Должность:
Регион:
- специалист по обработке данных в Кургане
- оператор базы данных в Кургане
- оператор баз данных в Кургане
- оператор по обработке заявок в Кургане
- менеджер базы данных в Кургане
- специалист базы данных в Кургане
- специалист по ведению базы данных в Кургане
- администратор базы данных в Кургане
- администратор баз данных в Кургане
- обработка заявок на дому в Кургане
- специалист по обработке заявок в Кургане
- обработка электронной почты на дому в Кургане
- обработка документации в Кургане
- менеджер по обработке заявок в Кургане
- обработка документов в Кургане
- менеджер по обработке информации в Кургане
- специалист по обработке информации в Кургане
- менеджер обработки заказов в Кургане
- сотрудник по обработке заявок в Кургане
- менеджер по обработке заказов в Кургане
- сотрудник для обработки заявок в Кургане
- сотрудник по обработке корреспонденции в Кургане
- операторы в Кургане
- оператор консультант в Кургане
- менеджер оператор в Кургане
Работа «оператор по обработке данных» в Кургане, 17 свежих вакансий
– компания "stafflix" работай из дома в комфорте и не трать деньги на дорогу! отлично подходит для тех кому нужна: работа удаленно/на дому/из дома точное название вакансии: оператор по работе с задолженностью. обязанности: работа 1 на 1 с компьютером в ...
Оператор call-центра (на дому)
, 15000 руб.– Мы - это компания Резиденция - профессионалы рынка недвижимости, помогающие клиентам найти свою квартиру в Кургане. Найти просто, выгодно и безопасно. Нашей миссией является улучшение жизни людей через предоставление исключительных по качеству и сервису ...
– компания "делориан медиа" компания коллмедиа - это продающий колл-центр работающий в формате аутсорсинга, это официальный представитель брендов - производителей, продукция, которых зарекомендовали себя на рынке. наш колл центр успешно работает на рынке ...
– компания "stafflix" работай из дома в комфорте и не трать деньги на дорогу! отлично подходит для тех кому нужна: работа удаленно/на дому/из дома точное название вакансии: консультант банка регионы. обязанности: работа 1 на 1 с компьютером; обработка ...
Оператор колл-центра (удаленно)
, 23000 руб.– компания "voxys" центр коммуникаций voxys – лидер рынка клиентского сервиса россии. 20 лет экспертизы и опыта, крупнейшие компании страны в числе клиентов, топ-50 рейтинга работодателей. чем предстоит заниматься: прием и обработка входящих звонков от ...
– компания "staff-linear" работай из дома в комфорте и не трать деньги на дорогу! отлично подходит для тех кому нужна: работа удаленно/на дому/из дома обязанности: работа 1 на 1 с компьютером; обработка входящих заявок; опыт работы не требуется! работа ...
– компания "staff-linear" работай из дома в комфорте и не трать деньги на дорогу! отлично подходит для тех кому нужна: работа удаленно/на дому/из дома обязанности: работа 1 на 1 с компьютером; обработка входящих заявок; опыт работы не требуется! работа ...
– компания "stafflix" в одну из самых стабильных компаний мира открыт новый набор удалённых сотрудников! мы приглашаем всех желающих на одну из самых перспективных вакансий, которая навела шум в мире фриланса. вакансия, которая подойдёт каждому! точное ...
Оператор call-центра (удалённо)( Делориан Медиа )
, 40000 руб.– компания "делориан медиа" компания коллмедиа - это продающий колл-центр работающий в формате аутсорсинга, это официальный представитель брендов - производителей, продукция, которых зарекомендовали себя на рынке. наш колл центр успешно работает на рынке ...
Оператор call-центра (удаленно)
, 40000 руб.– Компания Коллмедиа - это продающий колл-центр работающий в формате аутсорсинга, это официальный представитель брендов - производителей, продукция, которых зарекомендовали себя на рынке. Наш колл центр успешно работает на рынке более 10 лет. У нас профессиональная ...
– компания "новлайн" компания новлайн с 1994г. специализируется в области производства и поставок оригинальных автокомпонентов национальным автомобильным дистрибьюторам и на автомобильные сборочные предприятия. на протяжении всей истории компании мы тщательно ...
Продавец-консультант, г. Курган
, 35000 руб.– компания "розничная сеть мтс" привет, мы - розничная сеть мтс. мы – часть экосистемы мтс, у нас топовые продукты и услуги, 78 миллионов клиентов! у нас есть всё для успеха, не хватает одного – тебя! откликайся или звони! условия: официальное трудоустройство ...
Продавец-консультант, г. Курган
, 35000 руб.– Привет, мы - Розничная сеть МТС. Мы – часть экосистемы МТС, у нас топовые продукты и услуги, 78 миллионов клиентов! У нас есть всё для успеха, не хватает одного – тебя! Откликайся или звони! Условия: Официальное трудоустройство с первого дня, белая заработная ...
