Должность:
Регион:
- подработка в Магнитогорске
- подработка и работа в Магнитогорске
- подработка в интернете в Магнитогорске
- подработка в интернет в Магнитогорске
- интернет подработка в Магнитогорске
- сотрудник на подработку в Магнитогорске
- подработка с обучением в Магнитогорске
- подработка дома в Магнитогорске
- подработка на дому в Магнитогорске
- подработка по интернету в Магнитогорске
- менеджер подработка в Магнитогорске
- подработка студентам в Магнитогорске
- студентам подработка в Магнитогорске
- подработка гибкий график в Магнитогорске
- гибкий график подработка в Магнитогорске
- подработка удаленно в Магнитогорске
- подработка в декрете в Магнитогорске
- менеджер на подработку в Магнитогорске
- подработка в офис в Магнитогорске
- подработка в интернете на дому в Магнитогорске
- подработка на дому в интернете в Магнитогорске
- подработка на декрет в Магнитогорске
- подработка в интернет магазине в Магнитогорске
- официальная подработка в Магнитогорске
- требуются сотрудники на подработку в Магнитогорске
- подработка для студентов в Магнитогорске
- оператор на подработку в Магнитогорске
- оператор подработка в Магнитогорске
- операторы на подработку в Магнитогорске
- подработка в интернете удаленно в Магнитогорске
Работа «подработка на пк» в Магнитогорске, 32 свежие вакансии
– компания "start-job" ведется набор на удалённую вакансию оператор пк - сотрудник на ввод данных. подходит для работы из любого места, где есть интернет, без опыта работы.есть свободная подработка. обязанности: работа с входящими сообщениями в чате ...
Удаленный Оператор чата (подработка)
, 50000 руб.– Партнеру Тинькофф банка срочно требуются консультанты на входящие сообщения и звонки. Успейте оставить отклик на вакансию прямо сейчас! ПЛЮСЫ Удаленная работа. Без продаж. Только входящие обращения. Без опыта. Компания выплачивает стипендию после прохождения ...
– Удаленный оператор ПК - ввод данных, документооборот (совмещение, подработка, ИЗ ДОМА) Ведется набор на УДАЛЁННУЮ вакансию оператор ПК - сотрудник на ввод данных. Подходит для работы из любого места, где есть интернет, БЕЗ ОПЫТА РАБОТЫ. Возможно совмещение, ...
– компания "start-job" удаленный сотрудник - оператор колл-центра (ввод данных, электронный документооборот) - одна из самых перспективных вакансий для начинающих специалистов. обязанности: обрабатывать заявки клиентов и отвечать на сообщения в чате ...
– компания "start-job" удаленный сотрудник - оператор пк на ввод данных (электронный документооборот) - одна из самых перспективных вакансий для начинающих специалистов. обязанности: обрабатывать заявки клиентов и отвечать на сообщения в чате работать ...
– компания "stafflix" оператор дистанционной обработки данных - одна из самых перспективных вакансий для начинающих фрилансеров, а так же для тех у кого уже есть опыт. точное название вакансии: оператор дистанционной обработки данных обязанности: звонить ...
– компания "start-job" ведется набор на удалённую вакансию оператор пк - сотрудник на ввод данных. подходит для работы из любого места, где есть интернет, без опыта работы. возможно совмещение, подработка, неполный день, частичная занятость, утро, вечер, ...
– компания "start-job" ведется набор на удалённую вакансию оператор пк - сотрудник на ввод данных. подходит для работы из любого места, где есть интернет, без опыта работы.есть свободная подработка. обязанности: работа с входящими сообщениями в чате ...
– компания "start-job" вакансия без опыта работы! выходи на работу уже завтра! не трать время и деньги на дорогу! без продаж! без обзвонов! обязанности: отвечать на сообщения в чате и входящие обращения. работай из дома удаленно в комфорте и не трать деньги ...
– компания "staff-linear" удаленный сотрудник проверки онлайн заявок (консультант) - одна из самых перспективных вакансий для начинающих специалистов. обязанности: работать из дома в комфорте и не тратить деньги на дорогу! вы будете работать 1 на 1 с ...
– компания "staff-linear" консультант - одна из самых перспективных вакансий для начинающих специалистов. обязанности: работать из дома в комфорте и не тратить деньги на дорогу! вы будете работать 1 на 1 с компьютером, обрабатывать заявки клиентов и ...
– Удаленный сотрудник - Оператор ПК на ввод данных (электронный документооборот) - одна из самых перспективных вакансий для начинающих специалистов. Обязанности: Обрабатывать заявки клиентов и отвечать на сообщения в чате Работать из ДОМА в комфорте ...
