Должность:
Регион:
- специалист по обслуживанию корпоративных клиентов Коми
- менеджер по корпоративным продажам Коми
- менеджер по корпоративному обучению Коми
- менеджеры с корпоративными клиентами Коми
- менеджер по корпоративным клиентам Коми
- менеджер продаж корпоративным клиентам Коми
- ведущий менеджер по корпоративным продажам Коми
- менеджер отдела корпоративных продаж Коми
- менеджер по корпоративным коммуникациям Коми
- водитель корпоративного обслуживания Коми
- консультант корпоративного обслуживания Коми
- менеджер по обслуживанию Коми
- менеджер по обслуживанию клиентов Коми
- менеджер по продажам и обслуживанию Коми
- ведущий менеджер по обслуживанию клиентов Коми
- менеджер по обслуживанию юридических лиц Коми
- менеджер центра продаж и обслуживания Коми
- корпоративный менеджер Коми
- менеджер корпоративных продаж Коми
- корпоративный менеджер по продажам Коми
- менеджер по продажам корпоративным клиентам Коми
- менеджер по привлечению корпоративных клиентов Коми
- менеджер по развитию корпоративных продаж Коми
- менеджер по развитию корпоративной сети Коми
- ведущий менеджер корпоративных продаж Коми
- менеджер корпоративного отдела Коми
- менеджер корпоративного отдела продаж Коми
- менеджер по продажам корпоративного отдела Коми
- менеджер по развитию корпоративных клиентов Коми
- менеджер по сопровождению корпоративных клиентов Коми
- специалист по обслуживанию Коми
Работа «менеджер по обслуживанию корпоративных клиентов» Коми, 60 свежих вакансий
– компания "банк втб (пао)" обязанности: поиск и привлечение новых клиентов на рко; осуществление холодных звонков и назначение встреч; активное участие в конференциях и выставках, сбор контактов для дальнейших коммуникаций. требования: знания банковского ...
– компания "сбербанк" сбер — это более 60 компаний экосистемы, 14 тысяч подразделений, а масштабы компании и система поддержки сотрудников открывают возможности для карьеры в любом направлении. мы ищем менеджера по привлечению корпоративных клиентов. это ...
Старший менеджер по обслуживанию
, 57300 руб.– компания "сбербанк" сбер — лучший работодатель россии. у нас более 60 компаний экосистемы и 14 тысяч подразделений по всей стране. мы ищем старших менеджеров по обслуживанию клиентов сбера. это специалисты, которые проводят операции клиентов отделения ...
Старший менеджер по обслуживанию (Приполярный)
, 39800 руб.– компания "сбербанк" сбер — лучший работодатель россии. у нас более 60 компаний экосистемы и 14 тысяч подразделений по всей стране. мы ищем старших менеджеров по обслуживанию клиентов сбера. это специалисты, которые проводят операции клиентов отделения ...
Старший менеджер по обслуживанию( Сбербанк )
, 57300 руб.– компания "сбербанк" сбер — лучший работодатель россии. у нас более 60 компаний экосистемы и 14 тысяч подразделений по всей стране.мы ищем старших менеджеров по обслуживанию клиентов сбера. это специалисты, которые проводят операции клиентов отделения ...
Старший менеджер по обслуживанию
, 24800 руб.– Сбер — лучший работодатель России. У нас более 60 компаний экосистемы и 14 тысяч подразделений по всей стране. Мы ищем старших менеджеров по обслуживанию клиентов Сбера. Это специалисты, которые проводят операции клиентов отделения банка. Эта работа ...
Старший менеджер по обслуживанию
, 42100 руб.– компания "сбербанк" сбер — лучший работодатель россии. у нас более 60 компаний экосистемы и 14 тысяч подразделений по всей стране. мы ищем старших менеджеров по обслуживанию клиентов сбера. это специалисты, которые проводят операции клиентов отделения ...
