Должность:
Регион:
- требуется оператор на дому Татарстан
- требуется оператор Татарстан
- требуются операторы Татарстан
- требуется оператор на телефон Татарстан
- требуется оператор пк Татарстан
- требуются операторы пк Татарстан
- в интернет магазин требуется оператор Татарстан
- требуется оператор склада Татарстан
- требуются сотрудники на дому Татарстан
- требуется сотрудник на дому Татарстан
- требуется менеджер на дому Татарстан
- требуются менеджеры на дому Татарстан
- требуется менеджер для работы дома Татарстан
- требуется консультант на дому Татарстан
- оператор на дому Татарстан
- оператор на телефоне на дому Татарстан
- оператор пк на дому Татарстан
- оператор call центра на дому Татарстан
- подработка оператор пк на дому Татарстан
- требуются на работу Татарстан
- требуется сотрудник Татарстан
- требуются сотрудники Татарстан
Работа «требуется оператор пк на дому» Татарстан, 93 свежие вакансии
– Мы в поиске лучших сотрудников для расширения команды и по этому объявляем дополнительный набор на одну из самых популярных удалённых вакансий! Точное название вакансии: Консультант Банка (вечер) в регионах России. Обязанности: Обработка входящих данных ...
– Ведется набор на УДАЛЁННУЮ вакансию оператор ПК - сотрудник на ввод данных. Подходит для работы из любого места, где есть интернет, БЕЗ ОПЫТА РАБОТЫ. Возможно совмещение, подработка, неполный день, частичная занятость, утро, вечер, день, ночь. Обязанности: ...
– Удаленный оператор ПК - ввод данных, документооборот (совмещение, подработка, ИЗ ДОМА) Ведется набор на УДАЛЁННУЮ вакансию оператор ПК - сотрудник на ввод данных. Подходит для работы из любого места, где есть интернет, БЕЗ ОПЫТА РАБОТЫ. Возможно совмещение, ...
– Удаленный оператор ПК - ввод данных, документооборот (совмещение, подработка, ИЗ ДОМА) Ведется набор на УДАЛЁННУЮ вакансию оператор ПК - сотрудник на ввод данных. Подходит для работы из любого места, где есть интернет, БЕЗ ОПЫТА РАБОТЫ. Возможно совмещение, ...
– Ведется набор на УДАЛЁННУЮ вакансию оператор ПК - сотрудник на ввод данных. Подходит для работы из любого места, где есть интернет, БЕЗ ОПЫТА РАБОТЫ. Обязанности: Работа с ВХОДЯЩИМИ сообщениями В ЧАТЕ и с входящими ОБРАЩЕНИЯМИ. Работай из дома в комфорте ...
– Ведется набор на УДАЛЁННУЮ вакансию оператор ПК - сотрудник на ввод данных. Подходит для работы из любого места, где есть интернет, БЕЗ ОПЫТА РАБОТЫ. Обязанности: Работа с ВХОДЯЩИМИ сообщениями В ЧАТЕ и с входящими ОБРАЩЕНИЯМИ. Работай из дома в комфорте ...
– Удаленная работа с текстом и обработкой данных (подработка/совмещение) Работай из дома в комфорте и не трать деньги на дорогу! Отлично подходит для тех кому нужна: Подработка/Удаленно/На дому/Из дома. Обязанности: Работа 1на1 с компьютером в формате ...
– компания "работа - персонал" удаленный оператор пк - сотрудник на ввод данных (есть свободная подработка) ведется набор на удалённую вакансию оператор пк - сотрудник на ввод данных. подходит для работы из любого места, где есть интернет, без опыта работы ...
– компания "работа - персонал" ведется набор на удалённую вакансию оператор пк - сотрудник на ввод данных. подходит для работы из любого места, где есть интернет, без опыта работы. (есть свободная подработка) обязанности: работа с входящими сообщениями ...
– компания "работа - персонал" ведется набор на удалённую вакансию оператор пк - сотрудник на ввод данных. подходит для работы из любого места, где есть интернет, без опыта работы. обязанности: работа с входящими сообщениями в чате и с входящими обращениями ...