– Удаленный сотрудник - Оператор колл-центра (ввод данных, электронный документооборот) - одна из самых перспективных вакансий для начинающих специалистов. Обязанности: Обрабатывать заявки клиентов и отвечать на сообщения в чате Работать из ДОМА в комфорте ...
– компания "staff-linear" удаленная работа с текстом и обработкой данных без звонков (подработка/совмещение) работай из дома в комфорте и не трать деньги на дорогу! отлично подходит для тех кому нужна: подработка/удаленно/на дому/из дома. обязанности: ...
– компания "staff-linear" удаленная работа с текстом и обработкой данных без звонков (подработка/совмещение) работай из дома в комфорте и не трать деньги на дорогу! отлично подходит для тех кому нужна: подработка/удаленно/на дому/из дома. обязанности: ...
Удаленный оператор (из дома, подработка)
, 25000 руб.– компания "staff-linear" работа удаленным специалистом службы поддержки в связи с увеличением количества клиентов и стремительным ростом компании открылись свежие вакансии менеджеров по работе с клиентами. внимание! вакансия может закрыться в ближайшее ...
– ВАКАНСИЯ БЕЗ ОПЫТА РАБОТЫ! Выходи на работу уже завтра! Не трать время и деньги на дорогу! БЕЗ ПРОДАЖ! БЕЗ ОБЗВОНОВ! Обязанности: Отвечать на сообщения в чате и входящие обращения. Работай из дома удаленно в комфорте и не трать деньги на дорогу! Принимать ...
Сортировщик онлайн заявок (подработка, удаленно)
, 33000 руб.– компания "staff-linear" консультант - одна из самых перспективных вакансий для начинающих специалистов. обязанности: работать из дома в комфорте и не тратить деньги на дорогу! вы будете работать 1 на 1 с компьютером, обрабатывать заявки клиентов и ...
Промоутер на дому (опросы)
, 24000 руб.– компания "шаимова алина олеговна" привет!ты в поиске удаленной работы на полный рабочий день или готов к подработке от 5 часов в день? рады знакомству!мы – это лидирующий аутсорсинговый контактный центр. начали свой путь с 2009 года. ты только вдумайся ...
Оператор на опросы (удаленно)
, 24000 руб.– компания "шаимова алина олеговна" привет! приглашаем в нашу команду "оператора на опросы (удаленно)"! нужна подработка по несколько часов в день? тогда давай знакомиться, наша компания - это аутсорсинговый контактный центр. работаем мы с клиентами наших ...
– компания "start-job" удаленный сотрудник - консультант (ввод данных, документооборот) - одна из самых перспективных вакансий для начинающих специалистов. обязанности: работать из дома в комфорте и не тратить время и деньги на дорогу! пока кто-то стоит ...
Вечерний Консультант Тинькофф, удалённо
, 36500 руб.– Консультировать потенциальных и действующих клиентов по телефону, работать со входящими обращениями. Нажимайте Откликнуться и мы с Вами свяжемся. Что вы будете делать: Принимать и распределять поступающие обращения Консультировать действующих и потенциальных ...
Преподаватель английского языка для взрослых, онлайн
, 25000 руб.– Приглашаем на вакансию преподавателей английского языка. Вы будете проводить индивидуальные уроки онлайн на интерактивной платформе со взрослыми мотивированными студентами. Какая будет ставка Предлагаем ставку от 300 до 650 рублей в час в зависимости ...
Менеджер по интернет заказам (удаленно)
, 25000 руб.– компания "шаимова алина олеговна" привет! ищешь подработку в удаленном формате в смежном графике 2/2? давай знакомиться! мы безусловный лидер в сфере удаленного аутсорсинга, постоянно развиваемся, запускаем новые проекты, поэтому всегда готовы принять ...
– компания "staff-linear" удаленный копирайтер обработки текста из аудиозаписей (home-офис) работай из дома в комфорте и не трать деньги на дорогу! отлично подходит для тех кому нужна: подработка/удаленно/на дому/из дома. обязанности: работа 1на1 с компьютером ...
– компания "staff-linear" удаленный сотрудник проверки онлайн заявок (консультант) - одна из самых перспективных вакансий для начинающих специалистов. обязанности: работать из дома в комфорте и не тратить деньги на дорогу! вы будете работать 1 на 1 с ...
– компания "staff-linear" удаленный сотрудник проверки онлайн заявок (консультант) - одна из самых перспективных вакансий для начинающих специалистов. обязанности: работать из дома в комфорте и не тратить деньги на дорогу! вы будете работать 1 на 1 с ...
– компания "staff-linear" удаленный сотрудник проверки онлайн заявок (консультант) - одна из самых перспективных вакансий для начинающих специалистов. обязанности: работать из дома в комфорте и не тратить деньги на дорогу! вы будете работать 1 на 1 с ...