Старший менеджер по обслуживанию( Сбербанк )
, 42100 руб.– компания "сбербанк" сбер — лучший работодатель россии. у нас более 60 компаний экосистемы и 14 тысяч подразделений по всей стране. мы ищем старших менеджеров по обслуживанию клиентов сбера. это специалисты, которые проводят операции клиентов отделения ...
Менеджер по привлечению бизнес-клиентов
, 32500 руб.– компания "тинькофф" тинькофф бизнес на связи с клиентами 24/7 по телефону, почте и чатах. мы увеличили количество продуктов и оформили много новых клиентов, в связи с чем открываем набор в команду специалистов по работе с юридическими лицами на вакансию ...
– компания "банк втб (пао)" обязанности: декомпозиция бизнес-планов на клиентских менеджеров и контроль за их исполнением; поиск и привлечение корпоративных клиентов на комплексное банковское обслуживание (клиенты с выручкой от 120 млн. руб. и до 1 млрд); ...
Менеджер по продажам IT-сервисных услуг
, 50000 руб.– компания "котельников виталий игоревич" мы ищем в команду людей, которым интересна it сфера и которые готовы постоянно учиться новому. в настоящий момент, в связи с увеличением количества принимаемых заказов, открыта вакансия менеджер по продажам it-сервисных ...
Менеджер по доставке
, 87500 руб.– Основная цель - быть помощником и наставником для работников направления экспресс-доставки, организовывать доставку товаров из вверенных ему магазинов для обеспечения высокого уровня сервиса и выполнения целевых показателей. ОСНОВНЫЕ ОБЯЗАННОСТИ: Выполнение ...
– компания "мегафон" чем предстоит заниматься: обеспечение и контроль за сотрудниками подготовки тендерной документации в соответствии с требованиями заказчика; участие в тендерах, с целью заключения долгосрочных контрактов на услуги связи; организация, ...
– компания "ростелеком" обязанности: развитие действующих крупных корпоративных клиентов - продажи основных и дополнительных услуг связи, сохранение и увеличение выручки от базы закрепленных за сотрудником клиентов; регулярные коммуникации с клиентами ...
Менеджер по привлечению бизнес-клиентов
, 32500 руб.– Тинькофф Бизнес на связи с клиентами 24/7 по телефону, почте и чатах.В команду ищем сотрудников, умеющих не только привлекать новых клиентов, но и выстраивать с ними долгосрочные отношения.Мы предлагаем: Средний доход в течение первых трех месяцев - ...
– компания "банк втб (пао)" обязанности: развитие малого и среднего бизнеса в банке, привлечение на обслуживание новых клиентов на кредитные продукты и продукты транзакционного бизнеса, проведение переговоров, заключение договоров, консультирование; анализ ...
– компания "райффайзенбанк" малый бизнес райффайзен банка – одно из самых быстрых и стабильно развивающихся направлений в банке. наши клиенты – это компании с выручкой до 555 миллионов в год. приоритетная цель направления – активный рост клиентской базы ...
– компания "банк втб (пао)" обязанности: декомпозиция бизнес-планов на клиентских менеджеров и контроль за их исполнением; поиск и привлечение корпоративных клиентов на комплексное банковское обслуживание (клиенты с выручкой от 120 млн. руб. и до 1 млрд); ...
– компания "банк втб (пао)" обязанности: развитие малого и среднего бизнеса (компании с выручкой от 120 млн до 1 млрд в год) в банке, привлечение на обслуживание новых клиентов на кредитные продукты и продукты транзакционного бизнеса, проведение переговоров, ...
Менеджер по продаже автозапчастей
, 32000 руб.– компания "динамика сыктывкар м" группа компаний динамика уже 13 лет предлагает своим клиентам полный спектр услуг по покупке, продаже и обслуживанию автомобилей. дилерская сеть насчитывает 15 автосалонов в городах: архангельск, северодвинск, смоленск, ...
Менеджер по продажам, г. Ухта
, 70000 руб.– компания "альфа-банк" обязанности: привлечение корпоративных клиентов на обслуживание; продажа банковских продуктов для юридических лиц: расчетно-кассовое обслуживание, торговый эквайринг; прямые контакты с лпр на выденной территории, без холодных звонков; ...
