Должность:
Регион:
- специалист по обработке данных в Смоленске
- оператор базы данных в Смоленске
- оператор баз данных в Смоленске
- оператор по обработке заявок в Смоленске
- специалист базы данных в Смоленске
- менеджер базы данных в Смоленске
- администратор базы данных в Смоленске
- администратор баз данных в Смоленске
- сотрудник на ввод данных в Смоленске
- специалист по вводу данных в Смоленске
- специалист по управлению данными в Смоленске
- специалист по ведению базы данных в Смоленске
- специалист по обработке заявок в Смоленске
- обработка заявок на дому в Смоленске
- обработка электронной почты на дому в Смоленске
- специалист по обработке информации в Смоленске
- менеджер по обработке заявок в Смоленске
- специалист на обработку заказов в Смоленске
- специалист по обработке заказов в Смоленске
- администратор по обработке заказов в Смоленске
- менеджер по обработке информации в Смоленске
- менеджер по обработке заказов в Смоленске
- менеджер обработки заказов в Смоленске
- обработка документации в Смоленске
- сотрудник по обработке заявок в Смоленске
- обработка документов в Смоленске
- сотрудник на обработку заказов в Смоленске
- сотрудник для обработки заявок в Смоленске
- оператор пк в Смоленске
- оператор в Смоленске
- операторы в Смоленске
Работа «оператор по обработке данных» в Смоленске, 36 свежих вакансий
– Удаленный сотрудник - Оператор колл-центра дистанционной обработки данных (ввод данных, электронный документооборот) - одна из самых перспективных вакансий для начинающих специалистов. Обязанности: Обрабатывать заявки клиентов и отвечать на сообщения ...
– компания "start-job" удаленный сотрудник - оператор колл-центра дистанционной обработки данных (ввод данных, электронный документооборот) - одна из самых перспективных вакансий для начинающих специалистов. обязанности: обрабатывать заявки клиентов ...
– компания "start-job" удаленная работа с текстом и обработкой данных без звонков (подработка/совмещение) работай из дома в комфорте и не трать деньги на дорогу! отлично подходит для тех кому нужна: подработка/удаленно/на дому/из дома. обязанности: работа ...
– Удаленный сотрудник - Оператор колл-центра дистанционной обработки данных (ввод данных, электронный документооборот) - одна из самых перспективных вакансий для начинающих специалистов. Обязанности: Обрабатывать заявки клиентов и отвечать на сообщения ...
Оператор по работе с задолженностью (удаленно)
, 70000 руб.– компания "stafflix" работай из дома в комфорте и не трать деньги на дорогу! отлично подходит для тех кому нужна: работа удаленно/на дому/из дома точное название вакансии: оператор по работе с задолженностью. обязанности: работа 1 на 1 с компьютером в ...
– компания "ванатов андрей викторович" открыта вакансия для начинающих специалистов, одна из самых перспективных должностей, для тех, кто только начинает свой путь удалёнке. точное название вакансии: оператор электронных заявок обязанности: вы будете работать ...
– Оператор электронных заявок - одна из самых перспективных вакансий для начинающих фрилансеров, а так же для тех у кого уже есть опыт. ТОЧНОЕ НАЗВАНИЕ ВАКАНСИИ: Оператор электронных заявок Обязанности: ЗВОНИТЬ НЕ БУДЕТЕ! Вы будете работать 1на1 с компьютером; ...
– компания "stafflix" работай из дома в комфорте и не трать деньги на дорогу! отлично подходит для тех кому нужна: работа удаленно/на дому/из дома точное название вакансии: оператор по работе с задолженностью. обязанности: работа 1 на 1 с компьютером в ...
– компания "job for joy" откройте для себя все достоинства удалённой работы с стабильным заработком без задержек! выплаты вознаграждения 3 раза в месяц! ведется набор на удалённую вакансию. подходит для работы из любого места, где есть интернет, без опыта ...
– компания "персональное решение (ип артеменко алексей александрович)" срочно! в компанию эскела открыт набор на вакансию оператор станка с чпу на производство медицинской мебели. !!!! вахта или работа по графикупроизводство находится по адресу: смоленская ...
– компания "job for joy" откройте для себя все достоинства удалённой работы с стабильным заработком без задержек! выплаты вознаграждения 3 раза в месяц! ведется набор на удалённую вакансию. подходит для работы из любого места, где есть интернет, без опыта ...
– компания "job for joy" откройте для себя все достоинства удалённой работы с стабильным заработком без задержек! выплаты вознаграждения 3 раза в месяц! ведется набор на удалённую вакансию. подходит для работы из любого места, где есть интернет, без опыта ...
– компания "stafflix" работа из дома от 18 часов в неделю! работай из дома в комфорте и не трать деньги на дорогу! отлично подходит для тех кому нужна: работа удаленно/на дому/из дома точное название вакансии: оператор страхование. обязанности: вы будете ...
– компания "start-job" работай из дома в комфорте и не трать деньги на дорогу! вакансия консультант отлично подходит для тех кому нужна: работа удаленно/на дому/из дома обязанности: работа 1 на 1 с компьютером; обработка входящих заявок; опыт работы ...
