Должность:
Регион:
- продажа автомобилей Якутия
- менеджер по продаже автомобилей Якутия
- менеджер по продажам автомобилей Якутия
- руководитель отдела продаж автомобилей Якутия
- менеджер отдела продаж автомобилей Якутия
- начальник отдела продаж автомобилей Якутия
- менеджер по корпоративным продажам автомобилей Якутия
- менеджер активных продаж автомобилей Якутия
- старший менеджер по продажам автомобилей Якутия
- специалист продаж и обслуживания Якутия
- менеджер по продажам на автомобиле Якутия
- менеджер по продажам с автомобилем Якутия
- менеджер по продаже новых автомобилей Якутия
- менеджер по продажам новых автомобилей Якутия
- менеджер по продаже легковых автомобилей Якутия
- специалист офиса продаж Якутия
- помощник специалиста по продажам Якутия
- специалист по продажам Якутия
- специалист по продаже Якутия
- специалист отдела продаж Якутия
- специалист в офис продаж Якутия
- специалист отдела продаж в офис Якутия
- специалист в отдел продаж Якутия
- специалисты в отдел продаж Якутия
- специалист в отдел по продажам Якутия
- специалист активных продаж Якутия
- специалист по активным продажам Якутия
- специалист с опытом продаж Якутия
- специалист по продажам услуг Якутия
- специалист по продаже услуг Якутия
- специалист по развитию продаж Якутия
Работа «специалист по продажам автомобилей» Якутия, 19 свежих вакансий
– Спутниковое ТВ МТС — часть мультисервисной цифровой экосистемы МТС. Мы открываем доступ к сотням телеканалов с разнообразным и увлекательным контентом для жителей по всей России: от мегаполисов до маленьких населенных пунктов, чтобы сделать жизнь ярче ...
– Спутниковое ТВ МТС — часть мультисервисной цифровой экосистемы МТС. Мы открываем доступ к сотням телеканалов с разнообразным и увлекательным контентом для жителей по всей России: от мегаполисов до маленьких населенных пунктов, чтобы сделать жизнь ярче ...
– компания "спутниковое тв мтс" спутниковое тв мтс — часть мультисервисной цифровой экосистемы мтс. мы открываем доступ к сотням телеканалов с разнообразным и увлекательным контентом для жителей по всей россии: от мегаполисов до маленьких населенных пунктов, ...
– компания "спутниковое тв мтс" спутниковое тв мтс — часть мультисервисной цифровой экосистемы мтс. мы открываем доступ к сотням телеканалов с разнообразным и увлекательным контентом для жителей по всей россии: от мегаполисов до маленьких населенных пунктов, ...
– компания "спутниковое тв мтс" спутниковое тв мтс — часть мультисервисной цифровой экосистемы мтс. мы открываем доступ к сотням телеканалов с разнообразным и увлекательным контентом для жителей по всей россии: от мегаполисов до маленьких населенных пунктов, ...
– Обязанности: Планирование деятельности на вверенной территории. Выполнение плана продаж и сопутствующих KPIs. Подключение новых торговых точек. Контрактование. Установка торгового оборудования. Управление ассортиментной матрицей и обеспечение рекламными ...
– компания "спутниковое тв мтс" спутниковое тв мтс — часть мультисервисной цифровой экосистемы мтс. мы открываем доступ к сотням телеканалов с разнообразным и увлекательным контентом для жителей по всей россии: от мегаполисов до маленьких населенных пунктов, ...
– компания "спутниковое тв мтс" спутниковое тв мтс — часть мультисервисной цифровой экосистемы мтс. мы открываем доступ к сотням телеканалов с разнообразным и увлекательным контентом для жителей по всей россии: от мегаполисов до маленьких населенных пунктов, ...
Специалист по взысканию просроченной задолженности
, 70000 руб.– компания "совкомбанк" совкомбанк – универсальный крупнейший частный банк россии с уникальной корпоративной культурой, современным подходом к работе и технологичными решениями. ты амбициозен и хочешь много зарабатывать? приходи работать в совкомбанк! обязанности: ...
– компания "спутниковое тв мтс" спутниковое тв мтс — часть мультисервисной цифровой экосистемы мтс. мы открываем доступ к сотням телеканалов с разнообразным и увлекательным контентом для жителей по всей россии: от мегаполисов до маленьких населенных пунктов, ...
– Филиал Федеральной лизинговой компании в г. Якутск приглашает на работу Специалиста по работе с клиентами. Мы будем рады видеть в своей команде сильных, успешных специалистов в области продаж, которым интересно развитие в финансовой сфере. Станьте лицом ...
Специалист по взысканию просроченной задолженности
, 100000 руб.– компания "совкомбанк" совкомбанк – универсальный крупнейший частный банк россии с уникальной корпоративной культурой, современным подходом к работе и технологичными решениями. ты амбициозен и хочешь много зарабатывать? приходи работать в совкомбанк! обязанности: ...
