Должность:
Регион:
- семейные пары в Ульяновске
- семейная пара в Ульяновске
- семейная пара вахта в Ульяновске
- семейная пара на вахту в Ульяновске
- семейные пары на вахту в Ульяновске
- семейные пары вахта в Ульяновске
- вахта семейным парам в Ульяновске
- семейная пара с проживанием в Ульяновске
- семейные пары с проживанием в Ульяновске
- семейная пара без опыта работы в Ульяновске
- семейные пары на склад в Ульяновске
- семейные пары на склады в Ульяновске
- упаковщик семейная пара в Ульяновске
- семейная пара на производство в Ульяновске
- семейна пара на производство в Ульяновске
- водитель семейный в Ульяновске
- семейный водитель в Ульяновске
- водитель семейный на сменный график в Ульяновске
- требуются на работу в Ульяновске
- требуется сотрудник в Ульяновске
- требуются сотрудники в Ульяновске
- требуются рабочие в Ульяновске
- требуются сотрудники в компанию в Ульяновске
- требуются менеджеры в Ульяновске
- требуется менеджер в Ульяновске
- требуются специалисты в Ульяновске
- специалисты требуются в Ульяновске
- требуется специалист в Ульяновске
- требуется менеджер по продажам в Ульяновске
- в крупную компанию требуются сотрудники в Ульяновске
- требуются сотрудники в крупную компанию в Ульяновске
Работа «требуется семейная пара» в Ульяновске, 5 свежих вакансий
– условия: • оплата за вахту – от 55.000 руб. (на руки, без каких-либо удержаний!) в зависимости от объекта. • смены дневные 08.00-20.00, и ночные 20.00-08.00. выходной по согласованию с бригадиром. 2 обеда по 30 минут. перекуры не ограничены. • на производстве ...
– условия: • оплата за вахту – от 55.000 руб. (на руки, без каких-либо удержаний!) в зависимости от объекта. • смены дневные 08.00-20.00, и ночные 20.00-08.00. выходной по согласованию с бригадиром. 2 обеда по 30 минут. перекуры не ограничены. • на производстве ...
Комплектовщики(цы).Вахта.Еженедельные выплаты
, 55000 руб.– ?На крупнейший склад цифровой техники в Московскую область требуются сотрудники – комплектовщики(цы)???Приглашаем мужчин, женщин, а также семейные пары на вахту от 35 смен с проживанием и питанием.*Оклад указан за 75 смен!✅ В КАРАНТИН Мы РАБОТАЕМ!Доход ...
Фасовщики/Упаковщики/Работа Вахтой/Без опыта
, 94000 руб.– Открыт набор на вакансию грузчик-упаковщик, упаковщица БЕЗ ОПЫТА!РАСЧЕТ ЕЖЕНЕДЕЛЬНЫЙ, работа ВАХТОВЫМ МЕТОДОМ с БЕСПЛАТНЫМ проживанием, транспортом и питанием!!!Доход:РАСЧЕТ ЕЖЕНЕДЕЛЬНЫЙ? За 15 смен - от 24 000 рублей и выше.? За 30 смен - от 47 000 рублей ...
Комплектовщик на склад косметики (вахта)
, 65000 руб.– Работа Вахтой В Москве Работа Комплектовщиком!Условия: официальное оформление в день обращения в офис. - Заселение в день обращения. - Выход на работу на следующий день. - Вахта 30/45/60 смен на выбор. График работы 6/1 - Смены дневные или ночные по ...
Ум и мята - авторские обзоры
ТОП-вакансий за последние 24 часа.
Лучшие вакансии «требуется семейная пара» в регионе Ульяновск
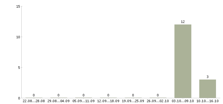
Число вакансий в Ульяновске по специальности требуется семейная пара за 2 месяца
Средний уровень дохода представителей специальности - 46600. В России на данный момент востребована работа по специализаци требуется семейная пара. В регионе Ульяновск специализация требуется семейная пара является очень востребованной, поэтому количество вакансий по всем специализациям в категории достигает 477 позиций. Прочие популярные специализации в регионе Ульяновск:
График распределения вакансий «требуется семейная пара» по зарплате
- «Комплектовщик»;
- «Водитель погрузчика»;
- «Сотрудники в цех готовых колбас».

Медианное значение месячной заработной платы в регионе Ульяновск в текущем году составляет 47500 руб. На рынке труда различают три формы занятости: вахтовый. Также должность требуется семейная пара может называться требуется семейная пара в некотрых фирмах. Поиск работы необходимо искать в таких разделах, как. Указанная вакансия популярна и в таких городах области, как:
Медиана зарплаты для вакансии «требуется семейная пара» в других городах
- Карсун
- Кадышево
- Нагаево
- Краснополка
- Малое Станичное
Специальность требуется семейная пара предполагает следующие ответвления:. По вакансии «требуется семейная пара» предлагается по всей стране 2128 позиций. Работа для хорошего требуется семейная пара есть всегда. Не найдете дома – просмотрите
- Карсун
- Кадышево
- Нагаево
- Краснополка
- Малое Станичное
Обязательно найдете!. В то время как максимальная достигает 58600 руб. Наиболее популярными работодателями на территории РФ являются компании:
- «Master Staff Group»;
- «СТС Групп»;
- «Твой Дом»;
Как правило, заработная плата сотрудников по вакансиям составляет 47500 руб. Данные по заданой категории брались по региону Ульяновская область. Количество свободных вакансий по заданному региону – 18 позиций. Общий поисковый рейтинг запрашиваемой страницы с указанной вакансией – это 0 мест в списке рабочих мест по региону Ульяновск. Поиск работы – покоряем Ульяновск. Минимальная заработная плата по указанной специализации в месяц составляет 35000 руб. По всем уголкам региона Ульяновская область требуется 0 человек на данную вакансию. Страница на сайте запрошена 0 раз за месяц. Хорошее место работы в регионе Ульяновск для специализации «требуется семейная пара» найти нетрудно. Умелые специалисты на должность «требуется семейная пара» чаще всего получают зарплату в размере 47500 руб. Предлагаются «вахтовый» формы занятости.
- Работа вакансии
- Информация
- Найти работу
- Работа в вашем городе