Оператор станков с ЧПУ
, 115000 руб.– компания "консалтинг групп" внимание, работа вахтой с бесплатным проживанием! г. санкт-петербург на крупное производство турбинного оборудования: оператор/наладчик чпу на max muller, nc-210, mazak что мы предлагаем: работу от прямого работодателя; ...
– компания "staff-linear" работай из дома в комфорте и не трать деньги на дорогу! отлично подходит для тех кому нужна: работа удаленно/на дому/из дома обязанности: работа 1 на 1 с компьютером; обработка входящих заявок; опыт работы не требуется! работа ...
– компания "staff-linear" работай из дома в комфорте и не трать деньги на дорогу! отлично подходит для тех кому нужна: работа удаленно/на дому/из дома обязанности: работа 1 на 1 с компьютером; обработка входящих заявок; опыт работы не требуется! работа ...
Оператор входящих звонков (Удаленно)
, 10000 руб.– компания "контакт-лайн" обязанности: приём и обработка входящих звонков на горячей линии (без поиска клиентов) компании сдэк (12-15 звонков в час); консультирование; фиксирование данных в системе. требования: общительность, доброжелательность; грамотная ...
Оператор контакт-центра (удаленно/офис)
, 22000 руб.– Вакансия компании ООО "Гран Смоленск" Предлагаем работу в крупном аутсорсинговом контакт-центре Гран, стабильно развивающемся уже более 15 лет и имеющим партнёров в самых разных сферах: интернет-магазины, торговые компании, банки, государственные заказчики ...
Оператор контакт-центра (удаленно/офис)
, 22000 руб.– вакансия компании ооо "гран смоленск" предлагаем работу в крупном аутсорсинговом контакт-центре гран, стабильно развивающемся уже более 15 лет и имеющим партнёров в самых разных сферах: интернет-магазины, торговые компании, банки, государственные заказчики ...
Оператор входящих звонков (Удаленно)
, 10000 руб.– Обязанности: Приём и обработка входящих звонков на горячей линии (без поиска клиентов) компании СДЭК (12-15 звонков в час); Консультирование; Фиксирование данных в системе. Требования: Общительность, доброжелательность; Грамотная речь, чёткость дикции; ...
– компания "эр-телеком" ао эр-телеком холдинг – федеральный телеком-оператор, задействованный в обеспечении устойчивости, безопасности и целостности функционирования отдельных сооружений связи, средств связи и линий связи сети связи общего пользования, ...
Оператор технической поддержки (удалённо)
, 27500 руб.– компания "эр-телеком" о эр-телеком холдинг – федеральный телеком-оператор, задействованный в обеспечении устойчивости, безопасности и целостности функционирования отдельных сооружений связи, средств связи и линий связи сети связи общего пользования, ...
– АО ЭР-Телеком Холдинг – федеральный телеком-оператор, задействованный в обеспечении устойчивости, безопасности и целостности функционирования отдельных сооружений связи, средств связи и линий связи сети связи общего пользования, а также центров обработки ...
Оператор call-центра( ЭкстримТел )
, 29920 руб.– компания "экстримтел" работая у нас, ты получишь возможность не только достойно зарабатывать, но и многому научиться. на данный момент идет набор сотрудников на вакансию "оператор call-центра" обязанности: • консультирование клиентов по сформированным ...
– компания "агросемцентр" рассадный комплекс "росток" - крупное и динамично развивающееся предприятие, которое входит в состав группы компаний "агросемцентр". в связи с расширением штата компании, мы ищем в свою команду энергичных менеджеров по продажам ...
Начинающий специалист колл-центра (удаленно)
, 30000 руб.– АО ЭР-Телеком Холдинг – федеральный телеком-оператор, задействованный в обеспечении устойчивости, безопасности и целостности функционирования отдельных сооружений связи, средств связи и линий связи сети связи общего пользования, а также центров обработки ...
Ассистент Руководителя/оператор ПК (удаленно)
, 25000 руб.– компания "ясность" вакансия удаленная и не подразумевает встречи с клиентами, посещение офиса и переезд! у нас только оклад+премиальные. оператор, помощник брокера по москва-сити о нас работаем в сфере недвижимости с 2010года, начинали как региональное ...
Оператор контакт-центра
, 30000 руб.– компания "гран" гран - современная развивающаяся компания, входящая в пятерку крупнейших аутсорсинговых контакт-центров страны. 15 лет гран работает с людьми и для людей в 10 городах трех стран снг. в смоленске наша компания стабильно работает с 2010 ...
Ассистент менеджера по подбору персонала
, 29000 руб.– компания "dpd в россии" сотрудников отдела по подбору массового персонала основные задачи: дистанционный подбор персонала на массовые позиции (москва и регионы); обработка входящих звонков кандидатов; активный поиск кандидатов в открытых источниках; ...
– компания "aston" аутсорсинговая it-компания aston приглашает к сотрудничеству system analyst для работы над проектом поставщика телекоммуникационных услуг. задача – разработка и реализация эффективной архитектуры it-решений. заказчик – крупнейшая телекоммуникационная ...