Менеджер по ключевым клиентам
, 115000 руб.– Обязанности: Анализ рынка на вверенной территории Разработка и исполнение локальной стратегии продаж Определение ключевых клиентов в ЛПУ, анализ их потенциала, поиск новых возможностей, развитие бизнеса Организация процесса госпитальных закупок, розничных ...
Менеджер по продажам автозапчастей
, 50000 руб.– компания "гриффин" компания "гриффин" молодая и динамично развивающаяся. на рынке продаж запчастей к грузовым автомобилям мы работаем с 2012 г. мы занимаемся поставкой новых и контрактных запчастей на российский рынок. за десять лет успешной деятельности ...
Инженер по обслуживанию банковского оборудования
, 50000 руб.– компания "атм альянс" атм альянс - торгово-сервисная компания приглашает на работу специалиста по сервисному обслуживанию банковского оборудования. мы специализируемся на продаже и комплексном сервисном обслуживании кассового, банковского и технологического ...
Менеджер по ключевым клиентам (КАМ)
, 100000 руб.– компания "евросервис" обязанности: анализ рынка на вверенной территории разработка и исполнение локальной стратегии продаж определение ключевых клиентов в лпу, анализ их потенциала, поиск новых возможностей, развитие бизнеса организация процесса госпитальных ...
Менеджер отдела продаж В2В
, 150000 руб.– компания "восточный полюс" основной профиль деятельности компании, - комплексный поставщик товаров технического назначения (смазочных материалов, охлаждающих жидкостей, автомобильных шин для грузовой и крупногабаритной техники). головной офис в г. владивосток ...
– компания "carcade leasing" carcade - автолизинг федерального масштаба. 1996 год – первая автолизинговая компания в рф, с апреля 2020 года carcade входит в гк газпромбанк лизинг. по итогам исследования российского рынка лизинга 2021 года эксперт ра группа ...
Оператор склада (кладовщик)
, 50000 руб.– компания "востокевротехника" в автосалон hyundai требуется специалист на должность менеджер по продажам запчастейрезюме с пометкой "менеджер по продажам запчастей (авто)" отправлять на электронную почту msivanov обязанности:- подбор и продажа запасных ...
Ум и мята - авторские обзоры
ТОП-вакансий за последние 24 часа.
«Специалист по продажам автомобилей»: управляющий торговым процессом
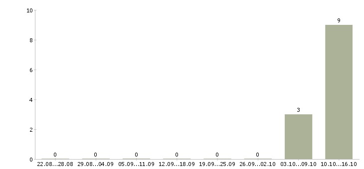
Число вакансий Якутия по специальности специалист по продажам автомобилей за 2 месяца
Медианный доход по специальности специалист по продажам автомобилей за месяц составил 31000 руб. Наиболее длинный список свободных мест предлагают компании:
Медиана зарплат специалист по продажам автомобилей Якутия за 2 месяца
- «Эй Пи Трейд»;
- «Гедеон Рихтер»;
- «Отличные наличные»;

Все крупные города области предлагают в совокупности вакансий. предлагает большое число вакансий по специальности специалист по продажам автомобилей. Среднее же значение составляет 31000, что весьма неплохо с учетом среднего по стране. Минимальная заработная плата по указанной специализации в месяц составляет 31000 руб. В таком регионе, как Якутия, работу за более чем АВ для специалист по продажам автомобилей найти сложно, но можно. В регионе Якутия существует большая потребность в специалистах разнообразных профессий. Общее количество вакансий в сети равняется равняется 12 позициим. «Специалист по продажам автомобилей» – популярная специализация не только по региону Якутия, но и по всей России. Регион Якутия изобилует вакансиями «специалист по продажам автомобилей». Форма занятности может быть:. Работодатели предлагают соискателям следующие формы занятости:. Прочие популярные специализации в регионе Якутия:
- «Водитель на авто компании»;
- «Специалист по установке оборудования»;
- «Региональный управляющий».
При поиске работы на должность «специалист по продажам автомобилей» по всем регионам, можно найти 7095 вакансий. К альтернативным специализациям в данной категории вакансий относятся:. При этом позиция страницы запроса в общем рейтинге находится на 0 месте. За истекший месяц на сайте зафиксировано 0 запросов по поводу вакансий специалист по продажам автомобилей. Самое популярное значение заработной платы по вакансии «специалист по продажам автомобилей» – 31000 руб. В регионе Якутия потенциальные работодатели на сегодняшний день предлагают 33 вакансии по данной специализации. Максимальная заработная плата по вакансии специалист по продажам автомобилей достигает 31000 руб. Профессия специалист по продажам автомобилей является одной из наиболее востребованных современных специальностей. Вакансия входит в более широкую категорию специальностей. Указанная вакансия популярна и в таких городах региона, как:. Стоит заметить, что должность специалист по продажам автомобилей считается похожей на данную специализацию, но отличается рядом требованиям к кандидатам.
- Работа вакансии
- Информация
- Найти работу
- Работа в вашем городе