Должность:
Регион:
- подработка без опыта Карелия
- без опыта Карелия
- без опыта работы Карелия
- рабочие без опыта Карелия
- менеджер можно без опыта Карелия
- помощник бухгалтера можно без опыта Карелия
- менеджер без опыта Карелия
- менеджер без опыта работы Карелия
- консультант без опыта Карелия
- администратор без опыта Карелия
- без опыта администратором Карелия
- администратор без опыта работы Карелия
- бухгалтер без опыта Карелия
- бухгалтер без опыта работы Карелия
- водитель без опыта Карелия
- помощник бухгалтера без опыта Карелия
- помощники бухгалтер без опыта работы Карелия
- экспедитор без опыта Карелия
- секретарь без опыта Карелия
- охранник без опыта Карелия
- торговый представитель без опыта Карелия
- помощник кладовщика без опыта Карелия
- курьер без опыта Карелия
Работа «подработка без опыта работы» Карелия, 221 свежая вакансия
– компания "start-job" срочно требуются упаковщики / сборщики / фасовщики онлайн заказов! работа в магазине рядом с домом. лучшие условия как для начинающих специалистов, так и для опытных! подбираем место работы ближе к дому обязанности: упаковка заказа ...
– СРОЧНО ТРЕБУЮТСЯ УПАКОВЩИКИ / СБОРЩИКИ / ФАСОВЩИКИ ОНЛАЙН ЗАКАЗОВ! Работа в магазине рядом с домом. Лучшие условия как для начинающих специалистов, так и для опытных! Подбираем место работы ближе к дому Обязанности: Упаковка заказа по списку Передача ...
– компания "start-job" сотрудник в кафе (есть свободная подработка) сеть ресторанов в связи с увеличением заказов приглашает сотрудников! место работы подбираем ближе к месту проживания!✅ ваши обязанности:- клиент пришел и сделал заказ - заказ передали ...
– компания "start-job" упаковщик заказов (есть свободная подработка) срочный набор на вакансию упаковщик заказов! обязанности: упаковка заказов предоставление заказов клиенту требования: принимаем без опыта работы внимательность условия: высокая и ...
– компания "start-job" приглашаем упаковщиков интернет-заказов с повышенной оплатой! отличные условия как для начинающих специалистов без опыта, так и для опытных сотрудников подбираем магазин ближе к дому! обязанности: упаковка интернет заказов в магазине ...
Начинающий сборщик онлайн заказов (подработка)
, 84000 руб.– Срочно! Требуются сборщики заказов! Подработка! Дни и магазин выбираете самостоятельно! КОЛИЧЕСТВО МЕСТ СТРОГО ОГРАНИЧЕНО! УСПЕЙТЕ ОСТАВИТЬ ЗАЯВКУ, МЫ СВЯЖЕМСЯ С ВАМИ! Обязанности: Комплектовать и собирать интернет заказы Проверять срок годности и товарный ...
Пеший курьер-сборщик (подработка)
, 65000 руб.– компания "сапожников павел андреевич" мы служба доставки "везем несем", приглашаем тебя в команду на должность пеший курьер с еженедельными выплатами ! район на ваш выбор заказы в пределах трех километров обязанности: - сборка оплаченного заказа в магазине;- ...
Сотрудник в кафе (есть свободная подработка)
, 42000 руб.– компания "start-job" сеть ресторанов в связи с увеличением заказов приглашает сотрудников! (есть свободная подработка) место работы подбираем ближе к месту проживания!✅ ваши обязанности:- клиент пришел и сделал заказ - заказ передали на кухню - вы собрали ...
– компания "start-job" сотрудник в кафе (есть свободная подработка) сеть ресторанов в связи с увеличением заказов приглашает сотрудников! место работы подбираем ближе к месту проживания!✅ ваши обязанности:- клиент пришел и сделал заказ - заказ передали ...
Начинающий сборщик заказов (подработка)( Start-Job )
, 50000 руб.– компания "start-job" срочно! требуются сборщики заказов! подработка! магазин выбираете самостоятельно! количество мест строго ограничено! успейте оставить заявку, мы свяжемся с вами! обязанности: комплектовать и собирать интернет заказы проверять срок ...
