Должность:
Регион:
- оператор телефонного центра Карелия
- специалист колл центра Карелия
- специалист информационного центра Карелия
- специалист call центра Карелия
- специалист телефонных продаж Карелия
- специалист центра продаж Карелия
- специалист на телефон Карелия
- специалист по телефонным переговорам Карелия
- специалист по телефонному взысканию Карелия
- специалист по телефонным продажам Карелия
- специалист в офис на телефон Карелия
- специалист на прием телефонных звонков Карелия
- call-центр Карелия
- оператор колл центра Карелия
- менеджер центра продаж Карелия
- оператор call центра Карелия
- оператор call центр Карелия
- оператор в call центр Карелия
- менеджер медицинского центра Карелия
- менеджер в медицинский центр Карелия
- руководитель центра продаж Карелия
- оператор call центра на дому Карелия
- менеджер контакт центра Карелия
Работа «специалист телефонного центра» Карелия, 43 свежие вакансии
Специалист call-центра банка
, 27000 руб.– АО "Россельхозбанк" входит в перечень системно значимых кредитных организаций. Контакт- центр Россельхозбанка, Лауреат премии Хрустальная гарнитура в номинациях Лучший Контактный центр (более 500 операторов) и Самое эффективное применение технологий ...
– Менеджер обработки телефонных звонков (удаленно, без опыта, без поиска клиентов) в крупнейший в мире онлайн-банк. Надежная работа без потолка в доходе. Удаленная работа. Предусмотрена частичная занятость. Обязанности: - Звонки потенциальным клиентам ...
Специалист call-центра
, 40000 руб.– компания "ск nova" обязанности: холодные звонки, телефонные переговоры, консультирование, работа с срм-системой требования: грамотная четкая речь уверенный пользователь пк инициативность умение работать в системе многозадачности стрессоустойчивость ...
Специалист call-центра
, 40000 руб.– Обязанности: холодные звонки, телефонные переговоры, консультирование, работа с срм-системой Требования: грамотная четкая речь уверенный пользователь ПК инициативность умение работать в системе многозадачности стрессоустойчивость Условия: обучение, ...
– Чем мы занимаемся? Мы IT- компания, занимаемся автоматизацией коммерческих компаний, производств, государственных учреждений. Мы внедряем и обслуживаем программные продукты 1С, СБиС, Битрикс24, Asterisk и др. С нами работают тысячи клиентов, и мы о них ...
Специалист по работе с клиентами (теплая база)
, 70000 руб.– компания "освободим" здравствуйте, меня зовут юлия, я менеджер по подбору персонала федеральной юридической компании “освободим”. наша компания занимаемся банкротством физических лиц, на законных основаниях помогаем нашим клиентам избавиться от долгов ...
– компания "belkacar" каршеринг belkacar предоставляет услуги аренды автомобилей в москве, сочи и краснодаре. каждый день сервисом belkacar пользуются десятки тысяч человек, а общее количество пользователей превышает миллион. в службе поддержки белки работают ...
– Каршеринг BelkaCar предоставляет услуги аренды автомобилей в Москве, Сочи и Краснодаре. Каждый день сервисом BelkaCar пользуются десятки тысяч человек, а общее количество пользователей превышает миллион. В службе поддержки Белки работают ответственные ...
Специалист по работе с клиентами (теплая база)
, 70000 руб.– Здравствуйте, меня зовут Юлия, я менеджер по подбору персонала федеральной юридической компании “Освободим”. Наша компания занимаемся банкротством физических лиц, на законных основаниях помогаем нашим клиентам избавиться от долгов. С 2013 года мы списали ...
– компания "ка илма" обязанности: ведение переговоров по телефону с целью урегулирования вопросов по оплате задолженности на любой стадии (досудебная, судебная, в рамках исполнительного производства) консультирование клиента по причинам возникновения задолженности ...
– компания "чувашская республиканская общественная организация социологов социс" проведение социологических опросов населения. к нам в команду требуются операторы колл-центра, как на постоянную основу, так и в качестве подработки. смена от 3 часов даже ...
