Должность:
Регион:
Работа «профессиональный предприниматель» в Калининграде, 32 свежие вакансии
Аккаунт-менеджер в It Startup (удаленно)
, 50000 руб.– TOMORU – это ИТ-компания в сфере разговорного искусственного интеллекта. Создаем умных голосовых роботов для бизнеса, которые общаются, как люди. Мы помогаем прокачать отделы продаж/hr – снимаем с менеджеров неприятную рутину, снабжая их уже теплыми ...
Арт-директор в IT-компанию (удаленная работа)
, 80000 руб.– TOMORU – это ИТ-компания в сфере разговорного искусственного интеллекта. Создаем умных голосовых роботов для бизнеса, которые общаются, как люди. Мы помогаем прокачать отделы продаж/hr – снимаем с менеджеров неприятную рутину, снабжая их уже теплыми ...
Персональный менеджер по поддержке бизнес-клиентов
, 47500 руб.– Тинькофф Бизнес - экосистема для малого и среднего бизнеса, которая была сделана предпринимателями для предпринимателей. Мы набираем команду персональных менеджеров для удаленной работы с клиентами на вакансию "Менеджер по поддержке бизнес-клиентов. С ...
Менеджер по продажам IT продуктов
, 40000 руб.– компания "браво софт" мы в поиске ! активного и амбициозного специалиста на вакансию менеджера по продажам, который готов пройти обучение за счет компании. и не просто менеджера, а победителя, человека-мотора, настоящего спецагента. браво софт – крупная ...
Администратор коворкинга
, 25000 руб.– компания "ук нэймс" мы федеральная сеть коворкингов names, создаваемых на всей территории рф для профессионального развития своих резидентов, в наших коворкингах они работают, общаются и учатся в среде, которая поддерживает и способствует их развитию! ...
– компания "кб энерготрансбанк" обязанности: 1. обеспечение выполнения бизнес-плана по группе продуктов: кредиты на индивидуальной основе для юридических лиц стандартные кредитные продукты для юридических лиц банковские гарантии. 2. обеспечение доходности ...
Стажер в IT компанию (удаленно)
, 25000 руб.– компания "томору" tomoru – это ит-компания в сфере разговорного искусственного интеллекта. создаем умных голосовых роботов для бизнеса, которые общаются, как люди. мы помогаем прокачать отделы продаж/hr – снимаем с менеджеров неприятную рутину, снабжая ...
– компания "моё дело" мое дело — первая российская интернет-бухгалтерия, основанная в 2009 году. мы помогаем предпринимателю со всеми видами учёта: бухгалтерским, налоговым, товарным, кадровым и управленческим. нам доверяют учёт 70 000 предпринимателей ...
– В Центр оформления документов в дружный коллектив в связи с расширением требуется менеджер по оформлению документов (налоговых деклараций 3-ндфл для физических лиц, декларации для предпринимателей, виз, анкет, страхование, заполнение бланков, договоров, ...
– компания "банк уралсиб" чем предстоит заниматься работать с юрлицами и индивидуальными предпринимателями консультировать клиентов по кросс-продуктам, продавать банковские продукты открывать и закрывать счета, а также приостанавливать операции отвечать ...
Менеджер проекта в IT-компанию (удаленно)
, 50000 руб.– компания "томору" tomoru – это ит-компания в сфере разговорного искусственного интеллекта. создаем умных голосовых роботов для бизнеса, которые общаются, как люди. мы помогаем прокачать отделы продаж/hr – снимаем с менеджеров неприятную рутину, снабжая ...
Контент-маркетолог в в IT (удаленно)
, 40000 руб.– TOMORU – это ИТ-компания в сфере разговорного искусственного интеллекта. Создаем умных голосовых роботов для бизнеса, которые общаются, как люди. Мы помогаем прокачать отделы продаж/hr – снимаем с менеджеров неприятную рутину, снабжая их уже теплыми ...
Администратор коворкинга
, 25000 руб.– Мы Федеральная Сеть Коворкингов NAMES, создаваемых на всей территории РФ для профессионального развития своих резидентов, В наших коворкингах они работают, общаются и учатся в среде, которая поддерживает и способствует их развитию! Наша миссия: Мы создаем ...
Стажер в IT компанию (удаленно)
, 25000 руб.– TOMORU – это ИТ-компания в сфере разговорного искусственного интеллекта. Создаем умных голосовых роботов для бизнеса, которые общаются, как люди. Мы помогаем прокачать отделы продаж/hr – снимаем с менеджеров неприятную рутину, снабжая их уже теплыми ...