– компания "start-job" срочный набор на вакансию упаковщик / сборщик / фасовщик онлайн заказов! отличные условия для начинающих специалистов так и для опытных обязанности: упаковка интернет заказов в магазине передача заказа курьеру требования: принимаем ...
Упаковщик онлайн заказов (есть свободная подработка)
, 80000 руб.– компания "start-job" срочный набор на вакансию сборщик - упаковщик онлайн заказов в сеть магазинов! подбираем магазин рядом с домом. обязанности: упаковка интернет заказов передача заказа курьеру или клиенту требования: принимаем без опыта работы. ...
Работник торгового зала, подработка
, 31100 руб.– компания "магнит, розничная сеть" готовы работать только в определенные дни или несколько часов в неделю? вы находитесь в поисках официальной подработки или работы по совместительству? тогда рады пригласить вас в дружную семью магазинов магнит. в нашей ...
Начинающий сборщик онлайн заказов (подработка)
, 80000 руб.– компания "staff-linear" срочно! требуются сборщики заказов! подработка! дни и магазин выбираете самостоятельно! количество мест строго ограничено! успейте оставить заявку, мы свяжемся с вами! обязанности: комплектовать и собирать интернет заказы проверять ...
Начинающий сборщик заказов (подработка)
, 95000 руб.– компания "staff-linear" срочно! требуются сборщики заказов! подработка! дни и магазин выбираете самостоятельно! количество мест строго ограничено! успейте оставить заявку, мы свяжемся с вами! обязанности: комплектовать и собирать интернет заказы проверять ...
Работник торгового зала, подработка
, 31100 руб.– Готовы работать только в определенные дни или несколько часов в неделю? Вы находитесь в поисках официальной подработки или работы по совместительству? Тогда рады пригласить Вас в дружную семью магазинов Магнит. В нашей компании возможно трудоустройство ...
Сборщик заказов (подработка)( БКС )
, 54000 руб.– компания "бкс" собираем команду сборщиков онлайн заказов в крупную компанию! наши партнеры: metro, лента, вкусвилл, азбука вкуса, ашан, бахетле, магнолия мы предлагаем: стабильный доход до 54000 рублей в месяц возможность выбрать удобный район дистанционное ...
Продавец, подработка
, 31100 руб.– компания "магнит, розничная сеть" готовы работать только в определенные дни или несколько часов в неделю? вы студент и находитесь в поисках официальной подработки или работы по совместительству? тогда рады пригласить вас в дружную семью магазинов магнит ...
Пеший курьер-сборщик (подработка)
, 65000 руб.– Мы служба доставки "Везем Несем", приглашаем ТЕБЯ в команду на должность ПЕШИЙ КУРЬЕР с ЕЖЕНЕДЕЛЬНЫМИ ВЫПЛАТАМИ ! РАЙОН на ВАШ выбор Заказы в пределах ТРЕХ КИЛОМЕТРОВ Обязанности: - Сборка оплаченного заказа в магазине;- Доставка собранного заказа клиенту ...
Сотрудник в кафе (есть свободная подработка)
, 42000 руб.– Сотрудник в кафе (есть свободная подработка) Сеть ресторанов в связи с увеличением заказов приглашает сотрудников! Место работы подбираем ближе к месту проживания!✅ Ваши обязанности:- Клиент пришел и сделал заказ - Заказ передали на кухню - Вы собрали ...
Комплектовщик интернет-заказов (подработка)
, 54000 руб.– компания "job for joy" срочный набор на вакансию сборщик / комплектовщик заказов от наших партнеров! опыт работы не требуется! обязанности: упаковка интернет заказов в магазине передача заказа курьеру требования: принимаем без опыта работы внимательность ...
– компания "start-job" удаленный оператор пк - сотрудник на ввод данных (есть свободная подработка) ведется набор на удалённую вакансию оператор пк - сотрудник на ввод данных. подходит для работы из любого места, где есть интернет, без опыта работы. обязанности: ...
Сотрудник в кафе (подработка)
, 50000 руб.– компания "staff-linear" сеть ресторанов в связи с увеличением заказов приглашает сотрудников! требования: принимаем без опыта работы внимательность условия: высокая и стабильная з/п работа рядом с домом свободный график возможна подработка (от 4х часов) ...