Оператор ПК, удаленно
, 45000 руб.– компания "работа - персонал" ведется набор на удалённую вакансию оператор пк - сотрудник на ввод данных. подходит для работы из любого места, где есть интернет, без опыта работы. обязанности: работа с входящими сообщениями в чате и с входящими обращениями ...
– компания "работа - персонал" ведется набор на удалённую вакансию оператор пк - сотрудник на ввод данных. подходит для работы из любого места, где есть интернет, без опыта работы. обязанности: работа с входящими сообщениями в чате и с входящими обращениями ...
– компания "работа - персонал" ведется набор на удалённую вакансию оператор пк - сотрудник на ввод данных. подходит для работы из любого места, где есть интернет, без опыта работы. обязанности: работа с входящими сообщениями в чате и с входящими обращениями ...
– компания "работа - персонал" ведется набор на удалённую вакансию оператор пк - сотрудник на ввод данных. подходит для работы из любого места, где есть интернет, без опыта работы. обязанности: работа с входящими сообщениями в чате и с входящими обращениями ...
Оператор колл-центра (на дому, в Яндекс)
, 23000 руб.– компания "гончаров никита дмитриевич" работа оператором колл-центра в яндекс.такси. необходимо будет заполнить небольшую анкету, после чего с вами свяжутся для интервью. кого ищем? операторов в диспетчерскую яндекс.такси. мы принимаем входящие звонки ...
Оператор на входящие звонки (на дому, в Я.Такси)
, 23000 руб.– компания "гончаров никита дмитриевич" работа оператором колл-центра в яндекс.такси. необходимо будет заполнить небольшую анкету, после чего с вами свяжутся для интервью. кого ищем? операторов в диспетчерскую яндекс.такси. мы принимаем входящие звонки ...
– компания "start-job" удаленная работа с текстом и обработкой данных (подработка/совмещение) работай из дома в комфорте и не трать деньги на дорогу! отлично подходит для тех кому нужна: подработка/удаленно/на дому/из дома. обращаем внимание, после отклика ...
Оператор ПК - сотрудник на ввод данных, удаленно
, 25000 руб.– компания "staff-linear" ведется набор на удалённую вакансию оператор пк - сотрудник на ввод данных. подходит для работы из любого места, где есть интернет, без опыта работы. обязанности: работа с входящими сообщениями в чате и с входящими обращениями ...
– компания "staff-linear" ведется набор на удалённую вакансию оператор пк - сотрудник на ввод данных. подходит для работы из любого места, где есть интернет, без опыта работы. обязанности: работа с входящими сообщениями в чате и с входящими обращениями ...
– компания "работа - персонал" удаленный сотрудник - консультант (ввод данных, документооборот) - одна из самых перспективных вакансий для начинающих специалистов. обязанности: работать из дома в комфорте и не тратить деньги на дорогу! вы будете работать ...
– Удаленная работа с текстом и обработкой данных (подработка/совмещение) Работай из дома в комфорте и не трать деньги на дорогу! Отлично подходит для тех кому нужна: Подработка/Удаленно/На дому/Из дома. ОБРАЩАЕМ ВНИМАНИЕ, после отклика на данную вакансию ...
Оператор ПК - сотрудник на ввод данных, удаленно
, 25000 руб.– компания "staff-linear" ведется набор на удалённую вакансию оператор пк - сотрудник на ввод данных. подходит для работы из любого места, где есть интернет, без опыта работы. обязанности: работа с входящими сообщениями в чате и с входящими обращениями ...
– компания "staff-linear" удаленный оператор пк - ввод данных, документооборот (совмещение, подработка, из дома) ведется набор на удалённую вакансию оператор пк - сотрудник на ввод данных. подходит для работы из любого места, где есть интернет, без опыта ...
Удаленный оператор ПК (подработка)
, 25000 руб.– компания "staff-linear" удаленный оператор пк - ввод данных, документооборот (совмещение, подработка, из дома) ведется набор на удалённую вакансию оператор пк - сотрудник на ввод данных. подходит для работы из любого места, где есть интернет, без опыта ...