– TOMORU – это ИТ-компания в сфере разговорного искусственного интеллекта. Создаем умных голосовых роботов для бизнеса, которые общаются, как люди. Мы помогаем прокачать отделы продаж/hr – снимаем с менеджеров неприятную рутину, снабжая их уже теплыми ...
– компания "zoon.ru" zoon - крупнейший рекомендательный сервис, который помогает развиваться малому и среднему бизнесу в россии и странах снг. zoon – резидент сколково, а ещё в нас инвестирует сбербанк. немного цифр:• zoon продвигает малый и средний бизнес ...
– Тинькофф Бизнес – это направление внутри компании Тинькофф, которое представляет собой удобную рабочую среду для работы малого и среднего бизнеса. Наши клиенты — индивидуальные предприниматели и юридические лица, которые могут получить у нас не только ...
– компания "кб энерготрансбанк" обязанности: 1. обеспечение выполнения бизнес-плана по группе продуктов: кредиты на индивидуальной основе для юридических лиц стандартные кредитные продукты для юридических лиц банковские гарантии. 2. обеспечение доходности ...
– компания "центр оформления документов" в центр оформления документов в дружный коллектив в связи с расширением требуется менеджер по оформлению документов (налоговых деклараций 3-ндфл для физических лиц, декларации для предпринимателей, виз, анкет, страхование, ...
Верификатор блока открытия счета для бизнеса
, 40000 руб.– компания "локо-банк" если вы желаете начать карьеру в банковской сфере, у вас есть шанс реализовать себя в одном из стабильных банков россии! обязанности: экспертиза заявок на открытие счета для бизнеса; оценка комплектности документов для открытия счета ...
Андеррайтер блока открытия счета для бизнеса
, 40000 руб.– компания "локо-банк" если вы желаете начать карьеру в банковской сфере, у вас есть шанс реализовать себя в одном из стабильных банков россии! обязанности: экспертиза заявок на открытие счета для бизнеса; оценка комплектности документов для открытия счета ...
Менеджер по привлечению бизнес-клиентов
, 37500 руб.– Тинькофф Бизнес на связи с клиентами 24/7 по телефону, почте и чатах. Мы увеличили количество продуктов и оформили много новых клиентов, в связи с чем открываем набор в команду специалистов по работе с юридическими лицами на вакансию "Менеджер по привлечению ...
– компания "ук нэймс" добро пожаловать в лучшую команду! мы - это взрывная смесь names и like центра! мы не только сеть коворкингов, созданных для профессионального развития своих резидентов, но и технологическая образовательная компания для предпринимателей ...
Оператор складского учета
, 30000 руб.– компания "пластика" обязанности: внутренний контроль за соблюдением порядка хранения и отпуска тмц прием тмц и проверка сопроводительных документов обработка входящих заявок на реализацию лекарственных средств и тмц от менеджеров, организаций и предпринимателей ...
Руководитель проектов по развитию продаж (Лизинг)
, 100000 руб.– компания "альфа-лизинг" мы альфа лизинг – входим в группу компаний альфа. активно развиваемся с 1998г. мы эксперты в автомобильном и финансовом рынках. каждый день более 20 лет мы работаем с предпринимателями и создаем лизинговые продукты.карьера в альфа ...
Персональный менеджер поддержки бизнес-клиентов
, 53500 руб.– компания "тинькофф" тинькофф бизнес - экосистема для малого и среднего бизнеса, которая была сделана предпринимателями для предпринимателей. мы набираем команду персональных менеджеров для удаленной работы с клиентами на вакансию "менеджер по поддержке ...
Бухгалтер по сопровождению ИП и ООО
, 67000 руб.– компания "тинькофф" тинькофф бизнес – это направление внутри компании тинькофф, которое представляет собой удобную рабочую среду для работы малого и среднего бизнеса. наши клиенты — индивидуальные предприниматели и юридические лица, которые могут получить ...
– В Tinkoff.ru большое Angular комьюнити из более чем 100 профессиональных разработчиков. Мы разрабатываем десятки SPA приложений в следующих бизнес-линиях: Тинькофф.Бизнес — экосистема для предпринимателей, включающая в себя более 20 сервисов для бизнеса ...
Менеджер по продажам IT продуктов
, 40000 руб.– компания "браво софт" в связи с активным развитием и расширения отдела продаж компании ооо "браво софт", дистрибьютор и соразработчик цифровых решений по внедрению систем нормативно-технической документации для предприятий, набирает на конкурсной основе ...
