Должность:
Регион:
- менеджер по работе с договорами в Ногинске
- менеджер на договора в Ногинске
- менеджер по оформлению договоров в Ногинске
- сотрудник для работы с договорами в Ногинске
- специалист по договорам в Ногинске
- менеджеры в Ногинске
- менеджера в Ногинске
- менеджер по оформлению в Ногинске
- менеджер компании в Ногинске
- менеджер в компанию в Ногинске
- менеджер по открытию в Ногинске
- менеджер и помощник директора в Ногинске
- менеджер экспедитор в Ногинске
- торговый менеджер в Ногинске
- открыта вакансия менеджера в Ногинске
- открыта вакансия менеджера по персоналу в Ногинске
- открыта вакансия менеджер по персоналу в Ногинске
Работа «менеджер по договорам» в Ногинске, 116 свежих вакансий
– Загородный Конгресс-Отель Ареал 4* приглашает на работу Менеджер по корпоративным продажам (деловые мероприятия, event)! Мы предлагаем: Работу в динамичной активно развивающейся компании; Оформление по ТК РФ в штат с первого дня работы; Полный соц. пакет ...
Менеджер по продаже потребительских кредитов
, 40000 руб.– Хотите работать дистанционно в крупном банке? Присоединяйтесь к команде Тинькофф!Мы расширяем программу потребительского кредитования и ищем специалистов дистанционных продаж.Мы предлагаем Среднемесячный доход в течение первых трех месяцев - от 30 000 ...
Менеджер по закупкам и снабжению
, 50000 руб.– компания "пк агромаш" обязанности: своевременная закупка комплектующих. знание программ умение составлять маршруты требования: высшее образование. опыт работы в данной сфере от 2 лет . умение вести переговоры.оптовые закупки . заключение договоров ...
Менеджер по закупкам и снабжению
, 50000 руб.– Обязанности: Своевременная закупка комплектующих. Знание программ умение составлять маршруты Требования: Высшее образование. Опыт работы в данной сфере от 2 лет . Умение вести переговоры.оптовые закупки . Заключение договоров . Условия: Рабочий день ...
Менеджер по продажам( Альтаир Диджитал )
, 72000 руб.– компания "альтаир диджитал" работа мечты! первая в мире виртуальная энциклопедия открыла свое представительство на территории богородского округа в апреле 2022 года. в связи с активным ростом и расширением в свою команду мы радушно примем нового друга ...
– компания "таврида электрик" обязанности: 1. планирование ежемесячной производственной программы. расчет планов запусков полуфабрикатов, готовой продукции.2. прием заказов. контроль выполнения заказов. 3. ведение и актуализация номенклатуры производства, ...
Менеджер по продажам
, 60000 руб.– Обязанности: активный поиск клиентов- звонки клиентам по существующей базе- выезд на встречи (МО)- сметный расчет заказа- подготовка коммерческих предложений и заключение договоров- закрытие документов Требования: опыт работы в сфере продаж -навыки ...
– компания "airswift" консалтинговая компания "swift technical" занимается подбором и предоставлением квалифицированного персонала для крупных интернациональных и национальных предприятий различных отраслей промышленности (производство, энергетика, химия, ...
– компания "мартин" компания мартин более 20 лет занимается производством и доставкой высококачественных продуктов питания по россии, странам снг. флагманским продуктом компании мартин являются самые лучшие отборные семечки, хорошо известные не только ...
Территориальный менеджер по продажам
, 80000 руб.– МЫ - ХЛЕБ НА РАДОСТЬ Мы создаём вкуснейшие круассаны и выпекаем натуральные, премиум хлеба! В СВЯЗИ С АКТИВНЫМ РАЗВИТИЕМ ИЩЕМ К НАМ В КОМАНДУ МЕНЕДЖЕРА ОТДЕЛА ПРОДАЖ Обязанности: Развитие направления HoReCa на территории Москвы и Московской области; Управление ...
– компания "русклимат" тпх "русклимат" – компания с историей успеха в 26 лет, ведущий производитель и дистрибьютор климатического, отопительного и вентиляционного оборудования. мы сегодня: команда единомышленников численностью более 5000 человек; номенклатура ...
Менеджер по продаже потребительских кредитов
, 40000 руб.– компания "тинькофф" хотите работать дистанционно в крупном банке? присоединяйтесь к команде тинькофф!мы расширяем программу потребительского кредитования и ищем специалистов дистанционных продаж.мы предлагаем среднемесячный доход в течение первых трех ...
Менеджер по продажам
, 45000 руб.– компания "нпо криомаш" условия : заработная плата от 55 000 рублей+ бонусы и премии по итогам работы, график работы: 5/2, с 8.00 до 17.00 часов, с перерывом на обед. место работы: г. электроугли, деревня белая, дом 8 (5 минут на автобусе от ж/д станции) ...