Менеджер по продажам в IT-сервисную компанию
, 60000 руб.– компания "поляков денис иванович" компании - коллективу ответственных профессионалов, которых объединяет общая цель - быть примером в сфере оказания высокотехнологичных услуг. мы являемся одним из ведущих сервисных центров по ремонту цифровой и бытовой ...
Менеджер по работе с премиум-клиентами
, 75000 руб.– компания "мтс банк" мтс банк – цифровой банк экосистемы мтс. стратегия развития банка – удобство, простота и понимание повседневных потребностей клиентов. для нас важно качество клиентского опыта – доступность всех продуктов банка в два клика . мы предлагаем ...
– компания "альфа-банк" чем предстоит заниматься: привлекать клиентов на рко и доп.продукты; идентифицировать клиентов, проводить личные встречи для цели открытия счета и подключения доп.продуктов; активировать клиентов, выполнять поставленные цели и kpi ...
– Условия: трудоустройство согласно ТК РФ; гарантированный доход плюс премиальное вознаграждение; возможность работать рядом с домом/местом учебы; регулярное корпоративное обучение; ДМС, страхование от несчастных случаев и тяжелых заболеваний; ...
Старший клиентский менеджер
, 60000 руб.– Сбер — лучший работодатель России. У нас более 60 компаний экосистемы и 14 тысяч подразделений по всей стране. Мы ищем старшего менеджера по сопровождению клиентов. Его главная задача – помогать клиентам с оформлением продуктов и услуг Сбера и экосистемы, ...
Специалист по прямым продажам, г. Ухта
, 60000 руб.– компания "альфа-банк" обязанности: привлечение корпоративных клиентов на обслуживание; продажа банковских продуктов для юридических лиц: расчетно-кассовое обслуживание, торговый эквайринг; прямые контакты с лпр на выденной территории, без холодных звонков; ...
– АО РоссельхозБанк – основа национальной кредитно-финансовой системы обслуживания агропромышленного комплекса России. Банк создан в 2000 году и сегодня является ключевым кредитором АПК страны, входит в число самых крупных и устойчивых банков страны по ...
– компания "банк втб (пао)" обязанности: комплексное предложение и продажа финансовых продуктов клиентам банка; операционное обслуживание физических лиц; консультирование клиентов по использованию дистанционного сервиса. требования: образование среднее ...
– Обязанности: Комплексное предложение и продажа финансовых продуктов клиентам Банка; Операционное обслуживание физических лиц; Консультирование клиентов по использованию дистанционного сервиса. Требования: Образование среднее специальное; Опыт работы/стажировки ...
Менеджер по продажам новых автомобилей брендов EXEED
, 80000 руб.– компания "гк агат" крупный автодилер агат открывает вакансию в команде автосалона exeed.мы научим тебя продавать и зарабатывать - оставь отклик!ваш опыт и знания: опыт работы в продажах приветствуется (по телефону/личные). интерес к автомобилям. ...
– компания "банк втб (пао)" обязанности: комплексное предложение и продажа финансовых продуктов клиентам банка; операционное обслуживание физических лиц; консультирование клиентов по использованию дистанционного сервиса. требования: образование среднее ...
Менеджер привлечения бизнес-клиентов
, 32500 руб.– компания "тинькофф" тинькофф бизнес на связи с клиентами 24/7 по телефону, почте и чатах. мы увеличили количество продуктов и оформили много новых клиентов, в связи с чем открываем набор в команду специалистов по работе с юридическими лицами на вакансию ...
Старший менеджер по продажам
, 50000 руб.– компания "тк инструмент" более 25 лет компания "инструмент" осуществляет свою деятельность в продаже и обслуживании бензо- электро, сварочного, пневматического и почвообрабатывающего и др. инструмента. мы работаем в кировской области, республике удмуртия, ...
