Должность:
Регион:
- менеджер по работе с клиентами в Нижнем Новгороде
- менеджер работе с клиентами в Нижнем Новгороде
- менеджер по работе с клиентам в Нижнем Новгороде
- менеджера по работе с клиентами в Нижнем Новгороде
- менеджер по работе с клиентом в Нижнем Новгороде
- менеджеры по работе с клиентами в Нижнем Новгороде
- сотрудник по работе с клиентами в Нижнем Новгороде
- сотрудники по работе с клиентами в Нижнем Новгороде
- менеджер по работе с договорами в Нижнем Новгороде
- менеджер для работы с клиентами в Нижнем Новгороде
- специалист по работе с клиентами в Нижнем Новгороде
- специалисты по работе с клиентами в Нижнем Новгороде
- специалист по работе с клиентом в Нижнем Новгороде
- менеджер по работе с сотрудниками в Нижнем Новгороде
- сотрудник для работы с клиентами в Нижнем Новгороде
- менеджер по работе с интернетом в Нижнем Новгороде
- менеджер по работе с организациями в Нижнем Новгороде
- сотрудник для работы с договорами в Нижнем Новгороде
- консультант по работе с клиентами в Нижнем Новгороде
- специалист по работе с договорами в Нижнем Новгороде
- оператор по работе с клиентами в Нижнем Новгороде
- менеджер по работе с заказами в Нижнем Новгороде
- сотрудник по работе с документацией в Нижнем Новгороде
- менеджер по работе с документацией в Нижнем Новгороде
- менеджер по работе с документами в Нижнем Новгороде
- менеджер по работе с кандидатами в Нижнем Новгороде
- менеджер по работе с проектами в Нижнем Новгороде
- менеджер по работе с сетями в Нижнем Новгороде
- специалист по работе с информацией в Нижнем Новгороде
- представитель по работе с клиентами в Нижнем Новгороде
- требуется менеджер работе с клиентами в Нижнем Новгороде
Работа «риелтор по работе с недвижимостью» в Нижнем Новгороде, 27 свежих вакансий
– Агент по недвижимости Требуемый опыт работы: не требуется Удаленная работа Обязанности: Организовывать и сопровождать сделки с недвижимостью Вести базу клиентов в CRM Работать как с входящим, так и с исходящим потоком клиентов Требования к кандидатам: ...
– компания "вск, сао" обязанности: сопровождение договоров ипотечного страхования; расторжение договоров; консультирование клиентов; отработка заявок от партнеров (банки, агентства недвижимости, риелторы и др.); осуществление "тёплых" звонков; ведение ...
Специалист по работе с риелторами( Метр Квадратный )
, 35000 руб.– компания "метр квадратный" чем предстоит заниматься: осуществлять исходящие звонки риелторам, которые прошли регистрацию в нашей экосистеме, и выстраивать долгосрочные отношения с ними; осуществлять продажи коробочных продуктов риелторам; консультировать ...
– компания "группа компаний srg" приветствую вас, наш дорогой соискатель! наша компания – одна из ведущих консалтинговых групп россии, мы 20 лет на рынке недвижимости. наши партнеры - банки и крупнейшие застройщики страны. мы помогаем реализовывать залоговые ...
– Приветствую Вас, наш дорогой Соискатель! Наша компания – одна из ведущих консалтинговых групп России, мы 20 лет на рынке недвижимости. Наши партнеры - банки и крупнейшие застройщики страны. Мы помогаем реализовывать залоговые объекты банка, а также ведем ...
Агент по недвижимости
, 20000 руб.– Рынок недвижимости – одна из самых активных сфер жизни населения, он никогда не стоит на месте.Люди используют материнские капиталы, увеличивают квадратные метры жилья, переезжают в другой город, покупают дома и дачи, вступают в права наследства, открывают ...
Менеджер по продажам жилой недвижимости
, 80000 руб.– компания "владис, агентство недвижимости" владис это лидер на рынке недвижимости уже 15 летсегодня мы приглашаем вас присоединиться к нам и освоить для себя новую профессию: менеджер по продажам жилой недвижимости . мы готовы научить вас всему, что ...
Начальник отдела по развитию партнерского канала продаж
, 100000 руб.– компания "россельхозбанк" основные требования к кандидатам: высшее образование, опыт работы в банках более 1 года; опыт продаж ипотечных кредитных продуктов, опыт активных личных продаж; хорошо поставленная, грамотная устная и письменная речь; активность, ...