Менеджер по корпоративным продажам автомобилей
, 100000 руб.– компания "нижегородец" функционал должности: • обеспечение продаж автомобилей корпоративным клиентам;• поддержка и расширение базы данных корпоративных клиентов компании;• выстраивание долгосрочных отношений с ключевыми клиентами компании;• изучение и ...
– компания "аст-интернэшнл инваэронмэнт" ast - это команда! люди, которые строят историю компании каждый день. благодаря которым, наш уровень доверия на рынке остается стабильным вот уже более 30 лет. обязанности: развитие и поддержание долгосрочных взаимовыгодных ...
– ТПХ "РУСКЛИМАТ" – Компания с историей успеха в 26 лет, ведущий производитель и дистрибьютор климатического, отопительного и вентиляционного оборудования. МЫ СЕГОДНЯ: команда единомышленников численностью более 5000 человек; номенклатура продукции свыше ...
Менеджер по продажам
, 50000 руб.– Обязанности: - Активный поиск новых клиентов, расширение клиентской базы, холодный поиск - Поддержание и развитие имеющейся и наработанной базы, работа с поступающими заявками - Работа на территории - Заключение договоров, подготовка коммерческих предложений, ...
Менеджер по B2B-продажам в Заправки
, 30000 руб.– С помощью Яндекс Заправок можно быстро оплачивать топливо прямо в приложении. Водителю не придётся стоять в очереди на кассе — а значит, выходить на улицу в непогоду или будить детей, чтобы не оставлять их в машине. Ищем обаятельного специалиста, который ...
Менеджер по оптовым продажам
, 70000 руб.– компания "манлайн" обязанности:• поиск клиентов (холодные, тёплые, горячие продажи)• ведение переговоров с клиентами• работа в crm - системе• выполнение личного плана продаж• поддерживать отношения с клиентами и продлевать договоры• ведение клиента на ...
Менеджер по работе с клиентами (удаленно)
, 60000 руб.– компания "скб контур" экосистема продуктов для бизнеса контур помогает клиентам тратить меньше времени на рутину, делает общение с госорганами проще и прозрачнее. с 1988 года мы делаем сервисы как для себя — со вниманием к деталям, поэтому решениями контура ...
– компания "вило рус" обязанности: организация и проведение тендеров по товарным группам: электронные компоненты; кабельная продукция; моторы согласование условий договора, цен, прайс-листов, каталогов переговоры с действующими поставщиками по снижению ...
Менеджер по продажам услуг бизнесу
, 60000 руб.– компания "тинькофф" тинькофф — первый российский онлайн-банк и надежная финансовая экосистема для 25 миллионов клиентов. работать с нашими клиентами также просто и удобно, как пользоваться нашими продуктами.мы набираем команду специалистов телефонных ...
Менеджер по продажам( Тинькофф )
, 60000 руб.– компания "тинькофф" тинькофф — первый российский онлайн-банк и надежная финансовая экосистема для 25 миллионов клиентов. в нашей команде 35 тысяч профессионалов, которые помогают людям получать максимальную выгоду от продуктов тинькофф, развивать бизнес ...
– компания "русклимат" тпх "русклимат" – компания с историей успеха в 26 лет, ведущий производитель и дистрибьютор климатического, отопительного и вентиляционного оборудования. мы сегодня: команда единомышленников численностью более 5000 человек; номенклатура ...
Менеджер по работе с клиентами( САВВА )
, 40000 руб.– компания "савва" обязанности: поиск новых клиентов холодные звонки обработка входящих запросов клиентов проведение встреч и переговоров с потенциальными клиентами заключение договоров, ведение документации, сопровождение клиента на всех этапах привлечение ...
– компания "форма & стиль" мо, ногинский р-н, рп. обухово, ул. владимирская, д.3, стр.3 обязанности: осуществление продаж плитных материалов и мебельной фурнитуры; работа с клиентами: переговоры, презентация продукции, выявление потребностей клиента, аргументированное ...
– компания "форма & стиль" обязанности: осуществление продаж мебельной фурнитуры; работа с клиентами: переговоры, презентация продукции, выявление потребностей клиента, аргументированное убеждение клиента, работа с возражениями; всесторонняя помощь и поддержка ...
Менеджер по продажам
, 60000 руб.– Тинькофф — первый российский онлайн-банк и надежная финансовая экосистема для 25 миллионов клиентов. В нашей команде 35 тысяч профессионалов, которые помогают людям получать максимальную выгоду от продуктов Тинькофф, развивать бизнес и инвестировать в ...