– компания " газпромбанк (акционерное общество)" обязанности: привлечение в банк новых корпоративных клиентов на зарплатное обслуживание проведение презентаций и переговоров с представителями юридических лиц по вопросам привлечения на обслуживание, ...
Главный менеджер по привлечению зарплатных проектов
, 42500 руб.– компания "россельхозбанк" ао россельхозбанк – основа национальной кредитно-финансовой системы обслуживания агропромышленного комплекса россии. банк создан в 2000 году и сегодня является ключевым кредитором апк страны, входит в число самых крупных и ...
Менеджер по продажам автомобилей с пробегом
, 70000 руб.– компания "гк агат" в нашу команду требуется менеджер отдела продаж автомобилей с пробегом. как строится работа менеджера по продажам автомобилей с пробегом (обязанности): менеджер консультирует клиентов по вопросам покупки авто с пробегом при личной ...
Менеджер по оценке и выкупу автомобилей с пробегом
, 60000 руб.– компания "гк агат" группа компаний агат входит в топ-10 автодилеров россии. мы ищем амбициозных, активных, желающих развиваться вместе с нами людей! в нашу команду требуется менеджер по оценке и выкупу автомобилей с пробегом (байер)! задачи: оценка ...
Старший клиентский менеджер
, 60000 руб.– Сбер — лучший работодатель России. У нас более 60 компаний экосистемы и 14 тысяч подразделений по всей стране. Мы ищем старшего менеджера по сопровождению клиентов. Его главная задача – помогать клиентам с оформлением продуктов и услуг Сбера и экосистемы, ...
Менеджер клиентских отношений
, 25000 руб.– компания "аква-плюс" аква — плюс бренд, которому доверяют более 18 лет! аква-плюс — выступает экспертом по продаже/ монтажу оборудования и сервисного обслуживания (система очистки воды). в связи с расширением торгово-сервисной компании аква-плюс в свою ...
Старший клиентский менеджер( Сбербанк )
, 77000 руб.– компания "сбербанк" сбер — лучший работодатель россии. у нас более 60 компаний экосистемы и 14 тысяч подразделений по всей стране. мы ищем старшего менеджера по сопровождению клиентов. его главная задача – помогать клиентам с оформлением продуктов и услуг ...
Старший клиентский менеджер
, 77000 руб.– компания "сбербанк" сбер — лучший работодатель россии. у нас более 60 компаний экосистемы и 14 тысяч подразделений по всей стране. мы ищем старшего менеджера по сопровождению клиентов. его главная задача – помогать клиентам с оформлением продуктов и услуг ...
Старший клиентский менеджер
, 64000 руб.– компания "сбербанк" место работы - с. зеленец. сбер — лучший работодатель россии. у нас более 60 компаний экосистемы и 14 тысяч подразделений по всей стране. мы ищем старшего менеджера по сопровождению клиентов. его главная задача – помогать клиентам ...
Старший клиентский менеджер (Сыктывкар)
, 68800 руб.– Сбер — лучший работодатель России. У нас более 60 компаний экосистемы и 14 тысяч подразделений по всей стране. Мы ищем старшего менеджера по сопровождению клиентов. Его главная задача – помогать клиентам с оформлением продуктов и услуг Сбера и экосистемы, ...
– компания "розничная сеть мтс" мы – розничная сеть мтс. сегодня у нас более 3 400 магазинов мтс в более 800 городах россии. нам доверяют и нас выбирают более 80 миллионов клиентов. наша команда – эксперты нового поколения. что мы предлагаем: фиксированный ...
Продавец-консультант (г. Инта)( Розничная сеть МТС )
, 35100 руб.– компания "розничная сеть мтс" мы – розничная сеть мтс. сегодня у нас более 3 400 магазинов мтс в более 800 городах россии. нам доверяют и нас выбирают более 80 миллионов клиентов. наша команда – эксперты нового поколения. что мы предлагаем: фиксированный ...
