Должность:
Регион:
- специалист отдела продаж Северная Осетия
- специалист отдела продаж в офис Северная Осетия
- специалист в отдел продаж Северная Осетия
- специалисты в отдел продаж Северная Осетия
- специалист отдела оформления Северная Осетия
- специалист отдела Северная Осетия
- специалист отдела открытия счетов Северная Осетия
- специалист отдела оформления документов Северная Осетия
- директор отдела продаж Северная Осетия
- оператор пк отдела продаж Северная Осетия
- секретарь отдела продаж Северная Осетия
- помощник руководителя отдела продаж Северная Осетия
- инженер отдела продаж Северная Осетия
- логист отдела продаж Северная Осетия
- экономист отдела продаж Северная Осетия
- помощник начальника отдела продаж Северная Осетия
- менеджер отдела продаж Северная Осетия
- администратор отдела продаж Северная Осетия
- оператор отдела продаж Северная Осетия
- консультант отдела продаж Северная Осетия
- помощник отдела продаж Северная Осетия
- управляющий отдела продаж Северная Осетия
- управляющий отделом продаж Северная Осетия
- управляющий по отделу продаж Северная Осетия
- помощник менеджера отдела продаж Северная Осетия
- торговый представитель отдела продаж Северная Осетия
- менеджер отдела продажам Северная Осетия
- начальник отдела продаж Северная Осетия
- руководитель отдела продаж Северная Осетия
- логист в отдел продаж Северная Осетия
- менеджер в отдел продаж Северная Осетия
Работа «специалист в отдел по продажам» Северная Осетия, 2 свежие вакансии
Специалист по сбыту
, 40000 руб.– компания "спк де-густо" в спк "де-густо" на постоянную работу требуется менеджер по продажам фруктов и саженцев плодовых деревьев - специалист по сбыту. обязанности: - ведение коммерческих переговоров; - составление, подготовка, презентация и защита коммерческих ...
Специалист по сбыту
, 40000 руб.– В СПК "Де-Густо" на постоянную работу требуется менеджер по продажам фруктов и саженцев плодовых деревьев - специалист по сбыту. Обязанности: - ведение коммерческих переговоров; - составление, подготовка, презентация и защита коммерческих предложений; ...
Ум и мята - авторские обзоры
ТОП-вакансий за последние 24 часа.
«Специалист в отдел по продажам»: перспективные вакансии в регионе Северная Осетия
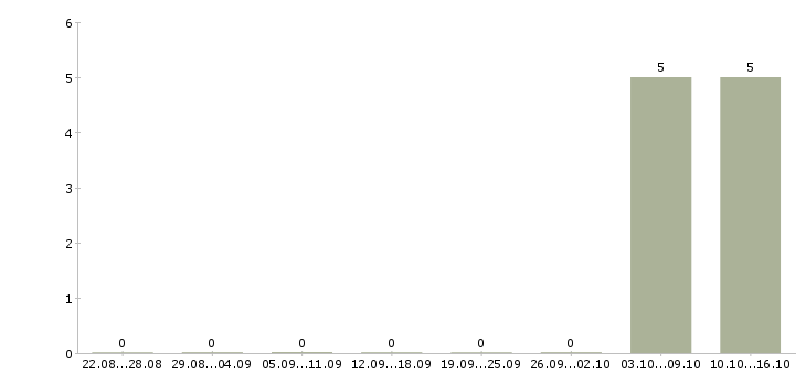
Число вакансий Северная осетия по специальности специалист в отдел по продажам за 2 месяца
Всего в регионе Северная Осетия для данной профессии на сегодняшний момент имеется 43 вакансии. Работу для такого человека, как специалист в отдел по продажам, можно найти даже в таком месте, как Северная Осетия. «Специалист в отдел по продажам» – востребованный специалист на которого есть спрос в регионе Северная Осетия. Регион Северная Осетия является лидером предложений по этой специализации. В России на данный момент востребована работа по специализаци специалист в отдел по продажам. Также в разделе вакансий можно встретить другое название этой специализации - специалист в отдел по продажам. В списке самых популярных страниц с вакансиями эта находится на 0 месте. представляет множество вакантных позиций на должность специалист в отдел по продажам. Средний уровень дохода представителей специальности - 30000. В указанной выше категории присутсвуют вакансии по таким специализациям, как:. По запросу специальности специалист в отдел по продажам показатель медианы зарплаты за месяц составляет 29000 руб. На сегодняшний день категория включает 4 вакансии по указанной специализации. Максимальная зарплата – 31000 руб. Самая популярная форма занятости —, количество вакансий по ней насчитывает вакансий. Кроме региона Северная Осетия, популярностью пользуются такие города, как:. Наиболее популярными работодателями на территории РФ являются компании:. Как правило, заработная плата сотрудников по вакансиям составляет 29000 руб. По всем регионам количество вакансий составляет 5870 мест. К списку популярных профессий в регионе Северная Осетия относятся:
Медиана зарплат специалист в отдел по продажам Северная осетия за 2 месяца
- «Водитель»;
- «Водитель на авто компании».

По текущим запросам за месяц можно выявить примерное минимальное значение месячной зарплаты специалист в отдел по продажам – она составляет 29000 руб. Поиск работы – покоряем Северная Осетия. На интерес к этой профессии указывает и количество запросов в поисковике за месяц: 0. Все крупные города области предлагают в совокупности вакансий. Ежемесячное количество вакансий по самой популярной форме занятости – вакансий. Поиск работы необходимо искать в таких разделах, как.
- Работа вакансии
- Информация
- Найти работу
- Работа в вашем городе