Должность:
Регион:
- дневной кассир в Тамбове
- кассир в дневную смену в Тамбове
- кассир в дневные смены в Тамбове
- комплектовщик дневные смены в Тамбове
- грузчик дневные смены в Тамбове
- продавец дневные смены в Тамбове
- продавец дневной смены в Тамбове
- повар дневной смены в Тамбове
- кассиры в Тамбове
- менеджер кассир в Тамбове
- кассир консультант в Тамбове
Работа «кассир дневной» в Тамбове, 3 свежие вакансии
– компания "моя смена (ооо инвент сервис)" ⏳ моя смена – это приложение для поиска официальной подработки рядом с домом в удобное время.приложение работает по принципу такси. вы выбираете удобную для вас по оплате и месторасположению смену, бронируете ...
Комплектовщик (вахта Воронеж)
, 40000 руб.– компания "городские проекты" на современный склад в воронеже требуются комплектовщики! приветствуется опыт работы: сборщик онлайн заказов, работник торгового зала, продавец, кассир, грузчик. нам нужен именно ты, если:ты активен и не любишь сидеть на месте ...
– компания "акмэ сервис" забери своё яблоко! мы открываем набор на вакансию сборщики яблок с бесплатным проживанием и трехразовым питанием.условия: 30 смен: смена 1900 рублей 60 смен: смена 2000 рублей 90 смен: смена 2400 рублей - 45 смен – от 105 000 ...
Ум и мята - авторские обзоры
ТОП-вакансий за последние 24 часа.
Лучшие вакансии «кассир дневной» в регионе Тамбов
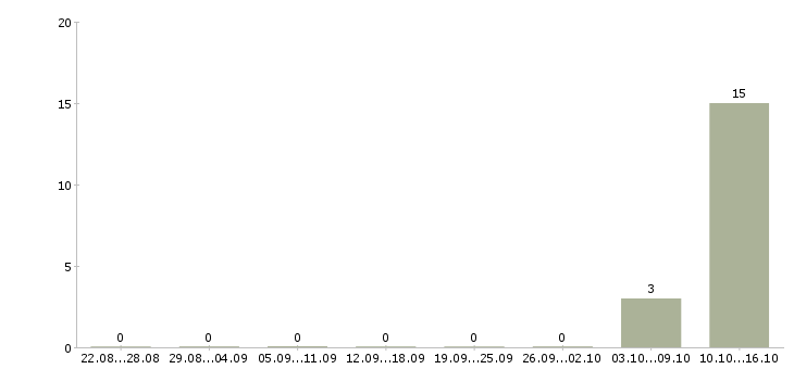
Число вакансий в Тамбове по специальности кассир дневной за 2 месяца
Средняя зарплата здесь составляет 52700. По данным поисковых порталов, в регионе Тамбов насчитывается 29 вакансий по заданной позиции. Одной из наиболее востребованных является кассир дневной. 11 – такое количество вакансий по всем специализациям в категории предлагается различными организациями. Тамбов является перспективным регионом, где многие люди находят место на должность «кассир дневной». В настоящее время особо востребованной специальностью в регионе Тамбов является «кассир дневной». Помимо вакансии «кассир дневной» в регионе Тамбов востребованы специалисты на должности:
Медиана зарплат кассир дневной в Тамбове за 2 месяца
- «Оператор-кассир»;
- «Кассир-продавец»;
- «Кассир магазина - вахта».

Страница на сайте запрошена 0 раз за месяц. Работодатели предлагают также и другие специализации данной категории. К ним относятся:. Использованные данные характеризуют регион Тамбовская область. Максимум заработной платы по вакансиям составляет 60000 руб. По всем регионам области представлено 0 вакансий. Указанная вакансия популярна и в таких городах региона Тамбовская область, как:
- Веселое
- Вяжли
- Ваново
- Быковка
- Давыдово
Минимальная величина заработка по вакансии - 45000 руб. По всем регионам количество вакансий составляет 7001 место. Предлагаются «работа вахтовым методом» формы занятости. Оплата за выполненную работу имеет разные размеры, но в большинстве случаев, составляет 56000 руб. На сегодняшний день Тамбов предлагает множество рабочих мест. Самой популярной формой занятости является работа вахтовым методом, по ней можно найти 8 вакансий. Также в разделе вакансий можно встретить другое название этой специализации - кассир дневной. Наиболее длинный список свободных мест предлагают компании:
- «Промперсонал»;
- «СТС Групп»;
- «КлеверStaff»;
Тамбов – вполне нормальное место, чтобы зарабатывать, даже на должности кассир дневной. Медианный доход по специальности кассир дневной за месяц составил 56000 руб. В общем списке страница запроса с вакансией кассир дневной достигает 0 позиций. Данная профессия входит так называемую категорию.
- Работа вакансии
- Информация
- Найти работу
- Работа в вашем городе