Должность:
Регион:
- оператор по приему заказов в Пскове
- специалист по приему заказов в Пскове
- сотрудник на прием заказов в Пскове
- сотрудник по приему заказов в Пскове
- менеджер на прием заказов в Пскове
- менеджер по приему заказов в Пскове
- менеджеры по приему заказов в Пскове
- диспетчер по приему заказов в Пскове
- оператор на заказы в Пскове
- оператор на прием звонков в Пскове
- оператор по приему звонков в Пскове
- оператор по приему заявок в Пскове
- оператор по приему входящих звонков в Пскове
- оператор заказов в Пскове
- специалист по приему заявок в Пскове
- специалист по приему звонков в Пскове
- специалист на прием телефонных звонков в Пскове
- упаковщик на прием одежды в Пскове
- менеджер по приему товара в Пскове
- менеджер по приему заявок в Пскове
- кладовщик на прием товара в Пскове
- диспетчер по приему входящих звонков в Пскове
- сотрудник на прием входящих звонков в Пскове
- специалист по приему документов в Пскове
- специалист по работе с заказами в Пскове
- сотрудник на оформление заказов в Пскове
- сотрудник по оформлению заказов в Пскове
- менеджер по работе с заказами в Пскове
- менеджер заказа в Пскове
- комплектовщик заказов в Пскове
- менеджер по заказам в Пскове
Работа «оператор на прием заказов» в Пскове, 14 свежих вакансий
Оператор отдела продаж
, 25000 руб.– ООО "ГК "Мега Холод" является одной из крупнейших дистрибьюторских компаний на территории Псковской области. Компания осуществляет дистрибуцию и логистику продуктов питания (в т.ч. специальных температурных режимов хранения) на территории г. Пскова и ...
Оператор отдела продаж( ГК Мега Холод )
, 27000 руб.– компания "гк мега холод" ооо "гк "мега холод" является одной из крупнейших дистрибьюторских компаний на территории псковской области. компания осуществляет дистрибуцию и логистику продуктов питания (в т.ч. специальных температурных режимов хранения) на ...
Оператор колл-центра на дому (без продаж)
, 30000 руб.– компания "лукашенко ирина ильинична" работайте оператором контактного центра удаленно в крупной федеральной компании. компания занимается сбором и доставкой интернет-заказов в крупных супермаркетах. зарабатывайте до 30 000 рублей в месяц для заявки на ...
Оператор call-центра, удаленно
, 27000 руб.– компания "ventra" hr-холдинг ventra совместно с крупнейшим производителем и импортером алкогольной продукции в россии приглашает кандидатов на позицию "специалист по работе с клиентами" мы консультируем и отвечает на вопросы, а не продаем! обязанности: ...
Оператор call-центра, удаленно
, 27000 руб.– HR-холдинг Ventra совместно с крупнейшим производителем и импортером алкогольной продукции в России приглашает кандидатов на позицию "Специалист по работе с клиентами" Мы консультируем и отвечает на вопросы, а не продаем! Обязанности: Прием входящих ...
Оператор call-центра (удаленно, без продаж)
, 30000 руб.– компания "кадровый резерв" в крупную федеральную компанию, занимающуюся сбором и доставкой интернет-заказов из крупных сетевых магазинов срочно требуются операторы контактного центра для удаленной работы! продавать ничего не нужно!! что нужно делать ✔ ...
Оператор горячей линии
, 32000 руб.– компания "смартер" smarter — это федеральный контактный центр. мы обслуживаем горячие линии и совершаем исходящие обзвоны по заказам наших клиентов. на данный момент одним из основных наших клиентов является крупная аптечная сеть россии. мы приглашаем ...
Оператор call-центра( Сигма )
, 24000 руб.– компания "сигма" обязанности: прием входящих звонков клиентов; первичное консультирование; задача- принять входящий звонок, проконсультировать клиента по его проблеме ремонта,оформить заказ и занести его в базу данных. требования: желание помогать ...
Оператор колл-центра аптечной сети
, 32000 руб.– SMARTER — это федеральный контактный центр. Мы обслуживаем горячие линии и совершаем исходящие обзвоны по заказам наших клиентов. На данный момент одним из основных наших клиентов является крупная аптечная сеть России. Мы приглашаем консультантов горячей ...
Оператор отдела продаж
, 25000 руб.– компания "гк мега холод" ооо "гк "мега холод" является одной из крупнейших дистрибьюторских компаний на территории псковской области. компания осуществляет дистрибуцию и логистику продуктов питания (в т.ч. специальных температурных режимов хранения) на ...
