Должность:
Регион:
- торговый представитель с авто Кабардино-Балкария
- водитель с торговым представителем Кабардино-Балкария
- торговый представитель в торговую компанию Кабардино-Балкария
- торговый представитель рф Кабардино-Балкария
- торговый представитель Кабардино-Балкария
- помощник торгового представителя Кабардино-Балкария
- торговые представители Кабардино-Балкария
- торговый представитель в офис Кабардино-Балкария
- торговый представитель отдела продаж Кабардино-Балкария
- торговый представитель без опыта Кабардино-Балкария
- требуется торговый представитель Кабардино-Балкария
- торговый представитель по городу Кабардино-Балкария
- торговый представитель на автомобиле компании Кабардино-Балкария
- торговый представитель без авто Кабардино-Балкария
- торговый представитель опытный Кабардино-Балкария
- представитель торговый Кабардино-Балкария
- представитель по работе с клиентами Кабардино-Балкария
- курьер представитель Кабардино-Балкария
- юрист представитель Кабардино-Балкария
- представитель Кабардино-Балкария
- представитель офиса продаж Кабардино-Балкария
- представитель компании Кабардино-Балкария
- официальный представитель Кабардино-Балкария
- официальный представитель компании Кабардино-Балкария
- менеджер торгового отдела Кабардино-Балкария
- руководитель торгового отдела Кабардино-Балкария
- торговый консультант Кабардино-Балкария
- начальник торгового отдела Кабардино-Балкария
Работа «торговый представитель с автомобилем» Кабардино-Балкария, 10 свежих вакансий
Эксклюзивный Торговый представитель по реализации продукции Газпромнефть смазочные материалы( Навигатор Плюс )
, 67000 руб.– компания "навигатор плюс" компания навигатор плюс - является одним из крупнейших поставщиков запасных частей для легкового и коммерческого транспорта на территории юфо и скфо уже более 20 лет. наша компания является официальным представителем большинства ...
– компания "макс групп" зона ответственности (территория разъездов):нальчик, баксан, чегем мы предлагаем: оформление согласно тк рф с первого рабочего дня; комфортный график работы 5/2, с 10 до 19, либо с 9 до 18 (при согласовании с руководителем), выходные ...
Торговый представитель( Макс Групп )
, 53000 руб.– компания "макс групп" зона ответственности территория разъездов: нальчик, баксан, чегем мы предлагаем: оформление согласно тк рф с первого рабочего дня; комфортный график работы 5/2, с 10 до 19, выходные дни - суббота и воскресенье; достойный уровень ...
Торговый представитель (Нальчик, Баксан, Чегем)
, 52760 руб.– компания "макс групп" зона ответственности (территория разъездов):нальчик, баксан, чегем мы предлагаем: оформление согласно тк рф с первого рабочего дня; комфортный график работы 5/2, с 10 до 19, либо с 9 до 18 (при согласовании с руководителем), выходные ...
Эксклюзивный Торговый представитель по реализации продукции Газпромнефть смазочные материалы
, 67000 руб.– Компания Навигатор Плюс - является одним из крупнейших поставщиков запасных частей для легкового и коммерческого транспорта на территории ЮФО и СКФО уже более 20 лет. Наша компания является Официальным представителем большинства Российских производителей ...
Эксклюзивный Торговый представитель по реализации продукции Газпромнефть смазочные материалы
, 67000 руб.– компания "навигатор плюс" компания навигатор плюс - является одним из крупнейших поставщиков запасных частей для легкового и коммерческого транспорта на территории юфо и скфо уже более 20 лет. наша компания является официальным представителем большинства ...
– компания "пивоваренная компания балтика , часть carlsberg group" требования к кандидатам: образование высшее. опыт работы на аналогичной должности от года в крупных fmcg компаниях. опыт эффективного управления персоналом. знание принципов работы в ...
– компания "вертикаль" крупнейший оптовый поставщик товаров для дома, сада, огорода, а так же бытовой группы товаров, бытовой химии, лкм приглашает на работу торгового представителя. ✔ сегодня компания осуществляет деятельность на территории центрального, ...
Торговый представитель
, 30000 руб.– Описание работодателя: дистрибьюторская компания занимающаяся оптовой торговлей бургеров хот догов Требования:ответственность, коммуникабельность, трудолюбие, пунктуальность, желание развиваться.Обязанности:ежедневное посещения уже наработанных торговых ...
Водитель курьер
, 85000 руб.– Водитель Курьер с ежедневной оплатой - вакансия свободна Нальчик✔️ Подработка или полный занятость✔️ Без опыта для: мужчин, женщин, студентов, пенсионеров, инвалидов✔️ Помогаем в получении термосумок, медкнижек✔️ Доход в среднем 250-450 руб в час✔️ Платим ...
Ум и мята - авторские обзоры
ТОП-вакансий за последние 24 часа.
Как «торговый представитель с автомобилем» может найти хорошее место работы в регионе Кабардино-Балкария
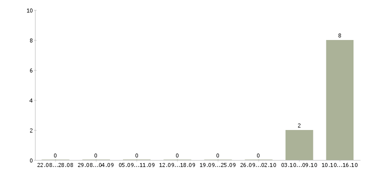
Число вакансий Кабардино-балкария по специальности торговый представитель с автомобилем за 2 месяца
По вакансиям в категории требуется 23 человек. Категория к которой относится данная специализация. Одной из популярных вакансий в регионе Кабардино-Балкария является «торговый представитель с автомобилем». Эта вакансия наиболее востребована в таком регионе, как Кабардино-Балкария. Средний уровень дохода представителей специальности - 31000. Можно встретить другое название этой специализации - торговый представитель с автомобилем. Самые популярные формы занятости - «Полная занятость». Одной из самых популярных специализаций является вакансия торговый представитель с автомобилем. Медиана заработной платы за месяц составляет 31000 руб. В регионе Кабардино-Балкария сотрудники на должность торговый представитель с автомобилем востребованы даже больше, чем в последние годы. Самой популярной формой занятости является Полная занятость, по ней можно найти 2 вакансии. Прочие популярные специализации в регионе Кабардино-Балкария:
Медиана зарплат торговый представитель с автомобилем Кабардино-балкария за 2 месяца
- «Водитель на авто компании»;
- «Торговый представитель»;
- «Супервайзер по работе с РТТ».

Кроме вакансии торговый представитель с автомобилем, также требуются:. В многих компаниях зарплата составляет 31000 руб. Если посмотреть популярных работодателей по региону, то можно увидеть:
- «Action»;
- «Кристофер»;
- «Филиал № 1 МПБК ОЧАКОВО в г. Краснодаре»;
Указанная вакансия популярна и в таких городах области, как:. Максимальный уровень заработной платы по указанным вакансиям за месяц зафиксирован на отметке в 31000 руб. Размер минимальной заработной платы по указанной специализации в месяц составляет 31000 руб. Необходимое для работодателей количество специалистов на должность «торговый представитель с автомобилем» – 13172 вакансии. За истекший месяц на сайте зафиксировано 0 запросов по поводу вакансий торговый представитель с автомобилем. По всем уголкам региона требуется человек на данную вакансию. Поиск работы и самые актуальные вакансии: Кабардино-Балкария. В регионе Кабардино-Балкария потенциальные работодатели на сегодняшний день предлагают 34 вакансии по данной специализации. При этом позиция страницы запроса в общем рейтинге находится на 0 месте. Регион, в котором осуществляется поиск вакансий -.
- Работа вакансии
- Информация
- Найти работу
- Работа в вашем городе