Должность:
Регион:
- сотрудник склада вахта в Энгельсе
- комплектовщик на склад на вахту в Энгельсе
- рабочий на вахту в Энгельсе
- рабочие на вахту в Энгельсе
- грузчик на вахту в Энгельсе
- грузчики на вахту в Энгельсе
- разнорабочий на вахту в Энгельсе
- разнорабочие на вахту в Энгельсе
- комплектовщики на вахту в Энгельсе
- комплектовщик на вахту в Энгельсе
- грузчик на вахту с проживанием в Энгельсе
- требуются разнорабочие на вахту в Энгельсе
- кассир на вахту в Энгельсе
- грузчик комплектовщик на вахту в Энгельсе
- водители на вахту в Энгельсе
- водитель на вахту в Энгельсе
- требуются грузчики на вахту в Энгельсе
- требуется комплектовщик на вахту в Энгельсе
- упаковщик на вахту в Энгельсе
- упаковщики на вахту в Энгельсе
- мерчендайзер на вахту в Энгельсе
- сотрудник на пк в Энгельсе
- сотрудник на дому в Энгельсе
Работа «сотрудники на вахту» в Энгельсе, 32 свежие вакансии
Сотрудник склада (вахта)
, 80000 руб.– компания "ozon" ️приглашаем на вахту в г. москва, для осуществления приемки и упаковки товаров на складе ozon!можно без опытамы предоставляем бесплатное проживание, питание, компенсацию стоимости билетов.оформление по договору гпх.вахта в москве на 30 ...
Сварщик на полуавтомат
, 105000 руб.– Наша компания является первой в своем направлении! 19 лет на рынке труда! Мы сотрудничаем с крупнейшими строительными организациями! Наши специалисты ведут строительство стратегически важных объектов по всей России! Мы ценим и достойно оплачиваем труд ...
Экспедитор-грузчик (вахта)
, 80000 руб.– в компании ооо"м-лига" открыт набор:"экспедитор (сопровождающий, грузчик)" на автомобили компании: "пежо боксер, мерседес спринтер". организация осуществляет пассажирские (до 5 человек) и грузовые автоперевозки для юридических лиц. работа вахтами из ...
Водитель категории В на автомобиль компании
, 80000 руб.– в компании ооо"м-лига" открыт набор: "водителей категории "в" на автомобили компании: "пежо боксер, мерседес спринтер". компания осуществляет грузовые автоперевозки для корпоративных клиентов. требуемый стаж вождения по правам не менее года. работа вахтами ...
– компания "базис" компания basis - лидер рынка рф по погружению свай работаем в москве и московской области в нашу команду ищем ответственного кладовщика-комплектовщика на склад запчастей и инструментов что нужно делать: сборка запчастей и инструментов ...
Сотрудник склада
, 80000 руб.– ️ПРИГЛАШАЕМ НА ВАХТУ В Г. МОСКВА, ДЛЯ ОСУЩЕСТВЛЕНИЯ ПРИЕМКИ И УПАКОВКИ ТОВАРОВ НА СКЛАДЕ OZON!МОЖНО БЕЗ ОПЫТАМы предоставляем БЕСПЛАТНОЕ ПРОЖИВАНИЕ, питание, компенсацию стоимости билетов.Оформление по договору ГПХ.Вахта в Москве на 30 дней (с возможностью ...
Упаковщик, стикеровщик (можно семейные пары) Вахта
, 55000 руб.– условия: • оплата за вахту – от 55.000 руб. (на руки, без каких-либо удержаний!) в зависимости от объекта. • смены дневные 08.00-20.00, и ночные 20.00-08.00. выходной по согласованию с бригадиром. 2 обеда по 30 минут. перекуры не ограничены. • на производстве ...
– условия: • оплата за вахту – от 55.000 руб. (на руки, без каких-либо удержаний!) в зависимости от объекта. • смены дневные 08.00-20.00, и ночные 20.00-08.00. выходной по согласованию с бригадиром. 2 обеда по 30 минут. перекуры не ограничены. • на производстве ...
