Должность:
Регион:
- специалист отдела поддержки пользователей в Красноярске
- специалист отдела по поддержке клиентов в Красноярске
- специалист отдела технической поддержки в Красноярске
- менеджер отдела поддержки продаж в Красноярске
- специалист технической поддержки в Красноярске
- специалист по поддержке клиентов в Красноярске
- специалист по поддержке продаж в Красноярске
- специалист по поддержке пользователей в Красноярске
- специалист центра поддержки в Красноярске
- специалист информационной поддержки в Красноярске
- специалист центра поддержки клиентов в Красноярске
- специалист технической поддержки клиентов в Красноярске
- специалист технической поддержки пользователей в Красноярске
- специалист технической поддержки на телефоне в Красноярске
- специалист службы поддержки в Красноярске
- специалист ит поддержки в Красноярске
- специалист по поддержке 1с в Красноярске
- специалист технической поддержки офиса в Красноярске
- специалист службы поддержки клиентов в Красноярске
- специалист отдела в Красноярске
- специалист отдела оформления в Красноярске
- специалист отдела продаж в Красноярске
- специалист отдела продаж в офис в Красноярске
- специалист отдела обучения в Красноярске
- специалист отдела по обучению в Красноярске
- специалист отдела развития в Красноярске
- специалист отдела договоров в Красноярске
- специалист отдела качества в Красноярске
- ведущий специалист отдела в Красноярске
- специалист отдела проектов в Красноярске
- специалист отдела продажи услуг в Красноярске
Работа «специалист отдела поддержки продаж» в Красноярске, 55 свежих вакансий
– компания "компания транстелеком" компания транстелеком входит в пятерку ведущих российских операторов связи. мы эксплуатируем и обслуживаем одну из крупнейших в россии волоконно-оптических линий связи протяженностью более 76 000 км и пропускной способностью ...
Специалист отдела поддержки продаж
, 23200 руб.– Что нужно будет делать: Формирование первичных учетных документов (акты выполненных работ, счет-фактуры, счета); Сверка с контрагентами; Сверка с отделениями почтовой связи. Мы ждем от Вас: Высшее, средне-специальное экономическое или бухгалтерское; ...
Специалист отдела поддержки продаж
, 37000 руб.– компания "компания транстелеком" мы – федеральный оператор связи транстелеком (ттк) – одна из ведущих российских телекоммуникационных компаний связи. в связи с расширением компании мы приглашаем к сотрудничеству специалиста отдела поддержки продажзадачи: ...
– компания "ффин банк" в связи с развитием бизнеса по розничному кредитованию в красноярском крае, приглашаем принять участие в конкурсе на вакансию "специалист отдела поддержки продаж розничного кредитования". удаленный характер работы. обязанности: оказание ...
Специалист отдела сопровождения
, 40000 руб.– Основные задачи: Техническое сопровождение клиентов системы мониторинга: • Консультирование клиентов по настройке системы мониторинга автотранспорта. Ведение деловой переписки • Фиксирование обращений от клиентов, своевременная обработка, актуализация ...
Специалист отдела премиум продаж
, 45000 руб.– компания "tiksan group" в группу компаний tksan group в лице строительного направления "малые этажи" набирает новую команду специалистов отдела премиум продаж.мы проектируем и строим малоэтажные дома "под ключ". доступные цены при высоком качестве работ ...
Специалист отдела по работе с локальными клиентами( Пивоваренная компания «Балтика», часть Carlsberg Group )
, 70000 руб.– компания "пивоваренная компания балтика , часть carlsberg group" пивоваренная компания балтика , часть carlsberg group, объявляет конкурс. если ты любишь решать сложные интересные задачи и стремишься к развитию и росту, становись частью нашей команды! ...
Специалист отдела премиум продаж
, 45000 руб.– В группу компаний Tksan group в лице строительного направления "Малые Этажи" набирает новую команду специалистов отдела премиум продаж.Мы проектируем и строим малоэтажные дома "под ключ". Доступные цены при высоком качестве работ из любого материала по ...
