Должность:
Регион:
- сотрудник общественного питания в Волгограде
- сотрудник отдела питания в Волгограде
- быстрый заработок в Волгограде
- вахта с проживанием и питанием в Волгограде
- грузчик на вахту с питанием в Волгограде
- комплектовщик на вахту с питанием в Волгограде
- комплектовщик с питанием в Волгограде
- грузчик с питанием и проживанием в Волгограде
- грузчик с проживанием и питанием в Волгограде
- специалист по питанию в Волгограде
- кассир с питанием и проживанием в Волгограде
- продавец продуктов питания в Волгограде
- продавец продукты питания в Волгограде
- технолог общественного питания в Волгограде
- технолог по общественному питанию в Волгограде
- руководитель отдела питания в Волгограде
- менеджер отдела питания в Волгограде
- повар в столовую с питанием в Волгограде
- управляющий предприятием питания в Волгограде
- менеджер по продажам продуктов питания в Волгограде
- торговый представитель по продуктам питания в Волгограде
- управляющий производством питания в Волгограде
- упаковщик продуктов питания в Волгограде
- упаковщики продуктов питания в Волгограде
- специалист по организации питания в Волгограде
- комплектовщик продуктов питания в Волгограде
- сотрудник компании в Волгограде
- сотрудник в компанию в Волгограде
- рабочий сотрудник в Волгограде
- сотрудник в интернете в Волгограде
- сотрудники вахтой в Волгограде
Работа «сотрудник быстрого питания» в Волгограде, 88 свежих вакансий
Управляющий торговыми точками (быстрое питание)
, 40000 руб.– компания "волгоградский мясокомбинат" мы в поиске управляющего в направлении быстрого питания. ворошиловским торговым центром. обязанности: организация работы торговых точек фаст фуда контроль работы сотрудников подбор, обучение, адаптация сотрудников ...
Повар в ресторан быстрого питания (Дзержинский р-он)
, 28000 руб.– Ресторан быстрого обслуживания "Жар Пицца" приглашает на постоянную работу повара в Дзержинском районе города. Обязанности:- приготовление блюд по технологии и стандартам компании Требования: - Желание строить карьеру в сфере общественного питания- ...
– Ресторан быстрого обслуживания "Жар Пицца" приглашает на постоянную работу повара в Краснооктябрьском районе города. Обязанности:- приготовление блюд по технологии и стандартам компании Требования: - Желание строить карьеру в сфере общественного питания- ...
– компания "ресторанные технологии" ресторан быстрого обслуживания "жар пицца" приглашает на постоянную работу повара в краснооктябрьском районе города. обязанности:- приготовление блюд по технологии и стандартам компании требования: - желание строить карьеру ...
Повар в ресторан быстрого питания (Дзержинский р-он)
, 28000 руб.– компания "ресторанные технологии" ресторан быстрого обслуживания "жар пицца" приглашает на постоянную работу повара в дзержинском районе города. обязанности:- приготовление блюд по технологии и стандартам компании требования: - желание строить карьеру ...
Сотрудник ресторана KFC
, 32800 руб.– Компания с мировым именем! Стань частью Команды KFC уже сегодня! Рестораны KFC приглашают в свою команду: Сотрудников ресторана Обязанности: Приготовление блюд по стандартам компании; Работа на кассе; Прием и выдача заказа; Поддержание чистоты на рабочем ...
Сотрудник ресторана KFC, Волгоград
, 32800 руб.– Компания с мировым именем! Стань частью Команды KFC уже сегодня! Рестораны KFC приглашают в свою команду: Сотрудников ресторана Обязанности: Приготовление блюд по стандартам компании; Работа на кассе; Прием и выдача заказа; Поддержание чистоты на рабочем ...
Фасовщик- ЦА на производство икры, красной рыбы Можно без опыта работы Питание +Проживание
, 72000 руб.– компания "брайт" оператор производственной линии работа вахтой с проживанием и питаниемобратите внимание, данная вакансия подходит для:✨ официальное трудоустройство по тк рф с 1 дня!✨ компенсация проезда!✨ крутые новогодние подарки!✨ повышенные выплаты ...
