Должность:
Регион:
- оператор по приему звонков Коми
- специалист по приему звонков Коми
- оператор на звонки Коми
- оператор холодных звонков Коми
- оператор входящих звонков Коми
- оператор входящие звонки Коми
- специалист на прием телефонных звонков Коми
- оператор по приему заявок Коми
- оператор на холодные звонки Коми
- оператор на входящие звонки Коми
- оператор на исходящие звонки Коми
- специалист по приему документов Коми
- специалист по приему заявок Коми
- менеджер по приему товара Коми
- менеджер по приему заявок Коми
- специалист по приему товара Коми
- сотрудник на прием заказов Коми
- сотрудник по приему заказов Коми
- упаковщик на прием одежды Коми
- менеджер на прием заказов Коми
- менеджер по приему заказов Коми
- менеджеры по приему заказов Коми
- менеджер по звонкам Коми
- менеджер телефонных звонков Коми
- сотрудник на телефонные звонки Коми
- консультант на звонки Коми
- менеджер холодных звонков Коми
- менеджер на холодные звонки Коми
- менеджер по холодным звонкам Коми
- консультант на входящие звонки Коми
- оператор Коми
Работа «оператор на прием звонков» Коми, 29 свежих вакансий
Оператор на входящие звонки (на дому, в Я.Такси)
, 23000 руб.– компания "гончаров никита дмитриевич" работа оператором колл-центра в яндекс.такси. необходимо будет заполнить небольшую анкету, после чего с вами свяжутся для интервью. кого ищем? операторов в диспетчерскую яндекс.такси. мы принимаем входящие звонки ...
Оператор судебного и исполнительного производства
, 45000 руб.– Тинькофф — первый российский онлайн-банк и надежная финансовая экосистема для клиентов. В нашей команде 35 тысяч профессионалов, которые помогают людям получать максимальную выгоду от продуктов Тинькофф, развивать бизнес и инвестировать в фондовый рынок ...
Оператор судебного и исполнительного производства
, 45000 руб.– Тинькофф — первый российский онлайн-банк и надежная финансовая экосистема для клиентов. В нашей команде 35 тысяч профессионалов, которые помогают людям получать максимальную выгоду от продуктов Тинькофф, развивать бизнес и инвестировать в фондовый рынок ...
Оператор судебного и исполнительного производства
, 45000 руб.– Тинькофф — первый российский онлайн-банк и надежная финансовая экосистема для клиентов. В нашей команде 35 тысяч профессионалов, которые помогают людям получать максимальную выгоду от продуктов Тинькофф, развивать бизнес и инвестировать в фондовый рынок ...
Оператор судебного и исполнительного производства
, 45000 руб.– Тинькофф — первый российский онлайн-банк и надежная финансовая экосистема для клиентов. В нашей команде 35 тысяч профессионалов, которые помогают людям получать максимальную выгоду от продуктов Тинькофф, развивать бизнес и инвестировать в фондовый рынок ...
– компания "ипц консультант+аскон" мы компания консультант + аскон – 27 лет один из лидеров на рынке санкт-петербурга и ло по продажам и сопровождению справочно-правовой системы консультант плюс. мы приглашаем кандидатов на вакансию оператор call-центра ...
Оператор по продаже банковских продуктов
, 25000 руб.– Тинькофф банк – первый онлайн банк в России и третий в стране по количеству активных клиентов!Мы набираем команду операторов по продаже банковских продуктов. Хотите официальную удаленную работу по 5-6 часов в день с гарантированным заработком? Приходите ...
Оператор по продаже банковских продуктов
, 25000 руб.– Тинькофф банк – первый онлайн банк в России и третий в стране по количеству активных клиентов!Мы набираем команду операторов по продаже банковских продуктов. Хотите официальную удаленную работу по 5-6 часов в день с гарантированным заработком? Приходите ...
Оператор по продаже банковских продуктов
, 25000 руб.– Тинькофф банк – первый онлайн банк в России и третий в стране по количеству активных клиентов!Мы набираем команду операторов по продаже банковских продуктов. Хотите официальную удаленную работу по 5-6 часов в день с гарантированным заработком? Приходите ...
Оператор по продаже банковских продуктов
, 25000 руб.– Тинькофф банк – первый онлайн банк в России и третий в стране по количеству активных клиентов!Мы набираем команду операторов по продаже банковских продуктов. Хотите официальную удаленную работу по 5-6 часов в день с гарантированным заработком? Приходите ...