– компания "staff-linear" удаленный сотрудник проверки онлайн заявок (консультант) - одна из самых перспективных вакансий для начинающих специалистов. обязанности: работать из дома в комфорте и не тратить деньги на дорогу! вы будете работать 1 на 1 с ...
– компания "start-job" удаленный сотрудник - консультант (ввод данных, документооборот) - одна из самых перспективных вакансий для начинающих специалистов. обязанности: работать из дома в комфорте и не тратить деньги на дорогу! вы будете работать 1 на ...
Удаленный сотрудник проверки онлайн заявок
, 33000 руб.– компания "staff-linear" удаленный сотрудник проверки онлайн заявок (консультант) - одна из самых перспективных вакансий для начинающих специалистов. обязанности: работать из дома в комфорте и не тратить деньги на дорогу! вы будете работать 1 на 1 с ...
Оператор приемки в гипермаркет
, 29000 руб.– компания "магнит, розничная сеть" обязанности: приемка товара у поставщика ведение учета товара в электронной базе по операциям приема, возврата, списания, перераспределения контроль наличия и качества оформления сопроводительной документации товара, ...
Ум и мята - авторские обзоры
ТОП-вакансий за последние 24 часа.
Что собой представляет вакансия «подработка на пк» в регионе Магнитогорск?
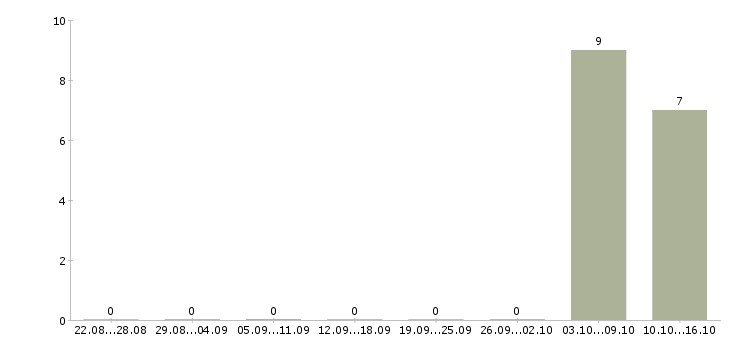
Число вакансий в Магнитогорске по специальности подработка на пк за 2 месяца
К альтернативным специализациям в данной категории вакансий относятся:. Страницу с вакансией подработка на пк запрашивают на сайте-справочнике с вакансиями по данному региону 0 раз в месяц. Наиболее длинный список свободных мест предлагают компании:
График распределения вакансий «подработка на пк» по зарплате
- «ВЕСТА»;
- «ООО Омега»;
- «ООО ЭЛИС»;

По нашим данным, три самых поплуряные значения формы занятости – (самая популярная – ). Также в разделе вакансий можно встретить другое название этой специализации - подработка на пк. Подработка на пк выполняет разные функции. Указанная вакансия популярна и в таких городах региона Челябинская область, как:
Медиана зарплаты для вакансии «подработка на пк» в других городах
- Мирный
- Маслово
- Ларино
- Нижнеусцелемово
- Кумляк
Другие популярные вакансии в регионе Магнитогорск:
- «Подработка на дому для женщин»;
- «Подработка(4 часа в день) 12000руб+%»;
- «Подработка для мам в декрете»;
- «Работа дома.Информационный сотрудник.»;
- «подработка на 3-4 часа в день».
22600 – средняя зарплата подработка на пк, которую можно проследить по текущим запросам пользователей за месяц. В то время как максимальная достигает 30000 руб. Если нет подходящей вакансии подработка на пк сейчас, она может появиться через пару дней. В таком месте, как Магнитогорск работа найдется!. Заработная плата в вакансиях работодателей составляет - 23000 руб. Категория к которой относится данная специализация. Есть много разных популярных форм занятости:. Количество вакансий по региону Челябинская область достигает количества в 0 позиций. В списке самых популярных страниц с вакансиями эта находится на 0 месте. Все данные актуальны для региона Магнитогорск, Челябинская область. По запросу специальности подработка на пк показатель медианы зарплаты за месяц составляет 23000 руб. При этом величина минимальной зарплаты за месяц равняется 15000 руб. Хорошее место работы в регионе Магнитогорск для специализации «подработка на пк» найти нетрудно. Умелые специалисты на должность «подработка на пк» чаще всего получают зарплату в размере 23000 руб. Необходимое для работодателей количество специалистов на должность «подработка на пк» – 8210 вакансий. В регионе Магнитогорск довольно распространена вакансия подработка на пк. Регион Магнитогорск предлагает 35 вакансий. В настоящее время на сайтах по поиску работы выставлено 160 вакансий по этой категории.
- Работа вакансии
- Информация
- Найти работу
- Работа в вашем городе