Менеджер по продажам бизнесу
, 60000 руб.– Тинькофф — первый российский онлайн-банк и надежная финансовая экосистема для 25 миллионов клиентов. В нашей команде 35 тысяч профессионалов, которые помогают людям получать максимальную выгоду от продуктов Тинькофф, развивать бизнес и инвестировать в ...
– компания "верис проект" обязанности: продажа услуги по металлообработке привлечение новых клиентов поиск каналов продаж и рынков сбыта расширение имеющейся клиентской базы ведение переговоров, заключение договоров контроль сопровождения сделки до отгрузки ...
– компания "конгресс-отель ареал" загородный конгресс-отель ареал 4* приглашает в команду на должность менеджер по корпоративным продажам (деловые мероприятия, event). наши преимущества: работа в развивающейся компании со стабильной оплатой труда и возможностью ...
Старший менеджер по персоналу
, 70000 руб.– компания "конгресс-отель ареал" загородный конгресс-отель ареал 4* приглашает в команду! мы предлагаем: работу в динамичной активно развивающейся компании; оформление по тк рф в штат с первого дня работы; полный соц. пакет (оплачиваемые отпуска, больничные, ...
Менеджер по продажам медицинского оборудования
, 100000 руб.– Обязанности: Активные продажи реабилитационного и другого сопутствующего оборудования в учреждения медицины, реабилитации, учреждения временного или постоянного содержания пациентов и пожилых людей, учреждения санаторно-курортного типа - самостоятельный ...
– компания "чижик" обязанности: руководство структурным подразделением; организация и контроль работы отдела документооборота; контроль проведения на рц возвратов и их происхождение; своевременное выявление некорректно закрытых поставок на рц; внесение ...
Менеджер по развитию продаж( Каскада-М )
, 80000 руб.– компания "каскада-м" обязанности: продажа мебели для ванных комнат в секторе b2b (разъездной характер работы); ведение переговоров на всех уровнях, принятие решений и поиск новых клиентов; выполнение плана продаж; отслеживание дебиторской задолженности; ...
Менеджер по персоналу( ESTIMA CERAMICA )
, 63000 руб.– компания "estima ceramica" обязанности: формирование пакета документов для приёма, кадрового перевода сотрудников, увольнения; оформление приказов, личных дел, личных карточек, трудовых договоров, дополнительных соглашений, договоров о материальной ...
Менеджер по продажам( Рокайль )
, 50000 руб.– компания "рокайль" обязанности: - активный поиск новых клиентов, расширение клиентской базы, холодный поиск - поддержание и развитие имеющейся и наработанной базы, работа с поступающими заявками - работа на территории - заключение договоров, подготовка ...
– компания "верный, сеть магазинов" в связи с расширением открыт конкурс на позицию "специалист по поиску объектов". хочешь научиться чему-то новому и хорошо зарабатывать ? всему научим и покажем ! прояви себя в крупной компании ! территориально: кластер ...
Менеджер по развитию продаж
, 80000 руб.– Обязанности: продажа мебели для ванных комнат в секторе b2b (разъездной характер работы); ведение переговоров на всех уровнях, принятие решений и поиск новых клиентов; выполнение плана продаж; отслеживание дебиторской задолженности; сопровождение покупок/сделок, ...
Менеджер по работе с клиентами( Богородский пряник )
, 45000 руб.– компания "богородский пряник" в компанию "богородский пряник" требуется менеджер по привлечению новых клиентов. чем предстоит заниматься:• выполнение плана продаж: работа по поиску и привлечению новых клиентов, работа с текущими клиентами;• ведение рабочей ...
Менеджер по продажам и работе с клиентами
, 65000 руб.– компания "ооо пульсан" открываем новый офис по адресу: обухово, балобаново, богородский городской округ, московская область, гражданская улица, 47 компания "пульсан" на рынке дополнительного оборудования 8 лет. находимся в г. балашиха ( 3км от мкад). ...
Менеджер по продажам( ДОНКОР )
, 60000 руб.– компания "донкор" основные задачи: поиск и привлечение новых клиентов, выстраивание долгосрочных партнёрских отношений; наработка и развитие собственной клиентской базы; работа с холодными звонками и обработка входящих заявок; консультирование клиентов ...
– компания "ульянов виталий иванович" обязанности: входящие звонки ведение базы в битрикс 24 заключение договоров контроль сделок и оплаты требования: опыт работы в продажах желателен опыт в строительных работах и систем очистных сооружений(септики) ...
Менеджер по продажам( НТПЗ )
, 60000 руб.– компания "нтпз" ногинский трубопрофильный завод (нтпз) - трубопрокатный завод, основан в 2015 г. оснащен новейшим немецким и итальянским оборудованием, которое позволяет производить свыше 6000 различных типоразмеров труб из различных марок стали, основные ...