Оператор по страхованию
, 27000 руб.– Команда Тинькофф Страхования увеличила базу клиентов, в связи с чем мы расширяем штат и ищем новых страховых операторов.Мы предлагаем Средний доход в течение первых трех месяцев – 27 000 ₽ при работе 40 часов в неделю. Вознаграждение сдельное, зависит ...
– Тинькофф банк – первый онлайн банк в России и третий в стране по количеству активных клиентов!Мы набираем команду страховых агентов. Хотите официальную удаленную работу по 3,5 часа в день с гарантированным заработком? Приходите в Тинькофф!Мы предлагаем ...
– Тинькофф банк – первый онлайн банк в России и третий в стране по количеству активных клиентов!Мы набираем команду страховых агентов. Хотите официальную удаленную работу по 3,5 часа в день с гарантированным заработком? Приходите в Тинькофф!Мы предлагаем ...
– Тинькофф банк – первый онлайн банк в России и третий в стране по количеству активных клиентов!Мы набираем команду страховых агентов. Хотите официальную удаленную работу по 3,5 часа в день с гарантированным заработком? Приходите в Тинькофф!Мы предлагаем ...
– Тинькофф банк – первый онлайн банк в России и третий в стране по количеству активных клиентов!Мы набираем команду страховых агентов. Хотите официальную удаленную работу по 3,5 часа в день с гарантированным заработком? Приходите в Тинькофф!Мы предлагаем ...
Оператор в "Магнит" (на дому)
, 25000 руб.– Привет! Ищешь возможность подработки на удаленке в смежном графике 2/2 или полностью перейти в удаленный формат на полный график и даже ночной? Давай знакомиться! Мы безусловный лидер в сфере удаленного аутсорсинга. Нашими основными клиентами являются: ...
Оператор call-центра (удаленно)
, 23500 руб.– Мы компания Консультант + Аскон – 27 лет один из лидеров на рынке Санкт-Петербурга и ЛО по продажам и сопровождению Справочно-правовой системы Консультант Плюс. Мы приглашаем кандидатов на вакансию Оператор call-центра (не продажи!) удаленно. У нас комфортная ...
Оператор по продаже банковских продуктов
, 25000 руб.– компания "тинькофф" тинькофф банк – первый онлайн банк в россии и третий в стране по количеству активных клиентов!мы набираем команду операторов по продаже банковских продуктов. хотите официальную удаленную работу по 5-6 часов в день с гарантированным ...
– компания "тинькофф" тинькофф банк – первый онлайн банк в россии и третий в стране по количеству активных клиентов!мы набираем команду страховых агентов. хотите официальную удаленную работу по 3,5 часа в день с гарантированным заработком? приходите в тинькофф!мы ...
Оператор в позднее взыскание
, 45000 руб.– компания "тинькофф" тинькофф — первый российский онлайн-банк и надежная финансовая экосистема для клиентов. в нашей команде 35 тысяч профессионалов, которые помогают людям получать максимальную выгоду от продуктов тинькофф, развивать бизнес и инвестировать ...
Оператор контактного центра (без холодных звонков)
, 30000 руб.– компания "101 интернет" привет! раз мы встретились здесь, значит ты в поиске интересной и стабильной работы. давай знакомиться! мы "101 интернет" - агрегатор интернет-услуг на территории рф. уже 13 лет мы помогаем людям по всей стране быстро и правильно ...
Оператор по продаже банковских продуктов
, 25000 руб.– компания "тинькофф" тинькофф банк – первый онлайн банк в россии и третий в стране по количеству активных клиентов!мы набираем команду операторов по продаже банковских продуктов. хотите официальную удаленную работу по 5-6 часов в день с гарантированным ...
– компания "тинькофф" тинькофф банк – первый онлайн банк в россии и третий в стране по количеству активных клиентов!мы набираем команду страховых агентов. хотите официальную удаленную работу по 3,5 часа в день с гарантированным заработком? приходите в тинькофф!мы ...
Оператор контактного центра (без холодных звонков)
, 30000 руб.– Привет! Раз мы встретились здесь, значит ты в поиске интересной и стабильной работы. Давай знакомиться! Мы "101 Интернет" - агрегатор интернет-услуг на территории РФ. Уже 13 лет мы помогаем людям по всей стране быстро и правильно выбирать интернет-провайдеров ...