– компания "сберлогистика" сберлогистика — это логистический оператор федерального масштаба, развивающий собственную складскую инфраструктуру, курьерскую доставку и сеть пунктов выдачи заказов во всех регионах россии. вам предстоит: доставлять заказы ...
Программист в отдел АСУ ТП (город Уфа)
, 138471 руб.– компания "гк бит" группа компаний бит - объединение предприятий, занимающихся разработкой и поддержкой проектов в области it-технологий: ао сибком , ооо элком , ооо смага , ооо сибком цифра . основными нашими направлениями являются автоматизация ...
Оператор-кассир службы доставки еды
, 21150 руб.– компания "северо-западная инвестиционная компания" обязанности: прием входящих звонков на заказы еды оформление заказов консультация по меню, акциям и ассортименту требования: грамотная речь личные качества: пунктуальность, ответственность, коммуникабельность, ...
Менеджер оптовых продаж бытовой химии
, 70000 руб.– компания "ленхим" обязанности: вести активные продажи в сфере бытовой химии встречаться с клиентами, вести переговоры, согласовывать и подписывать договора, закрывающие документы поиск новых клиентов постоянное общение со своей клиентской базой прием ...
Ум и мята - авторские обзоры
ТОП-вакансий за последние 24 часа.
Свежие вакансии «оператор на прием заказов» в регионе Псков
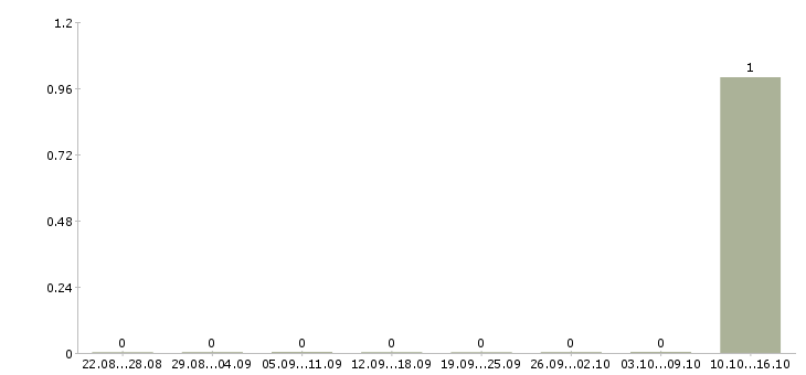
Число вакансий в Пскове по специальности оператор на прием заказов за 2 месяца
Рассмотренный регион (Псков) в регион Псковская область. Специальность оператор на прием заказов очень популярна, в месяц количиство запросов на сайте достигает 0 штук. Указанная вакансия популярна и в таких городах региона Псковская область, как:
Медиана зарплат оператор на прием заказов в Пскове за 2 месяца
- Новохованск
- Лобок
- Невель
- Ловец
- Лехово

Минимальная заработная плата по указанной специализации в месяц составляет 10000 руб. Работу для такого человека, как оператор на прием заказов, можно найти даже в таком месте, как Псков. 30900 – средняя зарплата оператор на прием заказов, которую можно проследить по текущим запросам пользователей за месяц. В данной категории открыто и множество вакансий по смежным специализациям, таким как:. Запрос в поисковике по этой вакансии находится на 0-м месте по отношению к общему рейтингу всех специальностей. Есть много разных популярных форм занятости:. Количество вакансий по всем специализациям в категории составляет 6 позиций. Актуальное количество вакансий оператор на прием заказов в регионе составляет 1. Прочие популярные специализации в регионе Псков:
- «Водитель такси»;
- «Оператор 1С торговля»;
- «Оператор-диспетчер со знанием английского языка».
Максимальный показатель заработной платы составляет 40000 руб. Медиана заработной платы за месяц по указанным специализациям 40000 руб. Синоним данной специализации оператор на прием заказов. Наиболее популярными работодателями на территории РФ являются компании:
- «Грузовичкоф»;
- «ТаксовичкоФ»;
- «Чайный Советник»;
В России на данный момент востребована работа по специализаци оператор на прием заказов. Необходимое для работодателей количество специалистов на должность «оператор на прием заказов» – 3132 вакансии. В регионе Псков предлагается большое количесвто разных вакансий. На рынке труда различают три формы занятости:. Регион Псков предлагает 22 вакансии. Эта профессия включена в раздел категории , что значительно облегчает поиск по справочнику. Хорошее место работы в регионе Псков для специализации «оператор на прием заказов» найти нетрудно. Умелые специалисты на должность «оператор на прием заказов» чаще всего получают зарплату в размере 40000 руб. Заработная плата в вакансиях работодателей составляет - 40000 руб.
- Работа вакансии
- Информация
- Найти работу
- Работа в вашем городе