Должность:
Регион:
- водитель категории в Карелия
- водитель категории Карелия
- водители категории в Карелия
- водитель с категорией с Карелия
- водитель категория с Карелия
- водители категории с Карелия
- водитель категории с Карелия
- водитель с категорией в Карелия
- водитель категория в с Карелия
- водитель категории в с Карелия
- водитель категории в и с Карелия
- менеджер категории Карелия
- специалист 3 категории Карелия
- техник 1 категории Карелия
- тракторист категории с Карелия
- водитель экспедитор категории с Карелия
- водитель автомобиля категории с Карелия
- водитель автомобиля с категорией с Карелия
- водитель всех категорий Карелия
- водитель все категории Карелия
- водитель категории все Карелия
- инженер 3 категории Карелия
- помощник с категорией в Карелия
- технолог 1 категории Карелия
- управляющий категорией Карелия
- специалист 2 категории Карелия
- специалист 1 категории Карелия
- водитель категории е Карелия
Работа «бухгалтер 3 категории» Карелия, 2 свежие вакансии
Бухгалтер( Амкодор-Онего )
, 40000 руб.– компания "амкодор-онего" бухгалтер (категория в зависимости от стажа и образования) обязанности: отражение на счетах бухгалтерского учета операций по учету материалов и выпуску готовой продукции проверка материальных отчетов мол работа с поставщиками ...
Бухгалтер
, 40000 руб.– Бухгалтер (категория в зависимости от стажа и образования) Обязанности: отражение на счетах бухгалтерского учета операций по учету материалов и выпуску готовой продукции проверка материальных отчетов МОЛ работа с поставщиками (проверка правильности оформления ...
Ум и мята - авторские обзоры
ТОП-вакансий за последние 24 часа.
Свежие вакансии «бухгалтер 3 категории» в регионе Карелия
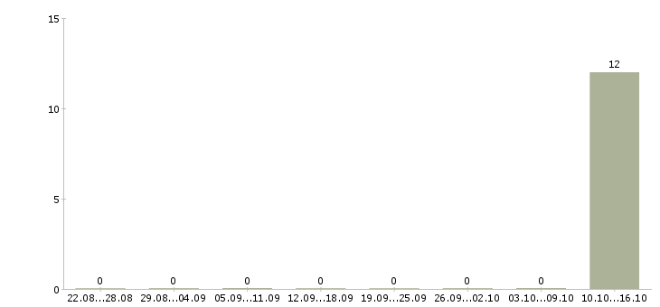
Число вакансий Карелия по специальности бухгалтер 3 категории за 2 месяца
Специалисты бухгалтер 3 категории могут рассчитывать на зарплату в 31000 руб. Вакансия входит в более широкую категорию специальностей. Города, где вакансия бухгалтер 3 категории также пользуется большой популярностью, как и в Карелия:. При устройстве на работу обратите внимание на лидеров по количеству вакансий:. Страница на сайте запрошена 0 раз за месяц. Компаниями предлагается различные формы занятости –. Прочие популярные специализации в регионе Карелия:
Медиана зарплат бухгалтер 3 категории Карелия за 2 месяца
- «Водитель на авто компании».

Вакансия «бухгалтер 3 категории» позволяет получать высокую конкурентоспособную зарплату в регионе Карелия. Вакансия «бухгалтер 3 категории» позволяет получать достойную заработную плату в регионе Карелия. Карелия – это место, где по оценкам большинства работодателей вакансия бухгалтер 3 категории считается одной из востребованных. Иследования проводились по региону. Синоним данной специализации бухгалтер 3 категории. Место страницы в общем рейтинге – 0. Максимальная месячная заработная плата (в числовом формате) по официальным данным, в текущем году составила 31000 руб. В нашей стране есть 4105 свободных рабочих мест по специализации «бухгалтер 3 категории». По всем городам в области насчитывается вакансий. 31000 – средняя зарплата бухгалтер 3 категории, которую можно проследить по текущим запросам пользователей за месяц. По текущим запросам за месяц можно выявить примерное минимальное значение месячной зарплаты бухгалтер 3 категории – она составляет 31000 руб. Кроме вакансии бухгалтер 3 категории, также требуются:. Бухгалтер 3 категории выполняет разные функции. Только в регионе Карелия количество востребованных рабочих мест составляет порядка 48 вакансий. Оплата за выполненную работу имеет разные размеры, но в большинстве случаев, составляет 31000 руб. Бухгалтер 3 категории и бухгалтер 3 категории, для вас работа есть всегда!. По данным поисковых порталов, в регионе Карелия насчитывается 48 вакансий по заданной позиции. В категории представлено 20 вакансий.
- Работа вакансии
- Информация
- Найти работу
- Работа в вашем городе