Слесарь по сборке металлоконструкций
, 105000 руб.– Наша компания является первой в своем направлении! 19 лет на рынке труда! Мы сотрудничаем с крупнейшими строительными организациями! Наши специалисты ведут строительство стратегически важных объектов по всей России! Мы ценим и достойно оплачиваем труд ...
Упаковщик/Упаковщица на шоколад (Москва)
, 63000 руб.– компания "ancor" на производство шоколадных конфет г. ступино требуются сотрудники на должность упаковщик!❗вахта, срочное заселениеорганизован бесплатный автобус с саратова! ✅ обязанности: - упаковка шоколадок на линии ✅ условия: вахта от 30 смен 1800р ...
Работник на производство в г. Елабуге
, 90000 руб.– компания "ancor" вахта на крупное производство по изготовлению аккумуляторов в г. елабуга (проживание+питание) требуются сотрудники. готовы обучать!!⏭️ что мы предлагаем: ❓ ✔️ ✅45 смен 90 000✅60 смен 120 000 ✅ график 4/1 или 5/1 (дневные и ночные смены);✅ ...
Слесарь-электромонтажник
, 90000 руб.– компания "энкорп" в связи со значительным увеличением объёма производства по госзаказу, открыт набор сотрудников. на предприятие предусмотрена бронь. условия: рабочее место на территории кмт — ломоносовский опытный завод (оао пф кмт ) повременно-премиальная ...
Оператор - упаковщик
, 78400 руб.– компания "мясницкий ряд" обязанности: работа на дорогостоящем оборудовании (конвейерные линии). упаковка колбасных изделий, сосисок и др. преимущество отдаем сотрудникам с опытом на линиях (конвейерах). ручные операции (наклейка этикеток, стикеровка, ...
Маляр по металлу
, 88000 руб.– Обязанности: Покраска свай Требования: Опыт работы с пневмо- и электроинструментом. Ответственность. Условия: Работа ВАХТОЙ 30/30 Жилье предоставляется Компенсация проезда Работа в крупной стабильной компании Оформление по ТК График работы по 12 ...
Обработчик металла
, 88000 руб.– Обязанности: Зачистка электро и пневмоинструментом (болгаркой) дефектов металла и трубы, управление механизацией установки и вспомогательным оборудованием. Выполнение регламентных работ по оборудованию. Требования: Образование среднее. Умение работать ...
Охранник без лицензии
, 80000 руб.– в компании ооо"м-лига" открыт набор: "охранник без лицензии в поездки с грузом по назначению логиста на автомобиль компании: "пежо боксер, мерседес спринтер" охраняем небольшие сборные грузы. работа вахтами из города санкт-петербург. для иногородних ...
Куратор
, 80000 руб.– в компании ооо"м-лига" открыт набор: "куратор в поездки с грузом по назначению логиста на автомобиль компании: "пежо боксер, мерседес спринтер" охраняем небольшие сборные грузы. работа вахтами из города санкт-петербург. для иногородних предоставляется ...
Кладовщик-комплектовщик (вахта)
, 55000 руб.– компания "армтек" открыт набор на должность комплектовщик. приглашаем на работу вахтовым методом с проживанием в ближайшее подмосковье! предоставляется бесплатное комфортабельное общежитие, оборудованное всеми необходимыми хозяйственными предметами (холодильник, ...
Электросварщик ручной сварки по алюминию
, 100000 руб.– компания "энкорп" в связи со значительным увеличением объёма производства по госзаказу, открыт набор сотрудников . на предприятие предусмотрена бронь. условия: рабочее место на территории кмт — ломоносовский опытный завод (оао пф кмт ) повременно-премиальная ...