– компания "kfc (интернэшнл ресторант брэндс)" компания с мировым именем! стань частью команды kfc уже сегодня! рестораны kfc приглашают в свою команду: сотрудников ресторана обязанности: приготовление блюд по стандартам компании; работа на кассе; прием ...
Сотрудник ресторана KFC, Волгоград
, 32800 руб.– компания "kfc (интернэшнл ресторант брэндс)" компания с мировым именем! стань частью команды kfc уже сегодня! рестораны kfc приглашают в свою команду: сотрудников ресторана обязанности: приготовление блюд по стандартам компании; работа на кассе; прием ...
Сотрудник ресторана KFC (Волжский)
, 32800 руб.– компания "kfc (интернэшнл ресторант брэндс)" компания с мировым именем! стань частью команды kfc уже сегодня! рестораны kfc приглашают в свою команду: сотрудников ресторана обязанности: приготовление блюд по стандартам компании; работа на кассе; прием ...
– компания "kfc (интернэшнл ресторант брэндс)" компания с мировым именем! стань частью команды kfc уже сегодня! рестораны kfc приглашают в свою команду: сотрудников ресторана обязанности: приготовление блюд по стандартам компании; работа на кассе; прием ...
– компания "kfc (интернэшнл ресторант брэндс)" компания с мировым именем! стань частью команды kfc уже сегодня! рестораны kfc приглашают в свою команду: сотрудников ресторана обязанности: приготовление блюд по стандартам компании; работа на кассе; прием ...
Официант КФС
, 32800 руб.– Трудоустройство в ресторанах быстрого питания KFC. Если ты давно мечтал работать в известной на весь мир компании, в сфере фаст-фуд, то мы приблизили твою мечту и сделали её реальной ! Мы ищем активных и ответственных сотрудников, которые готовы работать ...
– компания "staff-linear" приглашаем на вакансию сотрудник - сборщик заказов! работа в магазине или супермаркете рядом с домом!обязанности: работать в торговом зале собирать заказы по списку требования: рассматриваем соискателей без опыта работы условия: ...
Работник предприятия «Вкусно - и точка»
, 38000 руб.– Сеть предприятий быстрого обслуживания "Вкусно - и точка" приглашает тебя стать частью команды! Мы предлагаем:• официальное оформление по ТК РФ• стабильную заработную плату + премии• удобный график работы, возможна подработка, совмещение• работу в ресторане ...
– Подразделение продаж и развития малого и среднего бизнеса (SMB) готово принять в свои ряды активного и нацеленного на результат руководителя. Вы возглавите группу клиентского сервиса телемаркетинга. Что нужно делать: выстраивать работу группы; следить ...
Продавец-кассир в кафе "Жар Пицца" (Спартановка)
, 30000 руб.– Ресторан быстрого обслуживания "Жар Пицца" приглашают на постоянную работу кассира.Место работы: Спартановка Вашими задачами будет: Консультирование и обслуживание клиентов по меню ресторана; Соблюдение стандарта обслуживания посетителей; Работа с расчетно-кассовым ...
Эксклюзивный торговый представитель( Гоагро )
, 50000 руб.– компания "гоагро" в связи с расширением - нашей команде требуется много активных и ответственных торговых представителей, которые всегда видят возможность для роста и не боятся сложностей! работа с известным брендом мартин, лидером российского рынка! ...
Заместитель директора магазина (п. Горьковский)
, 40900 руб.– "Победа" - это сеть магазинов низких цен! У нас уже 400 магазинов на территории ПФО и ЦФО и ЮФО! Мы - самая быстро развивающая сеть, и это правда! Мы предлагаем нашим покупателям: низкие цены, свежие продукты, простую выкладку! А нашим любимым сотрудникам ...
– "Победа" - это сеть магазинов низких цен! У нас уже 400 магазинов на территории ПФО и ЦФО и ЮФО! Мы - самая быстро развивающая сеть, и это правда! Мы предлагаем нашим покупателям: низкие цены, свежие продукты, простую выкладку! А нашим любимым сотрудникам ...
Заместитель директора магазина (п. Металлург)
, 39500 руб.– "Победа" - это сеть магазинов низких цен! У нас уже 400 магазинов на территории ПФО и ЦФО и ЮФО! Мы - самая быстро развивающая сеть, и это правда! Мы предлагаем нашим покупателям: низкие цены, свежие продукты, простую выкладку! А нашим любимым сотрудникам ...