Специалист отдела продаж( Теремэкострой )
, 50000 руб.– компания "теремэкострой" в компании по производству и заготовке лесоматериалов теремэкострой открыта вакансия специалист отдела продаж . есть все необходимые условия для зарабатывания и саморазвития: тёплый и удобный офис, расположенный на правом ...
Специалист отдела по работе с локальными клиентами
, 60000 руб.– компания "пивоваренная компания балтика , часть carlsberg group" пивоваренная компания балтика , часть carlsberg group, объявляет конкурс. если ты любишь решать сложные интересные задачи и стремишься к развитию и росту, становись частью нашей команды! ...
– компания "travelline" travelline создает функциональную saas-платформу для автоматизации процессов отельного бизнеса. все что связано с онлайн-бронированием и управлением номерным фондов в отелях — это к нам. в россии у нас более 80% рынка, и мы быстро ...
Агент в отдел продаж
, 70000 руб.– Суперагент в отдел продаж Мы - Перспектива 24! Международная компания, успешно работаем с 2013 года и за это время зарекомендовали себя как надежное и современное агентство недвижимости. Сейчас мы активно расширяемся и ищем в свою команду суперагентов ...
Специалист в отдел продаж
, 70000 руб.– Открыта вакансия в отдел продаж недвижимости. Срочно ищем в свою команду специалистов по ведению продаж, стремящихся увеличить свой уровень дохода за счёт крупных плановых сделок. Сработаемся с честными, общительными, позитивными людьми, готовых обучаться ...
– компания "реновацио" в наш холдинг с многолетней историей и традициями входит одна из первых частных стоматологических клиник г. красноярска - вока и многопрофильный центр эстетической медицины "реновацио". в нашем центре есть стоматологическое отделение, ...
– компания "nobel biocare russia" крупнейшей международной компании по производству и продаже продукции для эстетической и восстановительной стоматологии “nobel biocare” на постоянную работу требуется представитель по продажам и развитию бизнеса в г. красноярск ...
– Крупнейшей международной компании по производству и продаже продукции для эстетической и восстановительной стоматологии “Nobel Biocare” на постоянную работу требуется Представитель по продажам и развитию бизнеса в г. Красноярск. Условия работы и соц. ...
Менеджер по продажам (строительные материалы, ПГС)
, 80000 руб.– компания "сибирский бизнес, группа компаний" компания сибирский бизнес работает на рынке строительных материалов 24 года. мы - генеральные дистрибьюторы ведущих мировых производителей строительных материалов. крупнейшая филиальная сеть по всей россии ...
– компания "ак алроса" алроса — это крупнейшая алмазодобывающая компания в мире, каждый третий алмаз в мире добыт в алроса. мы занимаемся разведкой месторождений, добычей, обработкой и продажей алмазного сырья. основная деятельность алроса сосредоточена ...
Менеджер по продажам В2В
, 45000 руб.– компания "первый бит" международная it-компания первыйбит развивает направление интернет - маркетинга. мы занимаемся эффективным развитием наших клиентов в интернет - среде. у нас уже сформировалась отличная производственная команда, не хватает только ...
– компания "coca-cola hbc russia" это про тебя? имеешь законченное высшее образование (дополнительные тренинги и образование в области управления персоналом будут преимуществом); имеешь опыт подбора персонала от 1 года (позиции mass и middle); владеешь ...
Руководитель отдела маркетинга и рекламы
, 60000 руб.– В наш холдинг с многолетней историей и традициями входит одна из первых частных стоматологических клиник г. Красноярска - ВОКА и многопрофильный центр эстетической медицины "РЕНОВАЦИО". В нашем центре есть стоматологическое отделение, собственная зуботехническая ...