Токарь-расточник( НПО «Наука» )
, 95000 руб.– компания "нпо наука " внимание! вакансия на новом заводе во владимирской области (лидер авиационно-космической отрасли по разработке и производству систем жизнеобеспечения самолетов, вертолетов и космических кораблей). иногородним кандидатам предлагаем ...
Разнорабочий( SpaceResource )
, 52800 руб.– компания "spaceresource" крупное производство полипропиленовых труб в городе энгельс; обязанности: засыпка материала; упаковка и комплектовка; разгрузка сырья и товаров. требования: опыт работы на производстве/складе желателен; ответственность, аккуратность, ...
Обработчик металла
, 88000 руб.– компания "загорский трубный завод" обязанности: зачистка электро и пневмоинструментом (болгаркой) дефектов металла и трубы, управление механизацией установки и вспомогательным оборудованием. выполнение регламентных работ по оборудованию. требования: ...
Электросварщик ручной сварки по алюминию
, 100000 руб.– В связи со значительным увеличением объёма производства по Госзаказу, открыт набор сотрудников . Условия: Рабочее место на территории КМТ — Ломоносовский опытный завод (ОАО ПФ КМТ ) Повременно-премиальная "белая" оплата труда Вахта 30/30 (суточные ...
Слесарь-электромонтажник
, 90000 руб.– В связи со значительным увеличением объёма производства по Госзаказу, открыт набор сотрудников. Условия: Рабочее место на территории КМТ — Ломоносовский опытный завод (ОАО ПФ КМТ ) Повременно-премиальная "белая" оплата труда Вахта 30/30 (Суточные ...
Геодезист
, 60000 руб.– Наша компания предоставляет полный комплекс услуг по сооружению свайных фундаментов прогрессивным методом статического вдавливания (нулевой цикл стройки). Приглашаем выпускников по специальности "Геодезист" для дальнейшего обучения и роста внутри нашей ...
Крановщик/машинист автокрана график 15\15
, 60000 руб.– компания "вариантор" наша компания предоставляет полный комплекс услуг по сооружению свайных фундаментов методом статического вдавливания (нулевой цикл стройки). условия работы для наших сотрудников: выплата заработной платы без задержек оплата от 3 ...
Геодезист
, 60000 руб.– компания "вариантор" наша компания предоставляет полный комплекс услуг по сооружению свайных фундаментов прогрессивным методом статического вдавливания (нулевой цикл стройки). приглашаем выпускников по специальности "геодезист" для дальнейшего обучения ...
Машинист крана
, 65000 руб.– Управление крановой установкой сваевдавливающей машины (мы сами переобучаем для работы на нашей технике при наличии у Вас соответствующих удостоверений. Процесс переобучения занимает в среднем 7 дней). Оплата от 3 000 в день (11-ти часовой рабочий день) ...
Машинист-тракторист
, 65000 руб.– управление сваевдавливающей установкой (мы сами переобучаем для работы на нашей технике при наличии у Вас соответствующих удостоверений. Процесс переобучения занимает в среднем 7 дней) оплата от 3 000 в день (11-ти часовой рабочий день) вахта 21/21, г ...
Машинист крана
, 65000 руб.– компания "вариантор" управление крановой установкой сваевдавливающей машины (мы сами переобучаем для работы на нашей технике при наличии у вас соответствующих удостоверений. процесс переобучения занимает в среднем 7 дней). оплата от 3 000 в день (11-ти ...
Машинист-тракторист
, 65000 руб.– компания "вариантор" управление сваевдавливающей установкой (мы сами переобучаем для работы на нашей технике при наличии у вас соответствующих удостоверений. процесс переобучения занимает в среднем 7 дней) оплата от 3 000 в день (11-ти часовой рабочий ...
– компания "тэсс сибирь" обязанности: обеспечивает исправное состояние, безаварийную и надежную работу обслуживаемых устройств и оборудования, правильную их эксплуатацию, своевременный качественный ремонт требования: стаж работы от 3-х лет среднее профессиональное, ...