– Проведение социологических опросов населения. К нам в команду требуются операторы колл-центра, как на постоянную основу, так и в качестве подработки. Смена от 3 часов Даже если сейчас у вас нет опыта работы, не бойтесь - всему вас научим и вы непременно ...
Специалист в колл-центр
, 42000 руб.– компания "ситилинк" хочешь начать карьеру в it? приходи к нам на работу!поддержка пользователей — лучшая возможность набраться опыта и посмотреть на отрасль изнутри. что нужно будет делать? отвечать на звонки пользователей по телефону; разрешать вопросы ...
Специалист в колл-центр
, 42000 руб.– Хочешь начать карьеру в IT? Приходи к нам на работу!Поддержка пользователей — лучшая возможность набраться опыта и посмотреть на отрасль изнутри. Что нужно будет делать? отвечать на звонки пользователей по телефону; разрешать вопросы клиентов, связанные ...
Специалист-консультант
, 27000 руб.– Количество клиентов Контакт-центра постоянно увеличивается, поэтому Мы набираем новых коллег в нашу команду! Обязанности: обслуживание входящих обращений клиентов в Контакт-центре по различным каналам взаимодействия (телефон, e-mail, web-чат, сайт Банка); ...
Менеджер контакт-центра
, 29000 руб.– компания "babysmile photography" babysmile group - международная компания, успешно реализующая проекты в сфере товаров и услуг для материнства и детства. babysmile photography - один из наших проектов, который посвящен фотосъемке самых ценных моментов ...
– компания "ремонт бытовой техники" привет! итак, немного о нас и о предстоящей работе: во-первых мы достаточно крупная компания, уже насчитывается 50 филиалов по рф. мы команда молодых, энергичных, горящих тем, что мы делаем, профессионалов. компания занимается ...
– компания "россельхозбанк" основные обязанности: мониторинг и анализ операций по счетам физических лиц (фл) - клиентов банка; классификация операций в системе антифрода по платёжным картам; взаимодействие с клиентами банка с использованием корпоративной ...
Бухгалтер - Консультант 1С
, 50000 руб.– Мы – IT-компания, занимаемся автоматизацией коммерческих компаний, производств, государственных учреждений. Внедряем и обслуживаем программные продукты 1С, СБиС, Битрикс24, Asterisk и другие. Сейчас мы ищем крутого консультанта 1С - эксперта, любящего ...
Инженер-электроник
, 30000 руб.– компания "expas" вакансия компании: ооо "республиканский центр ккм" группа компаний республиканский центр ккм работает на рынке республики карелия с 1992 года, и в настоящее время является одним из крупнейших предприятий региона по поставке холодильного, ...
Менеджер по работе с клиентами в сервисный центр
, 34000 руб.– компания "сеть магазинов цифровой и бытовой техники dns" сеть сервисных центров dns сервис ведет поиск специалиста сервисного центра.обязанности:• прием на сервисное обслуживание и выдача неисправной клиентской техники;• прием звонков, информирование ...
Программист 1с
, 50000 руб.– компания "expas" вакансия компании: ооо "республиканский центр ккм" группа компаний республиканский центр ккм работает на рынке республики карелия с 1992 года, и в настоящее время является одним из крупнейших предприятий региона по поставке холодильного, ...
– компания "титовский александр валерьевич" мы ищем продуктолога с опытом работы в продажах ( опыт маркетолога), с опытом в развитии продукта, как с нуля так и уже работающего на рынке. компания илма предоставляет финансовые услуги населелению, на рынке ...
Инженер отдела инфраструктурных решений
, 24000 руб.– компания "неосистемы ит" аккредитованная it-компания. компания "неосистемы", ведущий партнер 1с в карелии, ищет инженера по инфраструктуре для пополнения действующей команды специалистов.научим, покажем, объясним. требуется наличие "правильно заточенных" ...
Инженер-сметчик (СМР)
, 60000 руб.– компания "клин-клининг" приглашаем в профессиональную команду ооо "форто инвест" инженера-сметчика смр. компания "форто инвест" - важное направление от ооо "форто сервис", занимается строительством и реконструкцией объектов инфраструктуры, коммерческих ...