– Компания НОВЛАЙН с 1994г. специализируется в области производства и поставок оригинальных автокомпонентов национальным автомобильным дистрибьюторам и на автомобильные сборочные предприятия. На протяжении всей истории Компании мы тщательно выстраиваем ...
Директор магазина, г. Курган
, 52000 руб.– компания "розничная сеть мтс" мы – розничная сеть мтс. сегодня у нас более 3 400 магазинов мтс в более 800 городах россии. нам доверяют и нас выбирают более 80 миллионов клиентов. наша команда – эксперты нового поколения. что мы предлагаем: фиксированный ...
Директор магазина, г. Курган
, 52000 руб.– Мы – розничная сеть МТС. Сегодня у нас более 3 400 магазинов МТС в более 800 городах России. Нам доверяют и нас выбирают более 80 миллионов клиентов. Наша команда – эксперты нового поколения. Что мы предлагаем: Фиксированный оклад + ежемесячная премия ...
Токарь-универсал
, 110000 руб.– компания "инициатива" приглашаем на работу токарей универсалов, карусельщиков, фрезеровщиков, операторов. что вам предстоит делать: обработка деталей на универсальных станках 1к62, дип 300,500, кж что нужно знать и уметь: наличие опыта работы по данной ...
Ум и мята - авторские обзоры
ТОП-вакансий за последние 24 часа.
Свежие вакансии «оператор по обработке данных» в регионе Курган
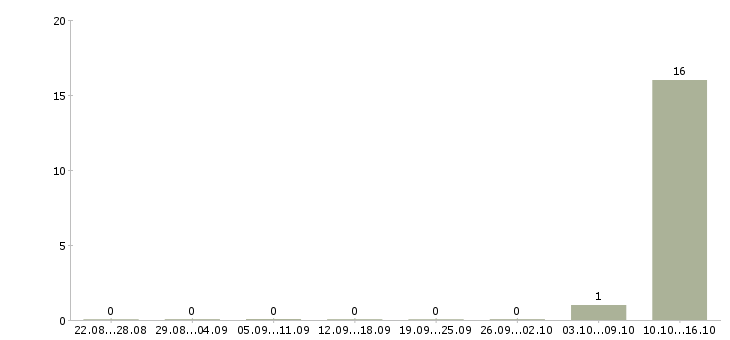
Число вакансий в Кургане по специальности оператор по обработке данных за 2 месяца
Среди других городов области, где востребована специализация оператор по обработке данных, необходимо назвать следующие:
Медиана зарплат оператор по обработке данных в Кургане за 2 месяца
- Большое Кабанье
- Борчаниново
- Батурино
- Верхняя Полевая
- Агапино

Можно встретить другое название этой специализации - оператор по обработке данных. В нашем регионе есть три компании-лидера по найму сотрудников:
- «Тинькофф Банк»;
- «ПромГазЭнерго»;
- «Карьера М»;
Курганская область представляет множество вакантных позиций на должность оператор по обработке данных. В регионе Курган существует большая потребность в специалистах разнообразных профессий. В регионе Курган специализация оператор по обработке данных является очень востребованной, поэтому количество вакансий по всем специализациям в категории достигает 2 позиции. Среднее же значение составляет 20400, что весьма неплохо с учетом среднего по стране. Количество рабочих мест для специалистов «оператор по обработке данных» на сегодняшний момент составляет порядка 27 вакансий. Если заглянуть за рамки региона, то можно обнаружить ещё порядка 6152 вакансии. Минимальная месячная заработная плата (в числовом формате) по официальным данным, в текущем году составила 20000 руб. За месяц страницу с вакансией оператор по обработке данных запрашивали 0 раз. Максимальный уровень заработной платы по указанным вакансиям за месяц зафиксирован на отметке в 25000 руб. К альтернативным специализациям в данной категории вакансий относятся:. Форма занятности может быть: «Полная занятость». Место страницы в общем рейтинге – 0. Эта профессия включена в раздел категории , что значительно облегчает поиск по справочнику. Как ни странно, даже на должность оператор по обработке данных бывает значительная конкуренция. Только в регионе Курган количество востребованных рабочих мест составляет порядка 27 вакансий. По этой специальности саммое популряное значение зарплаты - 20000 руб. Профессия оператор по обработке данных является одной из наиболее востребованных современных специальностей. Медианное значение месячной заработной платы в регионе Курган в текущем году составляет 20000 руб. Курган является перспективным регионом, где многие люди находят место на должность «оператор по обработке данных». В настоящее время особо востребованной специальностью в регионе Курган является «оператор по обработке данных». По всем городам в области насчитывается 0 вакансий. Прочие популярные специализации в регионе Курган:
- «Специалист по продажам банковских продуктов»;
- «Оператор по продажам банковских продуктов на дому»;
- «Оператор по переводам денежных средств».
- Работа вакансии
- Информация
- Найти работу
- Работа в вашем городе