Ум и мята - авторские обзоры
ТОП-вакансий за последние 24 часа.
Как «сотрудники на вахту» может найти хорошее место работы в регионе Энгельс
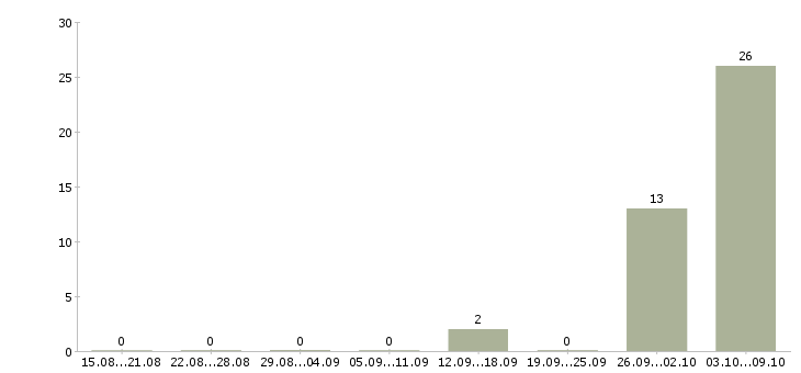
Число вакансий в Энгельсе по специальности сотрудники на вахту за 2 месяца
По всем городам в области насчитывается 0 вакансий. ТОП популярных форм занятости - «вахта», «полная». Статистика о вакансии сотрудники на вахту включает в себя информационные данные, полученные с таких городов региона Саратовская область, как:
График распределения вакансий «сотрудники на вахту» по зарплате
- Романовка
- Таволжанский
- Осиновка
- Подгорное
- Памятка

60400 – средняя зарплата сотрудники на вахту, которую можно проследить по текущим запросам пользователей за месяц. По всей стране количество вакансий на должность «сотрудники на вахту» - 55925 позиций. Вакансия «сотрудники на вахту» позволяет получать высокую конкурентоспособную зарплату в регионе Энгельс. Вакансия «сотрудники на вахту» позволяет получать достойную заработную плату в регионе Энгельс. В общем списке страница с указанной вакансией находится на 0 позиций. Энгельс – вполне нормальное место, чтобы зарабатывать, даже на должности сотрудники на вахту. Можно встретить другое название этой специализации - сотрудники на вахту. Медиана заработной платы за месяц составляет 56000 руб. Количество вакансий по всем специализациям в категории составляет 15024 позиции. В регионе Энгельс потенциальные работодатели на сегодняшний день предлагают 26 вакансий по данной специализации. Прочие популярные специализации в регионе Энгельс:
Медиана зарплаты для вакансии «сотрудники на вахту» в других городах
- «Работа вахтой»;
- «Мерчендайзер в магазин»;
- «Разнорабочий (вахта с проживанием)».
Поиск работы и самые актуальные вакансии: Энгельс. Наиболее популярными работодателями на территории РФ являются компании:
- «Агат»;
- «Твой Дом»;
- «Метро Групп»;
Заработная плата в вакансиях работодателей составляет - 56000 руб. Вакансии сотрудники на вахту входят в более крупную категорию специалистов –. Максимальная заработная плата в месяц достигает 90000 руб. Минимум заработка по текущему запросу зафиксирован на показателе в 35000 руб. Одной из самых популярных специализаций является вакансия сотрудники на вахту. Бизнес-консерватизм в сфере форм занятости остается привержен форме вахта, а количество таких вакансий в Москве составляет порядка 10. Специальность сотрудники на вахту очень популярна, в месяц количиство запросов на сайте достигает 0 штук. В указанной выше категории есть вакансии по другим специализациям:. Вакансия сотрудники на вахту относится к региону Саратовская область в разделе выбора места поиска работы.
- Работа вакансии
- Информация
- Найти работу
- Работа в вашем городе