Менеджер контакт-центра
, 29000 руб.– компания "babysmile photography" международная компания babysmile photography занимается профессиональной фото и видеосъемкой в стенах родильных учреждений. мы сохраняем самые важные и трогательные моменты в жизни малыша и его семьи. на сегодняшний день ...
Специалист-консультант
, 27000 руб.– компания "россельхозбанк" количество клиентов контакт-центра постоянно увеличивается, поэтому мы набираем новых коллег в нашу команду! обязанности: обслуживание входящих обращений клиентов в контакт-центре по различным каналам взаимодействия (телефон, ...
– компания "яндекс" сервис яндекс справочник хранит данные, которые нужны для других приложений компании, таких как карты и такси. таким образом вы можете, например, вызывать такси, вбивая не адрес, а название торгового центра. такими приложениями пользуются ...
Менеджер абонентского отдела
, 23000 руб.– компания "связьсервис" обязанности: консультация клиентов – физлиц по услугам и тарифам компании, продажи и допродажи услуг прием, оформление и выполнение заявок в биллинговой программе ведение учётной записи абонента обработка входящей документации ...
Оператор/менеджер call-центра (удаленно)
, 30000 руб.– компания "делориан медиа" добрый день, дорогой кандидат! мы компания, помогающая людям восстанавливать своё здоровье и поддерживать красоту! ищем сотрудника, заинтересованного зарабатывать, платим достойную заработную плату. компания коллмедиа - это ...
Специалист по взысканию задолженности
, 42000 руб.– компания "агентство судебного взыскания" кто мы:агентство судебного взыскания (асв, lca) - юридическая компания, объединившая в себе современные it-технологии и более 15 лет судебного опыта. мы команда увлеченных специалистов, которые видят возможность ...
Специалист технической поддержки 1С
, 35000 руб.– компания "объединенные криптосистемы" мы – it-компания, занимаемся автоматизацией коммерческих компаний, производств, государственных учреждений. внедряем и обслуживаем программные продукты 1с, сбис, битрикс24, asterisk и другие. сейчас мы ищем ответственного ...
Менеджер абонентского отдела
, 23000 руб.– Обязанности: Консультация клиентов – физлиц по услугам и тарифам компании, продажи и допродажи услуг Прием, оформление и выполнение заявок в биллинговой программе Ведение учётной записи абонента Обработка входящей документации и ведение отчетности Планирование ...
– компания "точка роста" всем добрый день! мы в поисках амбициозного, с горящими глазами, желанием зарабатывать и расти по карьерной лестнице вверх, администратора в массажный кабинет внимание!! вакансия открыта до 15 октября включительно! наша компания ...
Администратор массажного кабинета (удаленно)
, 25000 руб.– компания "точка роста" всем добрый день! мы в поисках амбициозного, с горящими глазами, желанием зарабатывать и расти по карьерной лестнице вверх, администратора в массажный кабинет внимание!! вакансия открыта до 15 сентября включительно! наша компания ...
Инженер отдела инфраструктурных решений
, 24000 руб.– компания "неосистемы ит" компания "неосистемы", ведущий партнер 1с в карелии, ищет инженера по инфраструктуре для пополнения действующей команды специалистов.научим, покажем, объясним. требуется наличие "правильно заточенных" рук и "дружба" с техникой ...
Менеджер по приему входящих обращений
, 25000 руб.– компания "фирма компьютер сервис" мы являемся крупной и надежной it компанией, лидером рынка автоматизации учета в республике карелия. наши постоянные клиенты это более 1000 компаний. мы продолжаем расти и развиваться, и сейчас ищем в наш дружный коллектив ...
– компания "спортмастер" спортмастер — это работа для влюбленных в спорт. больше 29 лет мы помогаем людям в россии и других странах мира достигать спортивных целей, поддерживаем их стремление к здоровому образу жизни и делаем спорт ближе. приходи в команду ...
– компания "спортмастер" спортмастер — это работа для влюбленных в спорт. больше 27 лет мы помогаем людям в россии и других странах мира достигать спортивных целей, поддерживаем их стремление к здоровому образу жизни и делаем спорт ближе. приходи в команду ...