Упаковщик интернет заказов (подработка)( Start-Job )
, 75000 руб.– компания "start-job" срочный набор на вакансию упаковщик интернет заказов в сеть магазинов! подбираем магазин рядом с домом. обязанности: упаковка интернет заказов. передача заказа курьеру или клиенту. требования: принимаем без опыта работы. вы можете ...
– компания "start-job" срочный набор на вакансию упаковщик / сборщик / фасовщик онлайн заказов! отличные условия для начинающих специалистов так и для опытных обязанности: упаковка интернет заказов в магазине передача заказа курьеру требования: принимаем ...
– компания "start-job" срочный набор на вакансию упаковщик интернет заказов в сеть магазинов! подбираем магазин рядом с домом. обязанности: упаковка интернет заказов. передача заказа курьеру или клиенту. требования: принимаем без опыта работы. вы можете ...
– компания "staff-linear" срочный набор на вакансию упаковщик / сборщик / фасовщик онлайн заказов! отличные условия для начинающих специалистов так и для опытных обязанности: упаковка интернет заказов в магазине передача заказа курьеру требования: ...
Удалённый оператор (подработка)
, 25000 руб.– компания "staff-linear" работа удаленным специалистом службы поддержки в связи с увеличением количества клиентов и стремительным ростом компании открылись свежие вакансии менеджеров по работе с клиентами. внимание! вакансия может закрыться в ближайшее ...
Фасовщик - упаковщик заказов (подработка)
, 45000 руб.– компания "start-job" срочно требуются упаковщики / сборщики / фасовщики интернет заказов! предлагаем лучшие условия для как начинающих специалистов, так и для опытных сотрудников ❗ подбираем магазин рядом с домом ❗ ✅ обязанности: упаковка интернет ...
Упаковщик интернет заказов (подработка)
, 48000 руб.– компания "staff-linear" срочный набор на вакансию упаковщик заказов! обязанности: упаковка заказов предоставление заказов клиенту требования: принимаем без опыта работы внимательность условия: высокая и стабильная з/п работа рядом с домом свободный ...
Фасовщик интернет заказов (подработка)
, 50000 руб.– компания "staff-linear" срочный набор на вакансию упаковщик / сборщик / фасовщик онлайн заказов! отличные условия для начинающих специалистов так и для опытных обязанности: упаковка интернет заказов в магазине передача заказа курьеру требования: ...
Фасовщик - упаковщик заказов (подработка)
, 45000 руб.– СРОЧНО ТРЕБУЮТСЯ УПАКОВЩИКИ / СБОРЩИКИ / ФАСОВЩИКИ ИНТЕРНЕТ ЗАКАЗОВ! Предлагаем лучшие условия для как начинающих специалистов, так и для опытных сотрудников ❗ ПОДБИРАЕМ МАГАЗИН РЯДОМ С ДОМОМ ❗ ✅ Обязанности: Упаковка интернет заказов по списку ✅ ...
– СРОЧНЫЙ НАБОР НА ВАКАНСИЮ УПАКОВЩИК / СБОРЩИК / ФАСОВЩИК ОНЛАЙН ЗАКАЗОВ! Отличные условия для начинающих специалистов так и для опытных Обязанности: Упаковка интернет заказов в магазине Передача заказа курьеру Требования: Принимаем БЕЗ ОПЫТА работы ...
Сборщик заказов (подработка)
, 50000 руб.– компания "сбермаркет" сбермаркет — крупный онлайн-сервис, который помогает делать покупки, не выходя из дома. среди наших партнеров торговые сети: metro, лента, ашан, о’кей, твой дом и многие другие. мы входим в крупнейшую в россии экосистему сбера. обязанности: ...
Сборщик заказов (подработка)
, 50000 руб.– СберМаркет — крупный онлайн-сервис, который помогает делать покупки, не выходя из дома. Среди наших партнеров торговые сети: METRO, ЛЕНТА, АШАН, О’КЕЙ, Твой Дом и многие другие. Мы входим в крупнейшую в России экосистему Сбера. Обязанности: сборка заказов ...
– компания "start-job" сборщик - упаковщик заказов (есть свободная подработка) срочно требуется сборщик - упаковщик интернет заказов (работа в ближайшем к дому магазине). опыт работы не требуется. всему научим за один день. что нужно делать: собирать заказы ...
