Должность:
Регион:
- кассир дневной в Тамбове
- кассир в дневную смену в Тамбове
- кассир дневной смены в Тамбове
- кассир в дневные смены в Тамбове
- комплектовщик дневные смены в Тамбове
- грузчик дневные смены в Тамбове
- продавец дневные смены в Тамбове
- продавец дневной смены в Тамбове
- повар дневной смены в Тамбове
- кассиры в Тамбове
- менеджер кассир в Тамбове
- кассир консультант в Тамбове
Работа «дневной кассир» в Тамбове, 3 свежие вакансии
– компания "моя смена (ооо инвент сервис)" ⏳ моя смена – это приложение для поиска официальной подработки рядом с домом в удобное время.приложение работает по принципу такси. вы выбираете удобную для вас по оплате и месторасположению смену, бронируете ...
Комплектовщик (вахта Воронеж)
, 40000 руб.– компания "городские проекты" на современный склад в воронеже требуются комплектовщики! приветствуется опыт работы: сборщик онлайн заказов, работник торгового зала, продавец, кассир, грузчик. нам нужен именно ты, если:ты активен и не любишь сидеть на месте ...
– компания "акмэ сервис" забери своё яблоко! мы открываем набор на вакансию сборщики яблок с бесплатным проживанием и трехразовым питанием.условия: 30 смен: смена 1900 рублей 60 смен: смена 2000 рублей 90 смен: смена 2400 рублей - 45 смен – от 105 000 ...
Ум и мята - авторские обзоры
ТОП-вакансий за последние 24 часа.
Как «дневной кассир» может найти хорошее место работы в регионе Тамбов
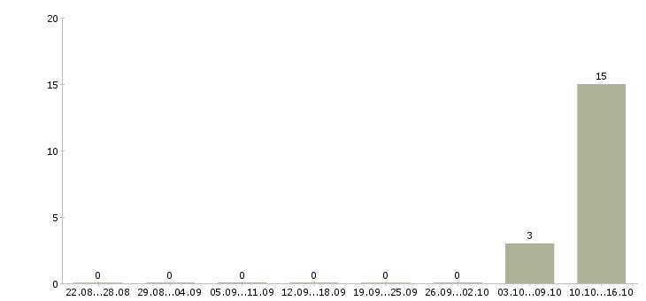
Число вакансий в Тамбове по специальности дневной кассир за 2 месяца
При этом размер минимальной заработной платы по указанной специализации в месяц составляет 45000 руб. Регион вакансии - Тамбовская область. В списке самых популярных страниц с вакансиями эта находится на 0 месте. «Дневной кассир» – популярная специализация не только по региону Тамбов, но и по всей России. Регион Тамбов изобилует вакансиями «дневной кассир». Указанная вакансия популярна и в таких городах региона Тамбовская область, как:
Медиана зарплат дневной кассир в Тамбове за 2 месяца
- Синявка-Первая
- Софьино
- Александровка-Вторая
- Чуповка
- Алексеевка

В регионе Тамбов существует большая потребность в специалистах разнообразных профессий. Число вакансий по региону Тамбов составляет 29 позиций, многие соискатели могут найти для себя подходящий вариант. За месяц страницу с вакансией дневной кассир запрашивали 0 раз. Общее количество данных вакансий достигает 2 позиции. Дневной кассир - одна из самых востребованных специальностей в регионе. В числе популярных работодателей по количеству вакансий в регионе Тамбов такие компании, как:
- «Промперсонал»;
- «СТС Групп»;
- «КлеверStaff»;
Другие популярные вакансии в регионе Тамбов:
- «Оператор-кассир»;
- «Кассир-продавец»;
- «Кассир магазина - вахта»;
- «Кассир»;
- «Кассир-продавец Супермаркета».
А средняя зарплата по специальности равняется 52700. В таком регионе, как Тамбов, работу за более чем АВ для дневной кассир найти сложно, но можно. Максимальный уровень заработной платы по указанным вакансиям за месяц зафиксирован на отметке в 60000 руб. Медиана зарплаты по категории находится в пределах 56000 руб. В многих компаниях зарплата составляет 56000 руб. По всем городам в области насчитывается 0 вакансий. На рынке труда различают три формы занятости: работа вахтовым методом. Вакансии дневной кассир входят в более крупную категорию специалистов –. В указанной выше категории присутсвуют вакансии по таким специализациям, как:. ТОП популярных форм занятости - «работа вахтовым методом». При поиске работы на должность «дневной кассир» по всем регионам, можно найти 7001 вакансия. Можно встретить другое название этой специализации - дневной кассир.
- Работа вакансии
- Информация
- Найти работу
- Работа в вашем городе