Должность:
Регион:
- торговый представитель с автомобилем Коми
- торговый представитель с обучением Коми
- торговый представитель с личным автомобилем Коми
- водитель с торговым представителем Коми
- торговый представитель в торговую компанию Коми
- торговый представитель рф Коми
- торговый представитель Коми
- помощник торгового представителя Коми
- торговые представители Коми
- торговый представитель в офис Коми
- торговый представитель отдела продаж Коми
- торговый представитель без опыта Коми
- торговый представитель по городу Коми
- торговый представитель на автомобиле компании Коми
- требуется торговый представитель Коми
- торговый представитель без авто Коми
- торговый представитель опытный Коми
- корпоративный торговый представитель Коми
- торговый представитель на развитие Коми
- торговый представитель в организацию Коми
- торговый представитель на базу Коми
- работник торгового зала с проживанием Коми
- представитель торговый Коми
- представитель по работе с клиентами Коми
- курьер представитель Коми
- юрист представитель Коми
- представитель Коми
- представитель офиса продаж Коми
- представитель компании Коми
Работа «торговый представитель с авто» Коми, 3 свежие вакансии
– компания "объединенные кондитеры" филиал прямых продаж в г. санкт-петербург в составе крупнейшего в россии кондитерского холдинга ооо "объединенные кондитеры" приглашает в свою команду торгового представителя в г. ухта должностные обязанности: поиск ...
Начальник участка
, 300000 руб.– Обязанности: Организация технического обслуживания всего парка технологического, энергетического, холодильного оборудования, инженерных сетей и коммуникаций. Выполнение графика ППР оборудования. Оформление необходимых документов. Поддержание необходимого ...
Начальник участка
, 300000 руб.– Обязанности: Организация технического обслуживания всего парка технологического, энергетического, холодильного оборудования, инженерных сетей и коммуникаций. Выполнение графика ППР оборудования. Оформление необходимых документов. Поддержание необходимого ...
Ум и мята - авторские обзоры
ТОП-вакансий за последние 24 часа.
Лучшие вакансии «торговый представитель с авто» в регионе Коми
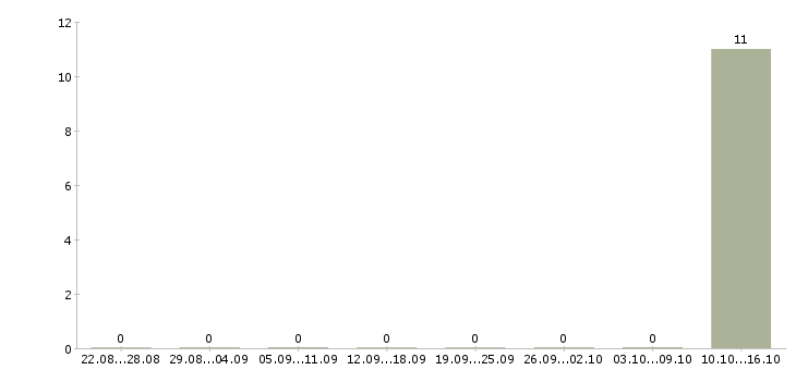
Число вакансий Коми по специальности торговый представитель с авто за 2 месяца
Профессия торговый представитель с авто на сегодняшний день устанавливает ряд требований к своим соискателям. Наибольшее количество рабочих мест по вакансии «торговый представитель с авто» организовали такие компании, как
Медиана зарплат торговый представитель с авто Коми за 2 месяца
- «Cotton Club (Коттон Клаб)»;

Форма занятности может быть: «Полная занятость». В регионе Коми довольно распространена вакансия торговый представитель с авто. Другие крупные города в рассматриваемом регионе:. Количество вакансий по всем специализациям в категории составляет 14 позиции. Оплата за выполненную работу имеет разные размеры, но в большинстве случаев, составляет 31000 руб. В общем списке страница с указанной вакансией находится на 0 позиций. По всем регионам количество вакансий составляет 4788 мест. По текущим запросам за месяц можно выявить примерное минимальное значение месячной зарплаты торговый представитель с авто – она составляет 31000 руб. Максимальная зарплата – 31000 руб. На интерес к этой профессии указывает и количество запросов в поисковике за месяц: 0. Одной из популярных вакансий в регионе Коми является «торговый представитель с авто». Эта вакансия наиболее востребована в таком регионе, как Коми. Наиболее популярной считается форма занятости - Полная занятость, а количество предложений по этой форме - 1 вакансия. Профессия торговый представитель с авто практически синоним этой специализации, означает те же самые требования к кандидату. Если нет подходящей вакансии торговый представитель с авто сейчас, она может появиться через пару дней. В таком месте, как Коми работа найдется!. Также в указанной категории есть и другие специализации:. В регионе Коми потенциальные работодатели на сегодняшний день предлагают 41 вакансия по данной специализации. Средняя заработная плата за месяц по вакансии торговый представитель с авто в России равняется 31000. Медиана зарплаты по категории находится в пределах 31000 руб. Прочие популярные специализации в регионе Коми:
- «Торговый представитель»;
- «Водитель на авто компании».
Количество вакансий по региону достигает количества в позиций. Вакансия входит в более широкую категорию специальностей. Важно, что представленные данные актуальны для следующего региона:.
- Работа вакансии
- Информация
- Найти работу
- Работа в вашем городе