Работник торгового зала, подработка
, 31100 руб.– Готовы работать только в определенные дни или несколько часов в неделю? Вы студент и находитесь в поисках официальной подработки или работы по совместительству? Тогда рады пригласить Вас в дружную семью магазинов Магнит. В нашей компании возможно трудоустройство ...
– компания "буквоед" приглашаем в свою команду продавцов-кассиров с гибким графиком график работы - минимум 3 дня в неделю полный рабочий день (с 10:00 до 21:00) ваши задачи: — взаиморасчеты с покупателями - работа с денежной наличностью и кассовым аппаратом;— ...
Автокурьер на личном автомобиле (подработка)
, 70000 руб.– компания "бкс" есть свой автомобиль? берите посылки на своем районе рядом с домом и доставляйте их, используя мобильное приложение. оплата: ✅оплата сдельная за каждый заказ ✅выплаты сразу ✅доход в среднем 350-400 ₽ / час (в зависимости от времени суток) ...
Курьер на доставку и сборку продуктов (подработка)
, 50000 руб.– компания "jcat.ru" вакансия компании: см сервис доставкионлайн-сервис, который помогает делать покупки, не выходя из дома. проект за 6 лет смог вырасти из небольшого стартапа, основанного в москве в 2013 году, в федерального лидера с представительствами ...
Начинающий сборщик-курьер (подработка)( JCat.ru )
, 72000 руб.– компания "jcat.ru" вакансия компании: см сервис доставкионлайн-сервис, который помогает делать покупки, не выходя из дома. проект за 6 лет смог вырасти из небольшого стартапа, основанного в москве в 2013 году, в федерального лидера с представительствами ...
Сборщик заказов-водитель (подработка)( JCat.ru )
, 60000 руб.– компания "jcat.ru" вакансия компании: см сервис доставкионлайн-сервис, который помогает делать покупки, не выходя из дома. проект за 6 лет смог вырасти из небольшого стартапа, основанного в москве в 2013 году, в федерального лидера с представительствами ...
Сборщик-автокурьер (подработка)
, 60000 руб.– компания "jcat.ru" вакансия компании: см сервис доставкионлайн-сервис, который помогает делать покупки, не выходя из дома. проект за 6 лет смог вырасти из небольшого стартапа, основанного в москве в 2013 году, в федерального лидера с представительствами ...
Водитель-курьер (подработка)
, 114000 руб.– компания "jcat.ru" вакансия компании: см сервис доставкионлайн-сервис, который помогает делать покупки, не выходя из дома. проект за 6 лет смог вырасти из небольшого стартапа, основанного в москве в 2013 году, в федерального лидера с представительствами ...
Начинающий сборщик/упаковщик (подработка)
, 38000 руб.– компания "jcat.ru" вакансия компании: см сервис доставкионлайн-сервис, который помогает делать покупки, не выходя из дома. проект за 6 лет смог вырасти из небольшого стартапа, основанного в москве в 2013 году, в федерального лидера с представительствами ...
Сборщик/комплектовщик (подработка)
, 38000 руб.– компания "jcat.ru" вакансия компании: см сервис доставкионлайн-сервис, который помогает делать покупки, не выходя из дома. проект за 6 лет смог вырасти из небольшого стартапа, основанного в москве в 2013 году, в федерального лидера с представительствами ...
Начинающий сборщик / комплектовщик (подработка)
, 38000 руб.– компания "jcat.ru" вакансия компании: см сервис доставкионлайн-сервис, который помогает делать покупки, не выходя из дома. проект за 6 лет смог вырасти из небольшого стартапа, основанного в москве в 2013 году, в федерального лидера с представительствами ...
Сборщик/упаковщик (подработка)
, 38000 руб.– компания "jcat.ru" вакансия компании: см сервис доставкионлайн-сервис, который помогает делать покупки, не выходя из дома. проект за 6 лет смог вырасти из небольшого стартапа, основанного в москве в 2013 году, в федерального лидера с представительствами ...
Сборщик/комплектовщик (подработка)( JCat.ru )
, 38000 руб.– компания "jcat.ru" вакансия компании: см сервис доставкионлайн-сервис, который помогает делать покупки, не выходя из дома. проект за 6 лет смог вырасти из небольшого стартапа, основанного в москве в 2013 году, в федерального лидера с представительствами ...