Агент по продаже недвижимости (риэлтор)
, 50000 руб.– Агентство недвижимости "Дельта Гарант" - это надежная компания на рынке недвижимости с многолетним опытом работы. Мы являемся единственными в г. Красноярске статусными Золотыми партнерами Сбербанка и надежными партнерами других Банков страны, входим в ...
Руководитель отдела интернет-рекламы
, 60000 руб.– компания "alente, агентство интернет-маркетинга" приглашаем в команду специалиста отдела интернет-рекламы с дальнейшим переходом на должность руководителя отдела. несколько слов о нас, чтобы познакомиться. предметно, без воды :) alente — это digital-агентство ...
– АЛРОСА — это крупнейшая алмазодобывающая компания в мире, каждый третий алмаз в мире добыт в АЛРОСА. Мы занимаемся разведкой месторождений, добычей, обработкой и продажей алмазного сырья. Основная деятельность АЛРОСА сосредоточена в Якутии и в Архангельской ...
Менеджер по продажам В2В
, 45000 руб.– МЕЖДУНАРОДНАЯ IT-КОМПАНИЯ ПЕРВЫЙБИТ развивает направление интернет - маркетинга. Мы занимаемся эффективным развитием наших клиентов в интернет - среде. У нас уже сформировалась отличная производственная команда, не хватает только Менеджера по продажам ...
Специалист по интернет-рекламе
, 45000 руб.– Приглашаем в команду специалиста отдела интернет-рекламы с дальнейшим переходом на должность руководителя отдела. Несколько слов о нас, чтобы познакомиться. Предметно, без воды :) Alente — это digital-агентство с крутой командой. 13 лет делаем бизнес ...
Ведущий специалист
, 40000 руб.– компания "красноярск этажи" сегодня компания этажи - это лидирующая компания на рынке недвижимости, которая делает акцент на двух вещах: на правильных людях и высоких технологиях. мы постоянно развиваемся для того, чтобы делать клиентов счастливыми, ...
– компания "heineken russia" международная пивоваренная компания heineken – это 80 тысяч талантливых и энергичных сотрудников, которые работают практически во всех странах мира. наши самые известные бренды - heineken, krusovice, amstel, goesser, strongbow, ...
– компания "терсков александр александрович" в связи с расширением штата отдела продаж, компания "pro лстк" ищет в свою команду двух специалистов в области продаж. уже 8 лет мы занимаемся производством металлоконструкций и строительством, строим технические ...
Менеджер активных продаж/Торговый представитель
, 50000 руб.– компания "завод промснаб" вы можете зарабатывать много, при этом получая новые навыки и опыт! принимаем в нашу команду лучших сотрудников отдела продаж! если ты уже являешься опытным специалистом отдела продаж, твой оклад будет обсуждаться на собеседовании ...
Менеджер по продажам профессионального инструмента
, 50000 руб.– компания "тд сибирский инструмент" крупная торговая компания по продаже профессионального инструмента (электроинструмент, абразивный инструмент, слесарно-монтажный инструмент, металлорежущий инструмент, измерительный инструмент, пневмоинструмент, строительное ...
Администратор портала Битрикс24/Специалист Битрикс24
, 65000 руб.– компания "tiksan group" в связи с расширением штата и ростом группы компаний мы ищем администратора портала битрикс24. это новая для нас вакансия, как в целом и для нашего города. работа предстоит очень интересная, в новом отделе, в новом офисе, мы ищем ...
– компания "tiksan group" в самый мощный отдел сопровождения наших постоянных партнеров группы компаний tiksan group требуется региональный менеджер отдела развития дилерской сети! интересные амбициозные задачи, поддержка других подразделений - всё, чтобы ...
Специалист по работе с оптовыми клиентами
, 40000 руб.– компания "семена для сибири" производственно-коммерческая фирма семена для сибири основана в 1996г. компания занимается производством, оптовой и розничной торговлей товарами для фермеров и дачников. занимает лидирующее положение на рынке сибирского ...