Менеджер по продажам( НСЗ )
, 60000 руб.– компания "нсз" обязанности: активный поиск клиентов- звонки клиентам по существующей базе- выезд на встречи (мо)- сметный расчет заказа- подготовка коммерческих предложений и заключение договоров- закрытие документов требования: опыт работы в сфере ...
Менеджер по продажам( ГЛОБАЛТРАК МЕНЕДЖМЕНТ )
, 70000 руб.– компания "глобалтрак менеджмент" globaltruck - один из крупнейших автомобильных грузовых перевозчиков в россии.компания продолжает расти и, в связи с развитием направления экспресс-перевозки, мы приглашаем активных и целеустремленных сотрудников на должность ...
Старший менеджер по персоналу
, 115000 руб.– компания "энергокабель, завод" место работы г. электроугли ногинского района (10 мин пешком от ж/д станции). обязанности: 1. активный поиск и подбор кандидатов на имеющиеся вакансии, оценка деловых и личностных качеств соискателей. 2. размещение вакансий ...
– компания "peri" в команду заинтересованных профессионалов ищем коллегу – эксперта в кдп и трудовом законодательстве. мы ожидаем, что вы: отлично владеете 1c (а в идеале имеете опыт автоматизации) знаете тк от и до и умеете применять закон на деле хотите ...
Менеджер по работе с клиентами
, 45000 руб.– компания "росденьги" росденьги -это динамично развивающаяся федеральная микрофинансовая компания. наша компания растет высокими темпами и сейчас нам необходим менеджер по работе с клиентами! готовы рассматривать кандидатов без опыта работы! готовы обучать ...
Менеджер по работе с клиентами (без поиска)
, 80000 руб.– компания "возрождение" уважаемый соискатель!предлагаем тебе рассмотреть интересную вакансию, а именноменеджер по работе с клиентами. обрати внимание, что, мы ищем менеджера без поиска клиентов и предоставляем бесплатное обучение. это вакансия для тех, ...
Ум и мята - авторские обзоры
ТОП-вакансий за последние 24 часа.
Сколько вакансий в «менеджер по договорам» есть в городе Ногинск?
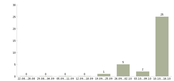
Число вакансий в Ногинске по специальности менеджер по договорам за 2 месяца
По все стране насчитывается 46807 вакансий «менеджер по договорам». Наиболее популярными работодателями на территории РФ являются компании:
График распределения вакансий «менеджер по договорам» по зарплате
- «METRO Cash & Carry»;
- «Тинькофф Банк»;
- «Магнит»;

Ежемесячное количество вакансий по самой популярной форме занятости – 4 вакансии. Работодатели в регионе Ногинск испытывают нехватку специалистов:
Медиана зарплаты для вакансии «менеджер по договорам» в других городах
- «Менеджер по привлечению клиентов малого и среднего бизнеса (Удаленная работа)»;
- «Менеджер по продажам»;
- «Менеджер по привлечению корпоративных клиентов»;
- «Рабочий производства»;
- «Менеджер по работе с клиентами».
Количество вакансий для всех частей региона Московская область остановилось на цифре 2. Можно встретить много предложений по направлениям в таких городах региона, как:
- Запрудня
- Ермолино
- Дубна
- Квашенки
- Вербилки
В данной категории открыто и множество вакансий по смежным специализациям, таким как:. Синоним данной специализации менеджер по договорам. «Менеджер по договорам» – популярная специализация не только по региону Ногинск, но и по всей России. Регион Ногинск изобилует вакансиями «менеджер по договорам». Категория к которой относится данная специализация. Всего в регионе Ногинск для данной профессии на сегодняшний момент имеется 19 вакансий. Иследования проводились по региону Московская область. Общий поисковый рейтинг запрашиваемой страницы с указанной вакансией – это 0 мест в списке рабочих мест по региону Ногинск. 42400 – средняя зарплата менеджер по договорам, которую можно проследить по текущим запросам пользователей за месяц. По этой специальности саммое популряное значение зарплаты - 35000 руб. О высокой востребованности данной специальностей говорит большое количество запросов на сайте за месяц - 0. Если провести медиану заработной платы за месяц по указанным специализациям, то выйдет число в 35000 руб. Работа по специализаци менеджер по договорам в России. Минимум заработка по текущему запросу зафиксирован на показателе в 25000 руб. По вакансиям в категории требуется 23 человек. Максимальный уровень заработной платы по указанным вакансиям за месяц зафиксирован на отметке в 80000 руб. Список доступных вакансий: Ногинск. Ногинск – вполне нормальное место, чтобы зарабатывать, даже на должности менеджер по договорам. Наиболее популярной считается форма занятости - Полная занятость, а количество предложений по этой форме - 4 вакансии.
- Работа вакансии
- Информация
- Найти работу
- Работа в вашем городе