– компания "розничная сеть мтс" мы – розничная сеть мтс. сегодня у нас более 3 400 магазинов мтс в более 800 городах россии. нам доверяют и нас выбирают более 80 миллионов клиентов. наша команда – эксперты нового поколения. что мы предлагаем: фиксированный ...
Продавец-консультант (г. Инта)
, 35100 руб.– компания "розничная сеть мтс" мы – розничная сеть мтс. сегодня у нас более 3 400 магазинов мтс в более 800 городах россии. нам доверяют и нас выбирают более 80 миллионов клиентов. наша команда – эксперты нового поколения. что мы предлагаем: фиксированный ...
– компания "розничная сеть мтс" мы – розничная сеть мтс. сегодня у нас более 3 400 магазинов мтс в более 800 городах россии. нам доверяют и нас выбирают более 80 миллионов клиентов. наша команда – эксперты нового поколения. что мы предлагаем: фиксированный ...
Продавец-консультант (г. Усинск)
, 43100 руб.– компания "розничная сеть мтс" мы – розничная сеть мтс. сегодня у нас более 3 400 магазинов мтс в более 800 городах россии. нам доверяют и нас выбирают более 80 миллионов клиентов. наша команда – эксперты нового поколения. что мы предлагаем: фиксированный ...
Ум и мята - авторские обзоры
ТОП-вакансий за последние 24 часа.
Что собой представляет вакансия «менеджер по обслуживанию корпоративных клиентов» в регионе Коми?
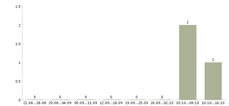
Число вакансий Коми по специальности менеджер по обслуживанию корпоративных клиентов за 2 месяца
Максимальная месячная заработная плата (в числовом формате) по официальным данным, в текущем году составила 35000 руб. Поиск вакансий менеджер по обслуживанию корпоративных клиентов осуществляется в категории. Минимальная месячная заработная плата (в числовом формате) по официальным данным, в текущем году составила 19000 руб. По вакансии «менеджер по обслуживанию корпоративных клиентов» предлагается по всей стране 6387 позиций. Всего в регионе Коми для данной профессии на сегодняшний момент имеется 15 вакансий. В регионе Коми сотрудники на должность менеджер по обслуживанию корпоративных клиентов востребованы даже больше, чем в последние годы. Поиск работы и самые актуальные вакансии: Коми. Одной из популярных вакансий в регионе Коми является «менеджер по обслуживанию корпоративных клиентов». Эта вакансия наиболее востребована в таком регионе, как Коми. Только в регионе Коми количество востребованных рабочих мест составляет порядка 15 вакансий. 33100 – средняя зарплата менеджер по обслуживанию корпоративных клиентов, которую можно проследить по текущим запросам пользователей за месяц. Если посмотреть популярных работодателей по региону, то можно увидеть:
Медиана зарплат менеджер по обслуживанию корпоративных клиентов Коми за 2 месяца
- «Raiffeisenbank»;
- «Тинькофф Банк»;
- «ЦЕНТРОФИНАНС»;

Общее количество данных вакансий достигает 13 позиции. Также в разделе вакансий можно встретить другое название этой специализации - менеджер по обслуживанию корпоративных клиентов. Данные по заданой категории брались по региону. Прочие популярные специализации в регионе Коми:
- «Менеджер по привлечению корпоративных клиентов»;
- «Менеджер по продажам салона магазина МТС»;
- «Менеджер по обслуживанию физических и юридических лиц».
Вакансии менеджер по обслуживанию корпоративных клиентов являются довольно востребоваными. Предлагаются «полная занятость» формы занятости. Место страницы в общем рейтинге – 0. По текущему запросу медиана заработной платы составляет 35000 руб. Другие крупные города в рассматриваемом регионе:. В многих компаниях зарплата составляет 35000 руб. Количество вакансий по региону достигает количества в позиций. Страница на сайте запрошена 0 раз за месяц. Также к группе относятся следующие вакансии:.
- Работа вакансии
- Информация
- Найти работу
- Работа в вашем городе