Юрист
, 35000 руб.– ЭТАЖИ - это мировой холдинг в сфере недвижимости, уже 23 год привлекающий клиентов надёжной репутацией и высокими стандартами качества. ЭТАЖИ - ЛИДЕР РЫНКА НЕДВИЖИМОСТИ РОССИИ * ТОП 100 лучших работодателей России ** 200+ филиалов по России и за рубежом ...
Ипотечный брокер
, 50000 руб.– Компания Этажи - это стабильность, надёжность, перспектива.На рынке недвижимости компания существует более 20 лет, за это время заняла статус лидера в масштабе страны, укрепила свои позиции за рубежом (9 стран присутствия).В данный период времени Нижегородский ...
Риелтор (недвижимость) (удаленная работа)
, 100000 руб– Обязанности: -Переговоры с потенциальными клиентами. -Выезд на объекты. -Работа с базой данных. -Полное сопровождение сделки купли-продажи. -Активный поиск объектов и клиентов. -Подбор объектов недвижимости по требованиям клиентов. -Показ объектов, консультации ...
Риэлтор (удаленная работа)
, 100000 руб– Агенто топ - занимается предложениями жилой недвижимости в новостройках Москвы. Мы ценим сложившуюся хорошую репутацию на рынке и мы выстраиваем дружественные отношения с клиентами. Доход агента по недвижимости резко увеличивается с опытом и часами ...
Менеджер по сопровождению клиентов
, 60000 руб.– компания "владис, агентство недвижимости" владис приглашает вас на позицию менеджер по сопровождению клиентов . мы готовы научить вас всему, что знаем сами!опытный бизнес-тренер проводит занятия по подготовке с помощью новейших технологий, практические ...
Агент по недвижимости
, 40000 руб.– компания "владис, агентство недвижимости" владис — войди в команду профессионалов!работа риэлтором – современная, стабильная, востребованная и, конечно, высокооплачиваемая. если вы ищете вакансию риелтора в нижнем новгороде, при этом готовы расти, развиваться ...
Менеджер по работе с клиентами (с обучением)
, 70000 руб.– Владис - лучшая брокерская компания на рынке продажи жилья России*, лучшая брокерская компания на рынке загородной недвижимости России **, лучшая региональная компания на рынке первичного жилья*** приглашает Вас на позицию Специалист по недвижимости ...
Менеджер по аренде коммерческой недвижимости
, 25000 руб.– Обязанности:заключение договоров, работа с дебиторской задолженностью, выполнение обязанностей офис-менеджера, архивирование документовТребования:ответственность,исполнительность, внимательность, аккуратность уверенный пользователь Пк знание 1С Условия:пятидневная ...
Менеджер по продажам (с обучением)
, 55000 руб.– Владис - лучшая брокерская компания на рынке продажи жилья России*, лучшая брокерская компания на рынке загородной недвижимости России **, лучшая региональная компания на рынке первичного жилья*** приглашает Вас на позицию Менеджер по продаже недвижимости ...
– Да, система оплаты риэлторов сдельная! И это шанс для Вас тех кто хочет реально заработать! Здесь нет потолка и ты можешь заработать денег столько, сколько хочешь! Мы никого не ограничиваем в доходах, скажем больше, мы стараемся сделать все, чтобы ваши ...
– Да, система оплаты риэлторов сдельная! И это шанс для Вас тех кто хочет реально заработать! Здесь нет потолка и ты можешь заработать денег столько, сколько хочешь! Мы никого не ограничиваем в доходах, скажем больше, мы стараемся сделать все, чтобы ваши ...
Агент по аренде недвижимости
, 35000 руб.– Работа по совмещению, с гибким графиком, на "удаленке" или на полную занятость со свободным графиком- выбор за вами. Сейчас мы набираем группу обучения новичков в отдел аренды жилой недвижимости. Ваши шаги:1. Вы звоните нам 2. Вы проходите курс обучения3 ...
Руководитель отдела аренды жилой недвижимости
, 50000 руб.– Требуется руководитель отдела аренды жилой недвижимости. Опыт работы в сфере недвижимости обязателен Обязанности:Организация работы отдела стажеров Мотивация и обучение стажеров Постановка задач и контроль за их выполнением Непосредственное проведение ...
Агент по продаже недвижимости/ риэлтор (стажер)
, 150000 руб.– День добрый всем соискателям!!! Наша вакансия для тех, кто: Хочет достойно зарабатывать! Жаждет самореализации! Ищет себя и не может найти! Сейчас мы набираем новый состав и принимаем соискателей исключительно без опыта работы в недвижимости! И это ...
Агент по продаже недвижимости (Стажер)
, 50000 руб.– Сейчас мы набираем новый состав и принимаем соискателей исключительно без опыта работы в недвижимости! И это есть преимущество! Потому как Вы будете начинать работать среди коллег с одинаковым уровнем знаний, одинаковыми стремлениями и задачами и совместными ...