Технический консультант( Ventra )
, 30000 руб.– компания "ventra" компания ventra приглашает технического консультанта для работы в информационном центре крупного немецкого автопроизводителя с полным спектром услуг по сопровождению клиентов после покупки автомобиля. обязанности: консультирование клиентов ...
Технический консультант
, 30000 руб.– компания "kelly services" компания kelly services приглашает технического консультанта для работы в информационном центре крупного немецкого автопроизводителя с полным спектром услуг по сопровождению клиентов после покупки автомобиля. обязанности: консультирование ...
Технический консультант( Kelly Services )
, 30000 руб.– компания "kelly services" компания kelly services приглашает технического консультанта для работы в информационном центре крупного немецкого автопроизводителя с полным спектром услуг по сопровождению клиентов после покупки автомобиля. обязанности: консультирование ...
Диспетчер( Ростелеком )
, 25000 руб.– компания "ростелеком" обязанности: обработка нарядов (присвоение технических данных) по подключению абонентов; распределение заявок на сотрудников; контроль исполнения заявок сотрудниками; ведение отчетности. требования: образование среднее и выше; ...
Специалист (Смоленск)
, 25000 руб.– компания "ростелеком" обязанности: обработка нарядов (присвоение технических данных) по подключению абонентов; распределение заявок на сотрудников; контроль исполнения заявок сотрудниками; ведение отчетности. требования: образование среднее и выше; ...
Ум и мята - авторские обзоры
ТОП-вакансий за последние 24 часа.
Как «оператор по обработке данных» может найти хорошее место работы в регионе Смоленск
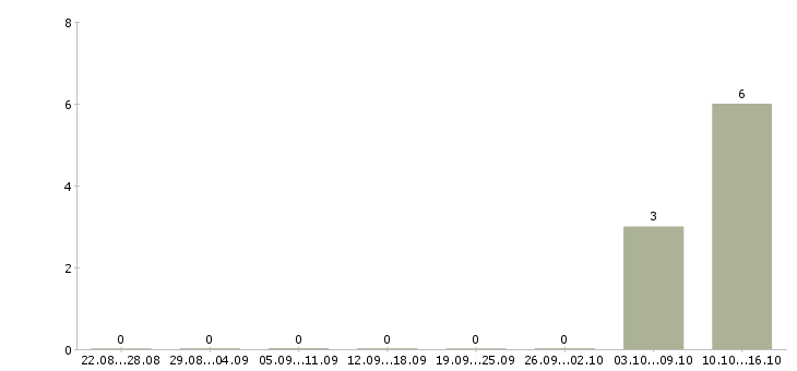
Число вакансий в Смоленске по специальности оператор по обработке данных за 2 месяца
Оплата за выполненную работу имеет разные размеры, но в большинстве случаев, составляет 20000 руб. Медианный доход по специальности оператор по обработке данных за месяц составил 20000 руб. Помимо вакансии «оператор по обработке данных» в регионе Смоленск востребованы специалисты на должности:
Медиана зарплат оператор по обработке данных в Смоленске за 2 месяца
- «Специалист по продажам банковских продуктов»;
- «Оператор ПК»;
- «Оператор call-центра».

По всем регионам области представлено 2 вакансии. Самая популярная форма занятости — Полная занятость, количество вакансий по ней насчитывает 2 вакансии. ТОП популярных форм занятости - «Полная занятость». Средний уровень дохода по специальности - 20400. Самый большой регион по количеству вакансий – Смоленск. Даже если согласиться на менее чем 20000 руб, за работу оператор по обработке данных в Смоленск надо побороться. Но у вас получится!. В нашем регионе есть три компании-лидера по найму сотрудников:
- «Newcontact»;
- «Тинькофф Банк»;
- «Ромир Холдинг»;
Регион Смоленск предлагает 30 вакансий. В рейтинге запросов по различным вакансиям на сайте, общее число запросов по специальности оператор по обработке данных располагается на 0 позиций. По все стране насчитывается 6312 вакансии «оператор по обработке данных». За месяц страницу с вакансией оператор по обработке данных запрашивали 0 раз. Регион, в котором осуществляется поиск вакансий - Смоленская область. Вакансии оператор по обработке данных входят в более крупную категорию специалистов –. При этом величина минимальной зарплаты за месяц равняется 20000 руб. Среди других городов области, где востребована специализация оператор по обработке данных, необходимо назвать следующие:
- Подъямное
- Никольское
- Соколино
- Середа
- Никитье
Также к группе относятся следующие вакансии:. «Оператор по обработке данных» – востребованный специалист на которого есть спрос в регионе Смоленск. Регион Смоленск является лидером предложений по этой специализации. Можно встретить другое название этой специализации - оператор по обработке данных. 2 – такое количество вакансий по всем специализациям в категории предлагается различными организациями. Максимальная заработная плата в месяц достигает 25000 руб. Оператор по обработке данных выполняет разные функции.
- Работа вакансии
- Информация
- Найти работу
- Работа в вашем городе