Директор магазина (п. Горьковский)
, 61400 руб.– "Победа" - это сеть магазинов низких цен! У нас уже 365 магазинов на территории ПФО и ЦФО и ЮФО! Мы - самая быстро развивающая сеть, и это правда! Мы предлагаем нашим покупателям: низкие цены, свежие продукты, простую выкладку! А нашим любимым сотрудникам ...
Директор магазина (п. Металлург)
, 58900 руб.– "Победа" - это сеть магазинов низких цен! У нас уже 365 магазинов на территории ПФО и ЦФО и ЮФО! Мы - самая быстро развивающая сеть, и это правда! Мы предлагаем нашим покупателям: низкие цены, свежие продукты, простую выкладку! А нашим любимым сотрудникам ...
Официант KFC
, 32800 руб.– Трудоустройство в ресторанах быстрого питания KFC. Если ты давно мечтал работать в известной на весь мир компании, в сфере фаст-фуд, то мы приблизили твою мечту и сделали её реальной ! Мы ищем активных и ответственных сотрудников, которые готовы работать ...
– компания "marusya, кафе" приветствуем, наш будущий коллега! у нас открыта вакансия - повар холодного цеха обязанности: приготовление блюд по стандартам кафе "marusya"; выполнять работу по непрерывному производству блюд и кулинарных изделий; качественно ...
Бизнес-ассистент/помощник руководителя
, 35000 руб.– Обязанности: Ведение делового календаря руководителя в Битрикс. Подготовка повестки встреч и ведение протоколов совещаний. Организация и проведение встреч, переговоров, т.ч. в Zoom. Прием, регистрация входящей корреспонденции, распределение по службам ...
Руководитель отдела продаж Хантеров (удаленно)
, 80000 руб.– компания "быстров руслан дмитриевич" коротко о компании: с 2015 года design studio 3d - производит и продает по всему миру товары для дома и интерьера с фотопечатью. мы сами печатаем обои, шторы, ковры, картины, кухонный текстиль у нас есть интернет-магазин, ...
Заместитель директора магазина (Землячки 58А)
, 40900 руб.– "Победа" - это сеть магазинов низких цен! У нас уже 400 магазинов на территории ПФО и ЦФО и ЮФО! Мы - самая быстро развивающая сеть, и это правда! Мы предлагаем нашим покупателям: низкие цены, свежие продукты, простую выкладку! А нашим любимым сотрудникам ...
Директор магазина (Пролетарская,18)
, 61400 руб.– "Победа" - это сеть магазинов низких цен! У нас уже 365 магазинов на территории ПФО и ЦФО и ЮФО! Мы - самая быстро развивающая сеть, и это правда! Мы предлагаем нашим покупателям: низкие цены, свежие продукты, простую выкладку! А нашим любимым сотрудникам ...
– компания "тс победа" "победа" - это сеть магазинов низких цен!у нас уже 400 магазина на территории юфо пфо и цфо! мы - самая быстро развивающая сеть, и это правда!мы предлагаем нашим покупателям: низкие цены, свежие продукты, простую выкладку!а нашим ...
Заместитель директора магазина (г. Волжский)
, 41400 руб.– Открытие уже скоро!!! "Победа" - это сеть магазинов низких цен! У нас уже 365 магазинов на территории ПФО и ЦФО и ЮФО! Мы - самая быстро развивающая сеть, и это правда! Мы предлагаем нашим покупателям: низкие цены, свежие продукты, простую выкладку! А ...
Администратор магазина
, 46500 руб.– компания "тс победа" открытие уже скоро!!! "победа" - это сеть магазинов низких цен! у нас уже 408 магазинов на территории пфо и цфо и юфо! мы - самая быстро развивающая сеть, и это правда! мы предлагаем нашим покупателям: низкие цены, свежие продукты, ...
Директор магазина( ТС Победа )
, 61500 руб.– компания "тс победа" "победа" - это сеть магазинов низких цен! у нас уже 408 магазинов на территории пфо, цфо и юфо! мы - самая быстро развивающая сеть, и это правда! мы предлагаем нашим покупателям: низкие цены, свежие продукты, простую выкладку! а нашим ...