Риелтор (с опытом работы)
, 90000 руб.– Владис - лучшая брокерская компания на рынке продажи жилья России*, лучшая брокерская компания на рынке загородной недвижимости России **, лучшая региональная компания на рынке первичного жилья*** приглашает Опытных риелторов в свою команду.Вы провели ...
Риелтор (с обучением)
, 75000 руб.– Владис - лучшая брокерская компания на рынке продажи жилья России*, лучшая брокерская компания на рынке загородной недвижимости России **, лучшая региональная компания на рынке первичного жилья*** приглашает Вас на позицию Риелтор (с обучением).Мы ...
Специалист по недвижимости (с обучением)
, 50000 руб.– Владис - лучшая брокерская компания на рынке продажи жилья России*, лучшая брокерская компания на рынке загородной недвижимости России **, лучшая региональная компания на рынке первичного жилья*** приглашает Вас на позицию Начинающий специалист по ...
Агент по недвижимости/риелтор
, 60000 руб.– Описание работодателя: Работа Риэлтором - это прекрасная возможность планировать свое время и доходы, обзавестись массой новых знакомых и ощутить свою значимость. Если Вам не нравится работать с 9 до 18 и получать 15 тысяч рублей - скорее звони нам!Агентство ...
Ум и мята - авторские обзоры
ТОП-вакансий за последние 24 часа.
Что собой представляет вакансия «риелтор по работе с недвижимостью» в регионе Нижний Новгород?
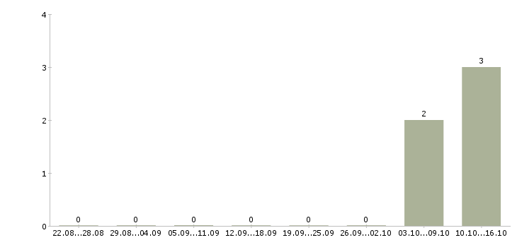
Число вакансий Нижний новгород по специальности риелтор по работе с недвижимостью за 2 месяца
Данная специализация может иметь и другие направления:. Помимо вакансии «риелтор по работе с недвижимостью» в регионе Нижний Новгород востребованы специалисты на должности:
Медиана зарплат риелтор по работе с недвижимостью Нижний новгород за 2 месяца
- «Директор филиала»;
- «Региональный представитель»;
- «Специалист по продаже загородной недвижимости (агент, риелтор)».

Средний уровень дохода по специальности - 51500. Количество вакансий для всех частей региона Нижегородская область остановилось на цифре 1. Минимальная оплата по данной вакансии в месяц составляет 20000 руб. По всем регионам количество вакансий составляет 2885 мест. Можно встретить другое название этой специализации - риелтор по работе с недвижимостью. По запросу специальности риелтор по работе с недвижимостью показатель медианы зарплаты за месяц составляет 60000 руб. Работу для такого человека, как риелтор по работе с недвижимостью, можно найти даже в таком месте, как Нижний Новгород. Регион Нижний Новгород предлагает 15 вакансий. Поиск работы и самые актуальные вакансии: Нижний Новгород. Как правило, заработная плата сотрудников по вакансиям составляет 60000 руб. Дання специализация относится к категории . ТОП популярных форм занятости - «Полная занятость», «свободный график», «полная». Наиболее длинный список свободных мест предлагают компании:
- «ИНКОМ Недвижимость»;
- «ООО АЗН Подмосковные вечера»;
- «Компания ZAN (ООО Загородное агентство)»;
За месяц страницу с вакансией риелтор по работе с недвижимостью запрашивали 0 раз. Самой популярной формой занятости является Полная занятость, по ней можно найти 4 вакансии. Риелтор по работе с недвижимостью является полным названием этой специализации по справочнику вакансий данного региона. Среди других городов области, где востребована специализация риелтор по работе с недвижимостью, необходимо назвать следующие:
- Бор
- Большое Пикино
- Большеорловский
- Холязино
- Советский
Данные по заданой категории брались по региону Нижегородская область. Запрос в поисковике по этой вакансии находится на 0-м месте по отношению к общему рейтингу всех специальностей. Нижний Новгород является перспективным регионом, где многие люди находят место на должность «риелтор по работе с недвижимостью». В настоящее время особо востребованной специальностью в регионе Нижний Новгород является «риелтор по работе с недвижимостью». Максимальный заработок, которого можно достичь на данной вакансии составляет 60000 руб. Общее количество вакансий в данной категории равняется 23 позициим.
- Работа вакансии
- Информация
- Найти работу
- Работа в вашем городе