Должность:
Регион:
- фасовщик Бурятия
- фасовщики Бурятия
- фасовщик вахта Бурятия
- фасовщик на вахту Бурятия
- фасовщики на вахту Бурятия
- фасовщик упаковщик Бурятия
- фасовщик на фабрику Бурятия
- фасовщик на склад Бурятия
- фасовщики на производство Бурятия
- фасовщик на производство Бурятия
- фасовщик на производстве Бурятия
- фасовщик на конвейер Бурятия
- фасовщик одежды Бурятия
- фасовщик на склад одежды Бурятия
- фасовщик одежды на склад Бурятия
- фасовщик с проживанием Бурятия
- требуются на работу Бурятия
- требуется сотрудник Бурятия
- требуются сотрудники Бурятия
- требуются менеджеры Бурятия
- требуется менеджер Бурятия
- требуются сотрудники в компанию Бурятия
- требуются рабочие Бурятия
- требуется оператор Бурятия
- требуются операторы Бурятия
- требуется менеджер по продажам Бурятия
- для работы требуются люди Бурятия
- требуется менеджер работе с клиентами Бурятия
- требуются целеустремленны сотрудники Бурятия
Работа «требуется фасовщик» Бурятия, 10 свежих вакансий
– условия: • оплата за вахту – от 55.000 руб. (на руки, без каких-либо удержаний!) в зависимости от объекта. • смены дневные 08.00-20.00, и ночные 20.00-08.00. выходной по согласованию с бригадиром. 2 обеда по 30 минут. перекуры не ограничены. • на производстве ...
– условия: • оплата за вахту – от 55.000 руб. (на руки, без каких-либо удержаний!) в зависимости от объекта. • смены дневные 08.00-20.00, и ночные 20.00-08.00. выходной по согласованию с бригадиром. 2 обеда по 30 минут. перекуры не ограничены. • на производстве ...
– условия: • оплата за вахту – от 55.000 руб. (на руки, без каких-либо удержаний!) в зависимости от объекта. • смены дневные 08.00-20.00, и ночные 20.00-08.00. выходной по согласованию с бригадиром. 2 обеда по 30 минут. перекуры не ограничены. • на производстве ...
Комплектовщик
, 130025 руб.– ❗ Открыты актуальные вакансии Комплектовщиком Вахтовым методом в Москве с проживанием 14/35/45/60/75/90 смен от прямого работодателя 14 смен от 52 010 руб. 35 смен от 130 025 руб. 45 смен от 167 175 руб. 60 смен от 222 900 руб. 75 смен от 278 625 руб ...
Комплектовщик( ГИД )
, 130025 руб.– компания "гид" ❗ открыты актуальные вакансии комплектовщиком вахтовым методом в москве с проживанием 14/35/45/60/75/90 смен от прямого работодателя 14 смен от 52 010 руб. 35 смен от 130 025 руб. 45 смен от 167 175 руб. 60 смен от 222 900 руб. 75 смен ...
Комплектовщик( Заплатин Никита Сергеевич )
, 130025 руб.– компания "заплатин никита сергеевич" ❗ открыты актуальные вакансии комплектовщиком вахтовым методом в москве с проживанием 14/35/45/60/75/90 смен от прямого работодателя 14 смен от 52 010 руб. 35 смен от 130 025 руб. 45 смен от 167 175 руб. 60 смен ...
– условия: • оплата за вахту – от 55.000 руб. (на руки, без каких-либо удержаний!) в зависимости от объекта. • смены дневные 08.00-20.00, и ночные 20.00-08.00. выходной по согласованию с бригадиром. 2 обеда по 30 минут. перекуры не ограничены. • на производстве ...
Упаковщик, стикеровщик (можно семейные пары) Вахта
, 55000 руб.– условия: • оплата за вахту – от 55.000 руб. (на руки, без каких-либо удержаний!) в зависимости от объекта. • смены дневные 08.00-20.00, и ночные 20.00-08.00. выходной по согласованию с бригадиром. 2 обеда по 30 минут. перекуры не ограничены. • на производстве ...
Упаковщик, стикеровщик (можно семейные пары) Вахта
, 55000 руб.– условия: • оплата за вахту – от 55.000 руб. (на руки, без каких-либо удержаний!) в зависимости от объекта. • смены дневные 08.00-20.00, и ночные 20.00-08.00. выходной по согласованию с бригадиром. 2 обеда по 30 минут. перекуры не ограничены. • на производстве ...
– компания "работут" для проведения инвентаризации требуется счетчик-ревизор.подработкарассматриваем кандидатов без опыта!мы предлагаем:• оплата от 1500 руб. за смену;• своевременная оплата наличными после смены;• смены на выбор;• бесплатное обучение (инструктаж ...
Ум и мята - авторские обзоры
ТОП-вакансий за последние 24 часа.
Свежие вакансии «требуется фасовщик» в регионе Бурятия
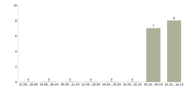
Число вакансий Бурятия по специальности требуется фасовщик за 2 месяца
К списку популярных профессий в регионе Бурятия относятся:
Медиана зарплат требуется фасовщик Бурятия за 2 месяца
- «Разнорабочий»;
- «Упаковщик-фасовщик на склад одежды (с проживанием)»;
- «Разнорабочие (мужчины и женщины) на производство»;
- «Фасовщик».

Также в разделе вакансий можно встретить другое название этой специализации - требуется фасовщик. В списке самых популярных страниц с вакансиями эта находится на 0 месте. Бурятия – вполне нормальное место, чтобы зарабатывать, даже на должности требуется фасовщик. Медиана заработной платы за месяц по указанным специализациям 56000 руб. Найти место работы в регионе Бурятия, для специализации «требуется фасовщик» очень просто. Если брать во внимание количество вакансий от каждой компании, то в первой тройке будут:
- «ООО Элит»;
- «Твой Дом»;
Также в указанной категории есть и другие специализации:. Самое популярное значение заработной платы по вакансии «требуется фасовщик» – 56000 руб. В регионе Бурятия насчитывается 10 свободных рабочих мест по этой специальности. Можно встретить много предложений по направлениям в таких городах региона, как:. Наиболее популярными работодателями на территории РФ являются компании:
- «ООО Элит»;
- «Твой Дом»;
Бурятия – это место, где по оценкам большинства работодателей вакансия требуется фасовщик считается одной из востребованных. Максимальная зарплата – 56000 руб. Согласно существующей номенклатуры профессий данная специализация относится к категории. Актуальное количество вакансий требуется фасовщик в регионе составляет. Средняя заработная плата равняется 56000. По нашим данным, три самых поплуряные значения формы занятости – «вахта», «полный день» (самая популярная – вахта). По вакансиям в категории требуется 359 человек. При поиске работы на должность «требуется фасовщик» по всем регионам, можно найти 1896 вакансий. Компаниями предлагается различные формы занятости – «вахта», «полный день». Страницу с вакансией требуется фасовщик запрашивают на сайте-справочнике с вакансиями по данному региону 0 раз в месяц. При этом минимальная зарплата в текущем месяце ‒ 56000 руб. Данные по заданой категории брались по региону. Вакансии требуется фасовщик являются довольно востребоваными.
- Работа вакансии
- Информация
- Найти работу
- Работа в вашем городе