– компания "еврохим, минерально-химическая компания" еврохим - это 27 000 человек, 40 стран присутствия, 75 предприятий. еврохим – один из топ-5 крупнейших и наиболее быстро развивающихся производителей минеральных удобрений в мире. еврохим верит в рост ...
Офис-менеджер коммерческого отдела
, 25000 руб.– компания "ас, группа компаний" торговая компания ас - дистрибьютор продуктов питания приглашает на работу офис-менеджера коммерческого отдела. цель должности: администрирование работы коммерческого отдела. основные задачи: формирование утвержденных ...
Администратор магазина
, 46500 руб.– Открытие уже скоро!!! "Победа" - это сеть магазинов низких цен! У нас уже 408 магазинов на территории ПФО и ЦФО и ЮФО! Мы - самая быстро развивающая сеть, и это правда! Мы предлагаем нашим покупателям: низкие цены, свежие продукты, простую выкладку! А ...
Директор магазина
, 61500 руб.– "Победа" - это сеть магазинов низких цен! У нас уже 408 магазинов на территории ПФО, ЦФО и ЮФО! Мы - самая быстро развивающая сеть, и это правда! Мы предлагаем нашим покупателям: низкие цены, свежие продукты, простую выкладку! А нашим любимым сотрудникам ...
– компания "студия кефир" вы – наш человек, если у вас есть: опыт работы администратором, секретарем, хостес от 1 года развитые коммуникативные навыки и знание делового этикета развитый эстетический вкус, опрятность инициативность и отзывчивость умение ...
Продавец-Универсал (ул. Землячки, 58А)
, 31000 руб.– компания "тс победа" победа" - это сеть магазинов низких цен! у нас уже 400 магазинов на территории пфо, цфо и юфо! мы - самая быстро развивающая сеть, и это правда! мы предлагаем нашим покупателям: низкие цены, свежие продукты, простую выкладку! а нашим ...
Повар в кафе "Жар Пицца"(Спартановка)
, 30000 руб.– Ресторан быстрого обслуживания "Жар Пицца" приглашает на работу повара.Район: Спартановка Условия работы у нас: Рассматриваем соискателей без опыта работы; График работы сменный 3\3 с 10:00 до 22:00; Трудоустройство по ТК РФ; Развоз сотрудников вечерней ...
Продавец-кассир в кафе "Жар Пицца"
, 30000 руб.– Ресторан быстрого обслуживания "Жар Пицца" приглашают на постоянную работу кассира.Место работы: ост. Современник, центральный р-он. Условия работы: График работы 5.2 с 08:00 до 17:00 (выходные суббота и воскресенье) Рассматриваем соискателей без опыта ...
Офис-менеджер коммерческого отдела
, 25000 руб.– Торговая Компания АС - дистрибьютор продуктов питания приглашает на работу офис-менеджера коммерческого отдела. Цель должности: Администрирование работы коммерческого отдела. Основные задачи: формирование утвержденных отчетов согласно графика; формирование ...
Бармен-кассир
, 25000 руб.– компания "нетландия" обязанности: обслуживание гостей, консультирование по ассортименту и меню бара поддержание комфортной, дружественной и приятной атмосферы при работе с гостями осуществление расчетно-кассовых операций с применением различных форм ...
– Вы – наш человек, если у вас есть: опыт работы администратором, секретарем, хостес от 1 года развитые коммуникативные навыки и знание делового этикета развитый эстетический вкус, опрятность инициативность и отзывчивость умение быстро реагировать и работать ...
Сотрудник в кафе (подработка)
, 35000 руб.– компания "start-job" сеть ресторанов быстрого питания kфc в связи с увеличением заказов приглашает сотрудников! место работы подбираем ближе к месту проживания!✅ ваши обязанности:- клиент пришел и сделал заказ - заказ передали на кухню - вы собрали заказ ...
Сборщик заказов в кафе "Жар Пицца" (ТРЦ Акварель)
, 25000 руб.– Ресторан быстрого обслуживания "Жар Пицца" приглашает на постоянную работу сборщика на доставку заказов.Место работы: ТРЦ Акварель Условия работы у нас: Рассматриваем соискателей без опыта работы; График работы 5\2 с 12:00 до 21:00 (выходные воскресенье ...