– компания "staff-linear" ведется набор на удалённую вакансию оператор пк - сотрудник на ввод данных. подходит для работы из любого места, где есть интернет, без опыта работы. возможно совмещение, подработка, неполный день, частичная занятость, утро, вечер, ...
– компания "staff-linear" ведется набор на удалённую вакансию оператор пк - сотрудник на ввод данных. подходит для работы из любого места, где есть интернет, без опыта работы. возможно совмещение, подработка, неполный день, частичная занятость, утро, вечер, ...
Менеджер чатов, на дому (в Яндекс)
, 25000 руб.– Работа менеджером чатов в службу поддержки Яндекс.Go. Необходимо будет заполнить небольшую анкету, после чего с вами свяжутся для интервью. Кого ищем? Менеджеров чатов в поддержку Яндекс.Go. Мы отвечаем на вопросы пользователей и водителей письменно в ...
– Ведется набор на УДАЛЁННУЮ вакансию оператор ПК - сотрудник на ввод данных. Подходит для работы из любого места, где есть интернет, БЕЗ ОПЫТА РАБОТЫ. Возможно совмещение, подработка, неполный день, частичная занятость, утро, вечер, день, ночь. Обязанности: ...
– Ведется набор на УДАЛЁННУЮ вакансию оператор ПК - сотрудник на ввод данных. Подходит для работы из любого места, где есть интернет, БЕЗ ОПЫТА РАБОТЫ. Обязанности: Работа с ВХОДЯЩИМИ сообщениями В ЧАТЕ и с входящими ОБРАЩЕНИЯМИ. Работай из дома в комфорте ...
– компания "работа - персонал" ведется набор на удалённую вакансию оператор пк - сотрудник на ввод данных. подходит для работы из любого места, где есть интернет, без опыта работы. обязанности: работа с входящими сообщениями в чате и с входящими обращениями ...
Менеджер чатов (на дому, в Яндекс.Маркет)
, 28000 руб.– Работа менеджером чатов в службу поддержки Яндекс.Маркет. Необходимо будет заполнить небольшую анкету, после чего с вами свяжутся для интервью. Кого ищем? Менеджера чатов в поддержку Яндекс.Маркет. Мы отвечаем на вопросы пользователей и наших партнеров ...
Оператор на входящие звонки (на дому, в Я.Такси)
, 23000 руб.– компания "гончаров никита дмитриевич" работа оператором колл-центра в яндекс.такси. необходимо будет заполнить небольшую анкету, после чего с вами свяжутся для интервью. кого ищем? операторов в диспетчерскую яндекс.такси. мы принимаем входящие звонки ...
– компания "staff-linear" ведется набор на удалённую вакансию оператор пк - сотрудник на ввод данных. подходит для работы из любого места, где есть интернет, без опыта работы. обязанности: работа с входящими сообщениями в чате и с входящими обращениями ...
– компания "staff-linear" ведется набор на удалённую вакансию оператор пк - сотрудник на ввод данных. подходит для работы из любого места, где есть интернет, без опыта работы. обязанности: работа с входящими сообщениями в чате и с входящими обращениями ...
Оператор на входящие звонки (на дому, в Я.Такси)
, 23000 руб.– компания "гончаров никита дмитриевич" работа оператором колл-центра в яндекс.такси. необходимо будет заполнить небольшую анкету, после чего с вами свяжутся для интервью. кого ищем? операторов в диспетчерскую яндекс.такси. мы принимаем входящие звонки ...
Оператор на входящие звонки (на дому, в Я.Такси)
, 23000 руб.– компания "гончаров никита дмитриевич" работа оператором колл-центра в яндекс.такси. необходимо будет заполнить небольшую анкету, после чего с вами свяжутся для интервью. кого ищем? операторов в диспетчерскую яндекс.такси. мы принимаем входящие звонки ...