Менеджер по грантовой поддержке
, 50000 руб.– компания "sibdev" it-компания sibdev ищет менеджера по грантовой поддержке с перспективой роста до руководителя отдела продаж. мы занимаемся кастомной разработкой: программируем сервисы, веб- и мобильные приложения. в нашей команде 60 it-специалистов ...
– компания "rineco group" мы - группа компаний rineco - ищем тебя – сильного, мудрого! кто мы? вот уже более 20 лет, мы предоставляем комплекс услуг по обеспечению энергоснабжением потребителей, с высоким качеством и индивидуальным подходом. нас называют: ...
Менеджер в отдел продаж (подработка)
, 15000 руб.– компания "билайн" мы предлагаем тебе присоединиться к нашей дружной команде билайн! начни легко и быстро зарабатывать деньги, выполняя простые и интересные задачи. что мы предлагаем: удобный гибкий график с возможностью совмещения подработку от ...
– компания "завалевский евгений игоревич" уже 25 лет компания за рулем занимается продажей автозапчастей в красноярском крае. мы занимаемся продажей запчастей и комплектующих для автомобилей российского и иностранного производства. в настоящее время в ...
Торговый представитель( ГК Штурм )
, 60000 руб.– компания "гк штурм" если вы можете продавать всё, что угодно и при этом вам не все равно что продавать, хотите зарабатывать от 100 000 рублей и постоянно развиваться, то вам точно понравится наше предложение: здравствуйте! гк sturm! 18 лет занимает ...
– Уже 25 лет компания За рулем занимается продажей автозапчастей в Красноярском крае. Мы занимаемся продажей запчастей и комплектующих для автомобилей российского и иностранного производства. В настоящее время в нашей сети автомаркетов 16 магазинов по ...
Торговый представитель
, 60000 руб.– Если Вы можете продавать всё, что угодно и при этом Вам не все равно что продавать, хотите зарабатывать от 100 000 рублей и постоянно развиваться, то Вам точно понравится наше предложение: Здравствуйте! ГК Sturm! 18 лет занимает достойное место среди ...
– компания "альфастрахование" ао альфастрахование , одна из лидирующих компаний на рынке страхования (топ 3), приглашает специалиста на позицию специалист отдела прямых продаж обязанности: продажи/кросс продажи всех видов страхования на входящем потоке; ...
Руководитель отдела маркетинга
, 80000 руб.– компания "кирпичцентр" доброго времени суток, уважаемый соискатель. меня зовут екатерина, я являюсь специалистом по подбору персонала. будем рады вам помочь стать частью стабильной и развивающейся компании. кто мы? компания, которая успешна по следующим ...
Координатор группы административной поддержки
, 40000 руб.– компания "пивоваренная компания балтика , часть carlsberg group" пивоваренная компания балтика , часть carlsberg group, объявляет конкурс на вакансию "координатор группы административной поддержки". если ты любишь решать сложные интересные задачи и ...
Менеджер отдела продаж, В2В, услуги
, 30000 руб.– компания "мд-инсайт" требуемый опыт работы: 1–3 года (возможно без опыта) полная занятость, полный день здравствуйте, в нашей компании открыта вакансия специалиста отдела продаж. вы хотели бы узнать как работает alibaba? узнать о принципах продвижения ...
Начинающий специалист по продаже недвижимости
, 100000 руб.– компания "худоногов иван владимирович" активно расширяющееся агентство недвижимости первый отдел набирает в свою команду специалистов по недвижимости.мы предлагаем самые выгодные условия в городе для вашего дохода! гибкий график, неограниченный доход, ...
Начинающий специалист по недвижимости
, 100000 руб.– компания "худоногов иван владимирович" активно расширяющееся агентство недвижимости первый отдел набирает в свою команду риэлторов.мы предлагаем самые выгодные условия в городе для вашего дохода! гибкий график, неограниченный доход, бесплатное обучение ...