Начинающий сборщик/комплектовщик (подработка)
, 38000 руб.– компания "jcat.ru" вакансия компании: см сервис доставкионлайн-сервис, который помогает делать покупки, не выходя из дома. проект за 6 лет смог вырасти из небольшого стартапа, основанного в москве в 2013 году, в федерального лидера с представительствами ...
Ум и мята - авторские обзоры
ТОП-вакансий за последние 24 часа.
Что собой представляет вакансия «подработка без опыта работы» в регионе Карелия?
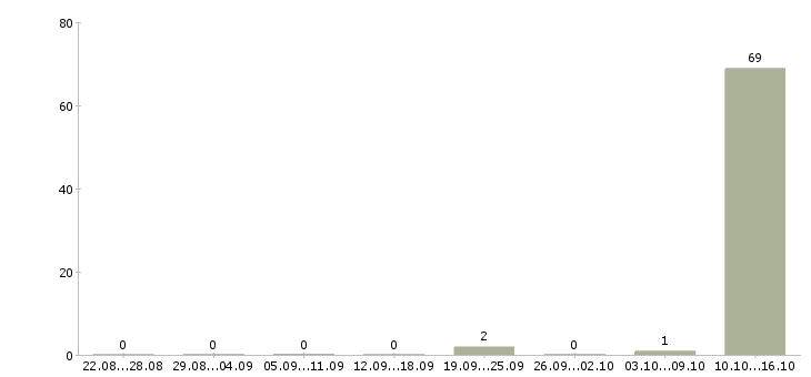
Число вакансий Карелия по специальности подработка без опыта работы за 2 месяца
Самая популярная форма занятости — вахта, количество вакансий по ней насчитывает 11 вакансия. Общий поисковый рейтинг запрашиваемой страницы с указанной вакансией – это 0 мест в списке рабочих мест по региону Карелия. Наиболее длинный список свободных мест предлагают компании:
Медиана зарплат подработка без опыта работы Карелия за 2 месяца
- «Агат»;
- «ВЕСТА»;
- «ООО ЭЛИС»;

При поиске работы на должность «подработка без опыта работы» по всем регионам, можно найти 13689 вакансий. Работу для такого человека, как подработка без опыта работы, можно найти даже в таком месте, как Карелия. Для желающих трудоустроиться на вакансию «подработка без опыта работы», регион Карелия предлагает огромное количество вакансий. Наиболее доступная в ряду затребованных должностей – «подработка без опыта работы». По этой специальности саммое популряное значение зарплаты - 65000 руб. К этой категории относится и ряд других похожих вакансий:. Можно встретить много предложений по направлениям в таких городах региона, как:. Минимальная сумма оплаты труда – 25000 руб. Специалисты подработка без опыта работы могут рассчитывать на зарплату в 65000 руб. Количество вакансий по региону достигает количества в позиций. В регионе Карелия существует большая потребность в специалистах разнообразных профессий. Средний уровень дохода по специальности - 64000. Согласно существующей номенклатуры профессий данная специализация относится к категории. Страница на сайте запрошена 0 раз за месяц. Вакансии подработка без опыта работы являются довольно востребоваными. По данным поисковых порталов, в регионе Карелия насчитывается 84 вакансии по заданной позиции. В то время как максимальная достигает 65000 руб. На сегодняшний день категория включает 27 вакансий по указанной специализации. Можно встретить другое название этой специализации - подработка без опыта работы. предлагает большое число вакансий по специальности подработка без опыта работы. К списку популярных профессий в регионе Карелия относятся:
- «Менеджер-консультант (возможно как подработка)»;
- «Работа дома.Информационный сотрудник.»;
- «Работаем в интернете»;
- «Комплектовщик косметики (+жилье)»;
- «Информационный консультант он-лайн»;
- «Информационный консультант на дому.»;
- «Грузчик-транспортировщик на заводе (вахта)».
Компаниями предлагается различные формы занятости – «вахта», «вахтовый», «работа вахтовым методом».
- Работа вакансии
- Информация
- Найти работу
- Работа в вашем городе