– компания "корпорация элар" корпорация элар на протяжении многих лет исполнителем таких национальных социально-значимых проектов, как портал память народа , где собрана информация о судьбах более 30 млн. человек, обд мемориал и обд подвиг народа , ...
– компания "корпорация элар" корпорация элар на протяжении многих лет исполнителем таких национальных социально-значимых проектов, как портал память народа , где собрана информация о судьбах более 30 млн. человек, обд мемориал и обд подвиг народа , ...
Специалист чат-поддержки (на дому, в Яндекс.Такси)
, 25000 руб.– компания "гончаров никита дмитриевич" работа менеджером чатов в службу поддержки яндекс.go. необходимо будет заполнить небольшую анкету, после чего с вами свяжутся для интервью. кого ищем? менеджеров чатов в поддержку яндекс.go. мы отвечаем на вопросы ...
Менеджер чатов, на дому (в Я.Такси)
, 25000 руб.– компания "гончаров никита дмитриевич" работа менеджером чатов в службу поддержки яндекс.go. необходимо будет заполнить небольшую анкету, после чего с вами свяжутся для интервью. кого ищем? менеджеров чатов в поддержку яндекс.go. мы отвечаем на вопросы ...
Менеджер чатов на дому (в Я.Такси)
, 25000 руб.– компания "гончаров никита дмитриевич" работа менеджером чатов в службу поддержки яндекс.go. необходимо будет заполнить небольшую анкету, после чего с вами свяжутся для интервью. кого ищем? менеджеров чатов в поддержку яндекс.go. мы отвечаем на вопросы ...
Оператор ПК - консультант электронных заявок удалённо (работа в чате и с входящими обращениями)
, 35000 руб.– компания "start-job" срочно требуются сотрудники на удалённую работу - операторы пк - консультанты электронных заявок в банк (работа в чате и с входящими обращениями). вакансия для начинающих специалистов, имеющих минимальный опыт в консультировании по ...
Менеджер чатов, на дому (в Я.Маркет)
, 28000 руб.– компания "гончаров никита дмитриевич" работа оператором на входящие сообщения в службу поддержки яндекс.маркет. необходимо будет заполнить небольшую анкету, после чего с вами свяжутся для интервью. кого ищем? оператора на входящие сообщения в поддержку ...
Оператор ПК - консультант электронных заявок, удалённо (по работе в чате и со входящими обращениями)
, 38000 руб.– компания "staff-linear" срочно требуются сотрудники на удалённую работу - операторы пк - консультанты электронных заявок в банк (работа в чате и с входящими обращениями). вакансия для начинающих специалистов, имеющих минимальный опыт в консультировании ...
Удаленный Оператор чата (подработка)
, 50000 руб.– Партнеру Тинькофф банка срочно требуются консультанты на входящие сообщения и звонки. Успейте оставить отклик на вакансию прямо сейчас! ПЛЮСЫ Удаленная работа. Без продаж. Только входящие обращения. Без опыта. Компания выплачивает стипендию после прохождения ...
Удаленный Оператор чата (подработка)
, 50000 руб.– Партнеру Тинькофф банка срочно требуются консультанты на входящие сообщения и звонки. Успейте оставить отклик на вакансию прямо сейчас! ПЛЮСЫ Удаленная работа. Без продаж. Только входящие обращения. Без опыта. Компания выплачивает стипендию после прохождения ...
Оператор колл-центра
, 15000 руб.– Фонд Общественное мнение - Татарстан проводит социальные, маркетинговые и политические исследования с 1999 года. Компания имеет огромный опыт работы на рынке market research и хорошую деловую репутацию среди профессионального сообщества. К нам в команду ...
Удаленная подработка - оператор дистанционной обработки данных (работа из дома БЕЗ ЗВОНКОВ)
, 70000 руб.– компания "работа - персонал" удаленная работа с текстом и обработкой данных без звонков (подработка/совмещение) работай из дома в комфорте и не трать деньги на дорогу! отлично подходит для тех кому нужна: подработка/удаленно/на дому/из дома. обязанности: ...