Сборщик спортивного инвентаря (ТЦ "Макси")
, 29000 руб.– компания "спортмастер" спортмастер — это работа для влюбленных в спорт. больше 27 лет мы помогаем людям в россии и других странах мира достигать спортивных целей, поддерживаем их стремление к здоровому образу жизни и делаем спорт ближе. приходи в команду ...
Сборщик спортивного инвентаря (ТЦ "Лотос Плаза")
, 29000 руб.– компания "спортмастер" спортмастер — это работа для влюбленных в спорт. больше 27 лет мы помогаем людям в россии и других странах мира достигать спортивных целей, поддерживаем их стремление к здоровому образу жизни и делаем спорт ближе. приходи в команду ...
– компания "biglion" менеджер по продажам ( b2b) - это специалист, который обеспечивает выход на сайте "биглион" акций и предложений по различным товарам и услугам со скидками и на интересных условиях.хочешь попробовать свои силы? готов учиться? добро пожаловать ...
– компания "росшина" обязанности: развитие клиентской базы:поиск новых клиентов, холодные звонки. поддержание и развитие отношений с существующими клиентами анализ рынка и сбор информации о клиентах ведение документооборота по сделкам. прием и обработка ...
Ум и мята - авторские обзоры
ТОП-вакансий за последние 24 часа.
Что собой представляет вакансия «специалист телефонного центра» в регионе Карелия?
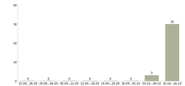
Число вакансий Карелия по специальности специалист телефонного центра за 2 месяца
В указанной выше категории есть вакансии по другим специализациям:. Стоит заметить, что должность специалист телефонного центра считается похожей на данную специализацию, но отличается рядом требованиям к кандидатам. Самое популярное значение заработной платы по вакансии «специалист телефонного центра» – 40000 руб. По данным поисковых порталов, в регионе Карелия насчитывается 31 вакансия по заданной позиции. «Специалист телефонного центра» – популярная специализация не только по региону Карелия, но и по всей России. Регион Карелия изобилует вакансиями «специалист телефонного центра». Работа для хорошего специалист телефонного центра есть всегда. Не найдете дома – просмотрите. Обязательно найдете!. Согласно существующей номенклатуры профессий данная специализация относится к категории. Работодатели предлагают соискателям следующие формы занятости: Полная занятость. В рейтинге запросов по различным вакансиям на сайте, общее число запросов по специальности специалист телефонного центра располагается на 0 позиций. Вакансии специалист телефонного центра являются довольно востребоваными. В среднем специалисты данного уровня получают 38500 в месяц. Если посмотреть популярных работодателей по региону, то можно увидеть:
- «Тинькофф Банк»;
- «Элитный Сочи»;
- «АО Связной Логистика»;
По текущим запросам за месяц можно выявить примерное минимальное значение месячной зарплаты специалист телефонного центра – она составляет 20000 руб. Указанная вакансия популярна и в таких городах области, как:. О высокой востребованности данной специальностей говорит большое количество запросов на сайте за месяц - 0. Другие популярные вакансии в регионе Карелия:
- «Ведущий специалист по продаже недвижимости (г. Сочи)»;
- «Специалист по продажам банковских продуктов»;
- «Специалист по продажам банковских продуктов на дому»;
- «Оператор домашнего колл-центра»;
- «Специалист по обучению b2b».
Все данные актуальны для региона Карелия,. Предлагаются «Полная занятость» формы занятости. Максимальный уровень заработной платы по указанным вакансиям за месяц зафиксирован на отметке в 75000 руб. По всем городам в области насчитывается вакансий. Специалисты специалист телефонного центра могут рассчитывать на зарплату в 40000 руб. Общее число вакансий по этой категории составляет 18. Карелия – это место, где по оценкам большинства работодателей вакансия специалист телефонного центра считается одной из востребованных. При поиске работы на должность «специалист телефонного центра» по всем регионам, можно найти 11882 вакансии.
- Работа вакансии
- Информация
- Найти работу
- Работа в вашем городе