Оператор по продаже банковских продуктов
, 25000 руб.– компания "тинькофф" тинькофф банк – первый онлайн банк в россии и третий в стране по количеству активных клиентов!мы набираем команду операторов по продаже банковских продуктов. хотите официальную удаленную работу по 5-6 часов в день с гарантированным ...
Диспетчер, удаленно (в Я.Такси)
, 23000 руб.– Работа оператором колл-центра в Яндекс.Такси. Необходимо будет заполнить небольшую анкету, после чего с вами свяжутся для интервью. Кого ищем? Операторов в диспетчерскую Яндекс.Такси. Мы принимаем входящие звонки от пользователей, помогаем им создать ...
Менеджер по работе с клиентами( ПО )
, 30000 руб.– компания "по" в it-компанию требуются в одном лице менеджер, секретарь, оператор на телефон, специалист службы поддержки онлайн-сервиса. обязанности: прием входящих обращений по телефону, электронной почте и других источников прием входящих обращений ...
Менеджер по работе с клиентами
, 30000 руб.– В IT-компанию требуются в одном лице Менеджер, Секретарь, Оператор на телефон, Специалист службы поддержки онлайн-сервиса. Обязанности: Прием входящих обращений по телефону, электронной почте и других источников Прием входящих обращений в службу поддержки ...
Оператор по страхованию
, 27000 руб.– компания "тинькофф" команда тинькофф страхования увеличила базу клиентов, в связи с чем мы расширяем штат и ищем новых страховых операторов.мы предлагаем средний доход в течение первых трех месяцев – 27 000 ₽ при работе 40 часов в неделю. вознаграждение ...
Ум и мята - авторские обзоры
ТОП-вакансий за последние 24 часа.
Лучшие вакансии «оператор на прием звонков» в регионе Коми
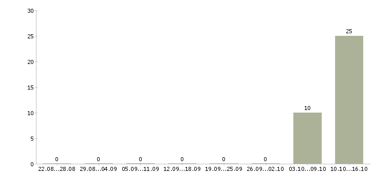
Число вакансий Коми по специальности оператор на прием звонков за 2 месяца
По вакансии «оператор на прием звонков» предлагается по всей стране 9543 позиции. В то время как максимальная достигает 25000 руб. Работодатели предлагают также и другие специализации данной категории. К ним относятся:. Данная профессия входит так называемую категорию. Самой популярной формой занятости является Полная занятость, по ней можно найти 10 вакансий. Всего за месяц на сайте фиксируется 0 запросов. При этом минимальная зарплата в текущем месяце ‒ 10000 руб. Средняя заработная плата за месяц по вакансии оператор на прием звонков в России равняется 19800. Регион, в котором осуществляется поиск вакансий -. Коми является перспективным регионом, где многие люди находят место на должность «оператор на прием звонков». В настоящее время особо востребованной специальностью в регионе Коми является «оператор на прием звонков». Оператор на прием звонков выполняет разные функции. Рассматриваемый регион вакансий - Коми. Другое современное название этой специализации ‒ оператор на прием звонков. Указанная вакансия популярна и в таких городах области, как:. К списку популярных профессий в регионе Коми относятся:
Медиана зарплат оператор на прием звонков Коми за 2 месяца
- «Оператор-диспетчер»;
- «Специалист по продажам банковских продуктов»;
- «Оператор по обслуживанию клиентов»;
- «Оператор по продажам банковских продуктов»;
- «Специалист по продажам продуктов банка»;
- «Водитель такси»;
- «Оператор регистрации клиентов».

Если посмотреть популярных работодателей по региону, то можно увидеть:
- «Тинькофф Банк»;
- «ТаксовичкоФ»;
- «ИП Богданова»;
Количество вакансий по всем специализациям в категории составляет 0 позиций. Запрос в поисковике по этой вакансии находится на 0-м месте по отношению к общему рейтингу всех специальностей. По всем городам в области насчитывается вакансий. Специалисты оператор на прием звонков могут рассчитывать на зарплату в 20000 руб. Ежемесячное количество вакансий по самой популярной форме занятости – 10 вакансий. Число вакансий по региону Коми составляет 28 позиций, многие соискатели могут найти для себя подходящий вариант. По этой специальности саммое популряное значение зарплаты - 20000 руб. Работа для хорошего оператор на прием звонков есть всегда. Не найдете дома – просмотрите. Обязательно найдете!.
- Работа вакансии
- Информация
- Найти работу
- Работа в вашем городе