Удаленная подработка - оператор дистанционной обработки данных (работа из дома БЕЗ ЗВОНКОВ)( РАБОТА - ПЕРСОНАЛ )
, 70000 руб.– компания "работа - персонал" удаленная работа с текстом и обработкой данных без звонков (подработка/совмещение) работай из дома в комфорте и не трать деньги на дорогу! отлично подходит для тех кому нужна: подработка/удаленно/на дому/из дома. обязанности: ...
– компания "работа - персонал" удаленная работа с обращениями и обработкой данных без опыта (подработка/совмещение) работай из дома в комфорте и не трать деньги на дорогу! отлично подходит для тех кому нужна: подработка/удаленно/на дому/из дома. обязанности: ...
Ум и мята - авторские обзоры
ТОП-вакансий за последние 24 часа.
Свежие вакансии «требуется оператор пк на дому» в регионе Татарстан
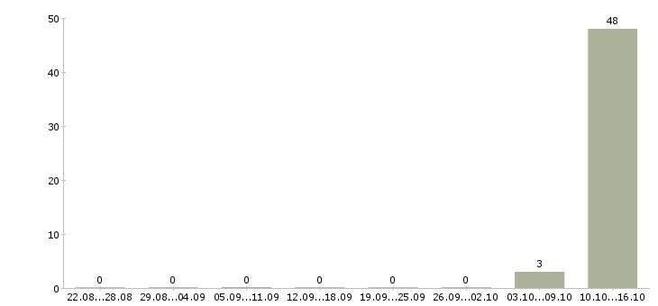
Число вакансий Татарстан по специальности требуется оператор пк на дому за 2 месяца
В регионе Татарстан предлагается большое количесвто разных вакансий. Место страницы в общем рейтинге – 0. Самые популярные формы занятости - «Частичная». Другие популярные вакансии в регионе Татарстан:
Медиана зарплат требуется оператор пк на дому Татарстан за 2 месяца
- «Требуется Онлайн Оператор ПК на дому!»;
- «Работа на дому»;
- «Рекрутер-оператор»;
- «Наборщики текста. Операторы ПК»;
- «Работа на дому в интернете».

Медианное значение месячной заработной платы в регионе Татарстан в текущем году составляет 24000 руб. Наиболее длинный список свободных мест предлагают компании:
- «Издательство»;
- «Ирина»;
- «ООО Экспресс»;
Максимум заработной платы по вакансиям составляет 50000 руб. Иследования проводились по региону. На интерес к этой профессии указывает и количество запросов в поисковике за месяц: 0. При этом минимальная зарплата в текущем месяце ‒ 15200 руб. Одной из самых популярных специализаций является вакансия требуется оператор пк на дому. Данная вакансия имеет и другие названия, нарпимер требуется оператор пк на дому. Как ни странно, даже на должность требуется оператор пк на дому бывает значительная конкуренция. Специализация требуется оператор пк на дому относится к следующей категории:. Бизнес-консерватизм в сфере форм занятости остается привержен форме Частичная, а количество таких вакансий в Москве составляет порядка 7. К региону относятся еще несколько городов с указанной вакансией, это:. При поиске работы на должность «требуется оператор пк на дому» по всем регионам, можно найти 2283 вакансии. Хорошее место работы в регионе Татарстан для специализации «требуется оператор пк на дому» найти нетрудно. Умелые специалисты на должность «требуется оператор пк на дому» чаще всего получают зарплату в размере 24000 руб. 31500 – средняя зарплата требуется оператор пк на дому, которую можно проследить по текущим запросам пользователей за месяц. Также в указанной категории есть и другие специализации:. В настоящее время на сайтах по поиску работы выставлено 79 вакансий по этой категории. Зарплата «требуется оператор пк на дому» чаще всего составляет 24000 руб. Число вакансий по региону Татарстан составляет 31 позиция, многие соискатели могут найти для себя подходящий вариант. Общее количество вакансий относительно этой специализации по всем городам региона составляет позиций.
- Работа вакансии
- Информация
- Найти работу
- Работа в вашем городе