максимальная месячная заработная плата (в числовом формате) по официальным данным, в текущем году составила 34500 руб. Общее число вакансий по этой категории составляет 2. Если посмотреть популярных работодателей по региону, то можно увидеть:
- «Грузовичкоф»;
- «Национальная служба взыскания»;
- «М. Б. А. Финансы»;
В указанной выше категории есть вакансии по другим специализациям:. Работа для сециалиста специалист по финансовым вопросам: Брянск. Вакансия входит в более широкую категорию специальностей. Всего в регионе Брянск для данной профессии на сегодняшний момент имеется 20 вакансий. По всем регионам области представлено 0 вакансий. Заработная плата, как правило, составляет 18000 руб. Страница на сайте запрошена 0 раз за месяц. Профессия специалист по финансовым вопросам на сегодняшний день устанавливает ряд требований к своим соискателям. К списку популярных профессий в регионе Брянск относятся:
- «Специалист по взысканию задолженности»;
- «Оператор call-центра (Специалист управления административного взыскания)»;
- «Специалист по работе с клиентами»;
- «Главный специалист оценки и контроля залогового обеспечения»;
- «Оператор-диспетчер со знанием английского языка»;
- «Специалист по коммерческой работе»;
- «Менеджер по продажам зарубежной недвижимости».
Медиана заработной платы за месяц по указанным специализациям 18000 руб. Также в разделе вакансий можно встретить другое название этой специализации - специалист по финансовым вопросам.
- Работа вакансии
- Информация
- Найти работу
- Работа в вашем городе