Системный администратор со знанием Битрикс
, 60000 руб.– компания "tiksan group" сегодня проекты tiksan group работают уже в 25 странах мира. в штате центрального офиса группы занято 350+ специалистов, каждый из которых – профессионал в своем деле.компания построена по принципу холдинга. в центральном офисе ...
Разработчик 1С удаленно
, 120000 руб.– В многопрофильную компанию по реализации проектов в 1С Требуется Разработчик 1С - в г. Новосибирске Компания, оказывает услуги для бизнеса в формате B2B и B2C: от консультации в открытии первого дела, организации удаленного отдела продаж посредством Call ...
– компания "искра, информационный центр" информационный центр искра - официальный дистрибьютор спс консультантплюс в красноярском крае приглашает в действующий отдел маркетинга опытного специалиста, который вместе с командой будет создавать новое, продвигая ...
Ум и мята - авторские обзоры
ТОП-вакансий за последние 24 часа.
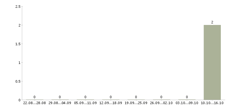
Сколько вакансий в «специалист отдела поддержки продаж» есть в городе Красноярск?
Число вакансий в Красноярске по специальности специалист отдела поддержки продаж за 2 месяца
В среднем специалисты данного уровня получают 26000 в месяц. Если провести медиану заработной платы за месяц по указанным специализациям, то выйдет число в 25000 руб. Довольно восстребуемой является специалист отдела поддержки продаж. Также должность специалист отдела поддержки продаж может называться специалист отдела поддержки продаж в некотрых фирмах. В регионе Красноярск сотрудники на должность специалист отдела поддержки продаж востребованы даже больше, чем в последние годы. На рынке труда различают три формы занятости: полная занятость. Заработная плата, как правило, составляет 25000 руб. Также в указанной категории есть и другие специализации:. Наиболее популярными работодателями на территории РФ являются компании:
Медиана зарплат специалист отдела поддержки продаж в Красноярске за 2 месяца
- «Первый БИТ»;
- «МИРОПТ»;
- «Группа Срочно»;
В регионе Красноярск довольно распространена вакансия специалист отдела поддержки продаж. Эта профессия включена в раздел категории , что значительно облегчает поиск по справочнику. Одной из популярных вакансий в регионе Красноярск является «специалист отдела поддержки продаж». Эта вакансия наиболее востребована в таком регионе, как Красноярск. Регион Красноярск предлагает 14 вакансии. Максимальная отметка зарплаты по этой специализации составляет 30000 руб, что обозначено в текущих запросах пользователей за месяц. В рейтинге запросов по различным вакансиям на сайте, общее число запросов по специальности специалист отдела поддержки продаж располагается на 0 позиций. 3 – такое количество вакансий по всем специализациям в категории предлагается различными организациями. К списку популярных профессий в регионе Красноярск относятся:
- «Руководитель отдела внедрения 1С»;
- «Риэлтор»;
- «Специалист в отдел продаж недвижимости»;
- «Специалист отдела продаж (Проектный центр)»;
- «Специалист по развитию отдела продаж»;
- «Руководитель отдела внедрения 1С (Проектный центр)»;
- «Менеджер по продажам».
Среди других городов области, где востребована специализация специалист отдела поддержки продаж, необходимо назвать следующие:
- Благовещенка
- Александровка
- Верхняя Уря
- Южно-Александровка
- Ивановка
Если заглянуть за рамки региона, то можно обнаружить ещё порядка 1250 вакансий. ТОП популярных форм занятости - «полная занятость», «полный день». Регион вакансии - Красноярский край. За месяц страницу с вакансией специалист отдела поддержки продаж запрашивали 0 раз. По текущим запросам за месяц можно выявить примерное минимальное значение месячной зарплаты специалист отдела поддержки продаж – она составляет 20000 руб. Общее количество вакансий относительно этой специализации по всем городам региона Красноярский край составляет 0 позиций.
- Работа вакансии
- Информация
- Найти работу
- Работа в вашем городе