– компания "авангард, акб" обязанности: прием и экспертиза комплектов документов на открытие/закрытие счетов юридических лиц и индивидуальных предпринимателей; формирование и ведение юридических дел клиентов; изменения в учредительных документах юридических ...
Руководитель консультационного центра
, 50000 руб.– компания "центр поддержки предпринимательства калининградской области (микрокредитная компания)" обязанности: курирование работы консультационного центра обучение и наставничество над новыми сотрудниками непосредственное взаимодействие со структурными ...
Начинающий менеджер по продажам
, 65000 руб.– компания "точка" мы ищем тебя, если ты хочешь научиться продажам лучших банковских продуктов для бизнеса. ты можешь начать зарабатывать от 50 000 рублей со второго месяца работы. мы обучим тебя дистанционно, поделимся опытом и лучшими историями успеха, ...
Ум и мята - авторские обзоры
ТОП-вакансий за последние 24 часа.
«Профессиональный предприниматель»: статистический обзор вакансий по региону Калининград
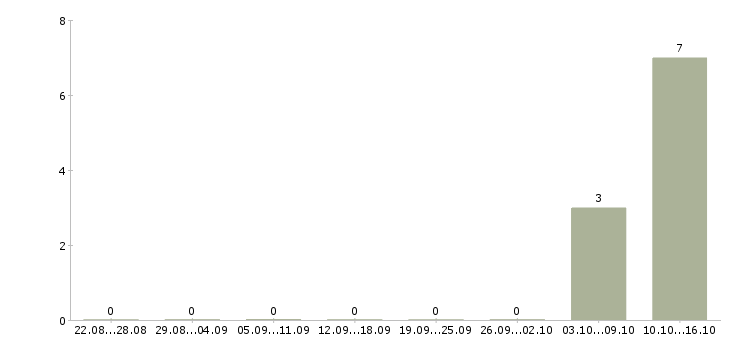
Число вакансий в Калининграде по специальности профессиональный предприниматель за 2 месяца
Самый большой регион по количеству вакансий – Калининград. Общее количество вакансий в сети равняется равняется 1 позициям. По всей стране количество вакансий на должность «профессиональный предприниматель» - 3550 позиций. Другие крупные города в рассматриваемом регионе:
Медиана зарплат профессиональный предприниматель в Калининграде за 2 месяца
- Багратионово
- Лужки
- Карамышево
- Гаврилово
- Красноярское

Калининград – вполне нормальное место, чтобы зарабатывать, даже на должности профессиональный предприниматель. Другое название указанной специализации – профессиональный предприниматель. В регионе Калининград потенциальные работодатели на сегодняшний день предлагают 27 вакансий по данной специализации. Средняя заработная плата за месяц по вакансии профессиональный предприниматель в России равняется 45000. Данная профессия входит так называемую категорию. По текущему запросу медиана заработной платы составляет 45000 руб. Место страницы в общем рейтинге – 0. Самой популярной формой занятости является, по ней можно найти вакансий. Компании
- «Банк Интеза»;
- «Тинькофф Банк»;
образуют огромное количество мест для специалистов «профессиональный предприниматель». Хорошее место работы в регионе Калининград для специализации «профессиональный предприниматель» найти нетрудно. Умелые специалисты на должность «профессиональный предприниматель» чаще всего получают зарплату в размере 45000 руб. Есть много разных популярных форм занятости:. Вакансия профессиональный предприниматель настолько популярна, что в месяц количиство запросов на сайте достигает 0 позиций. Зарплата «профессиональный предприниматель» чаще всего составляет 45000 руб. Все данные актуальны для региона Калининград, Калининградская область. При этом величина минимальной зарплаты за месяц равняется 45000 руб. Вакансии профессиональный предприниматель являются довольно востребоваными. Максимальная заработная плата по вакансии профессиональный предприниматель достигает 45000 руб. Другие популярные вакансии в регионе Калининград:
- «Менеджер по привлечению клиентов малого и среднего бизнеса (Удаленная работа)»;
- «Менеджер по работе с клиентами»;
- «Специалист по обслуживанию клиентов»;
- «Оператор по привлечению клиентов малого и среднего бизнеса (Удаленная работа)».
В указанной выше категории есть вакансии по другим специализациям:. По всем уголкам региона Калининградская область требуется 0 человек на данную вакансию.
- Работа вакансии
- Информация
- Найти работу
- Работа в вашем городе