Руководитель группы VAS экспертов (Ростов-на-Дону)
, 105000 руб.– компания "мтс" мтс — это мультисервисная цифровая экосистема. мы создаем и развиваем сервисы в сфере мобильной связи, больших данных, искусственного интеллекта, облачного хранения, медиа и финансов — все они делают жизнь людей проще и интереснее. сейчас ...
– Приветствуем, наш будущий коллега! У нас открыта вакансия - повар холодного цеха Обязанности: приготовление блюд по стандартам Кафе "Marusya"; выполнять работу по непрерывному производству блюд и кулинарных изделий; качественно и быстро отдавать заказы; ...
Сотрудник ресторана KFC (Волгоград)
, 27000 руб.– компания "kfc (интернэшнл ресторант брэндс)" компания с мировым именем! стань частью команды kfc уже сегодня! рестораны kfc приглашают в свою команду: сотрудников ресторана обязанности: приготовление блюд по стандартам компании; работа на кассе; прием ...
Ум и мята - авторские обзоры
ТОП-вакансий за последние 24 часа.
Свежие вакансии «сотрудник быстрого питания» в регионе Волгоград
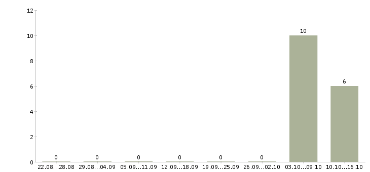
Число вакансий в Волгограде по специальности сотрудник быстрого питания за 2 месяца
Средняя заработная плата равняется 42200. Компаниями предлагается различные формы занятости – «Полная занятость», «работа вахтовым методом», «вахтовый». По запросу специальности сотрудник быстрого питания показатель медианы зарплаты за месяц составляет 42500 руб. При этом размер минимальной заработной платы по указанной специализации в месяц составляет 20000 руб. Как правило, заработная плата сотрудников по вакансиям составляет 42500 руб. Максимальный показатель заработной платы составляет 59400 руб. Актуальное количество вакансий сотрудник быстрого питания в регионе составляет 0. Регион вакансии - Волгоградская область. В числе популярных работодателей по количеству вакансий в регионе Волгоград такие компании, как:
График распределения вакансий «сотрудник быстрого питания» по зарплате
- «Global Staff Resource»;
- «АТЛАНТ»;
- «Филуэт Груп»;

Кроме региона Волгоград, популярностью пользуются такие города, как:
Медиана зарплаты для вакансии «сотрудник быстрого питания» в других городах
- Липовка
- Нежинский
- Михайловка
- Октябрьский
- Киреево
Волгоград – вполне нормальное место, чтобы зарабатывать, даже на должности сотрудник быстрого питания. Насчитывается 4 вакансии по наиболее популярной занятости - Полная занятость. Сотрудник быстрого питания является полным названием этой специализации по справочнику вакансий данного региона. Поиск работы – покоряем Волгоград. Работодатели в регионе Волгоград испытывают нехватку специалистов:
- «Повар ресторана быстрого питания г. Волгоград»;
- «Комплектовщик детской одежды - вахта»;
- «Кладовщик/Специалист складской логистики»;
- «Уборщица в ресторан быстрого питания»;
- «Грузчик, разнорабочий (вахтой)».
Общий поисковый рейтинг запрашиваемой страницы с указанной вакансией – это 0 мест в списке рабочих мест по региону Волгоград. На интерес к этой профессии указывает и количество запросов в поисковике за месяц: 0. Расширенная география просмотра предложений по всем регионам насчитывает более 3217 вакансий «сотрудник быстрого питания»!. Данная вакансия имеет и другие названия, нарпимер сотрудник быстрого питания. Всего в регионе Волгоград для данной профессии на сегодняшний момент имеется 25 вакансий. Найти место работы в регионе Волгоград, для специализации «сотрудник быстрого питания» очень просто. Если брать во внимание количество вакансий от каждой компании, то в первой тройке будут:
- «Global Staff Resource»;
- «АТЛАНТ»;
- «Филуэт Груп»;
К альтернативным специализациям в данной категории вакансий относятся:. Общее число вакансий по этой категории составляет 1. Данная профессия входит так называемую категорию.
- Работа вакансии
- Информация
- Найти работу
- Работа в вашем городе