Должность:
Регион:
- менеджер по ключевым клиентам в Перми
- ключевой менеджер в Перми
- менеджер по продажам ключевым клиентам в Перми
- менеджер по ведению ключевых клиентов в Перми
- менеджер по привлечению ключевых клиентов в Перми
- менеджер по поиску в Перми
- менеджер по поиску клиентов в Перми
- менеджер по активному поиску клиентов в Перми
- менеджер по поиску новых клиентов в Перми
- менеджер для поиска клиентов в Перми
- менеджер по поиску персонала в Перми
- менеджер по поиску объектов в Перми
- менеджер по продажам без поиска в Перми
- менеджер по поиску недвижимости в Перми
- менеджер по продажам без поиска клиентов в Перми
- менеджер по поиску объектов недвижимости в Перми
- специалист по ключевым клиентам в Перми
- торговый представитель по ключевым клиентам в Перми
- менеджер по поиску коммерческой недвижимости в Перми
- супервайзер по ключевым клиентам в Перми
- специалист по поиску клиентов в Перми
- сотрудник по поиску персонала в Перми
- специалист по поиску позиций в Перми
- специалист по поиску новых клиентов в Перми
- специалист по поиску объектов в Перми
- специалист по поиску объектов недвижимости в Перми
- агент по поиску клиентов в Перми
- поиск партнеров в рф в Перми
- специалист по поиску персонала в Перми
- специалист по поиску тендеров в Перми
Работа «менеджер по поиску ключевых клиентов» в Перми, 88 свежих вакансий
Менеджер по работе с клиентами
, 79000 руб.– Дорогой кандидат! Если ты не боишься перемен в жизни, нацелен на успех, энергичен и не видишь перед собой преград, в достижении целей, тогда тебе к нам! Мы за партнерские отношения, поэтому у нас нет понятия подчиненный , есть только коллеги. Свяжись ...
– В связи с расширением мы в поиске менеджера по работе с федеральными сетями, который будет осуществлять продажу продуктов питания для точек общественного питания. Обязанности: Взаимодействие с федеральными сетями (ключевыми клиентами); Поддержание ...
Менеджер по продажам
, 35000 руб.– АО "Сталепромышленная компания" - крупнейший поставщик металлопроката в России, 31 год на рынке, более 3 000 сотрудников. Развитая филиальная сеть (54 филиала по стране), оптовая и розничная продажа металлопроката, наличие собственных производственных ...
– компания "маслосырзавод порховский" обязанности: развитие и контроль продаж продукции компании на территории; поиск новых клиентов в данном регионе, оценка потенциала и перспектив сотрудничества с клиентами и формирование планов развития; подготовка ...
– компания "viva pharma group" в связи с расширением штата, компания viva pharma group приглашает вас принять участие на конкурсной основе на позицию менеджер по работе с ключевыми клиентами. viva pharma group – эксклюзивный дистрибьютор в области медицинских, ...
HR менеджер/Ведущий Менеджер по персоналу
, 60000 руб.– Приветствуем вас! Мы в поисках Ведущего HR-менеджера в компанию, которая является официальным дистрибьютером бытовой химии крупнейших производителей. На Пермском рынке работает с 2008 года. За это время налажена работа с крупными торговыми сетями, что ...
Менеджер по продажам/Руководитель филиала
, 85000 руб.– Мы - крупная, стабильно развивающаяся компания федерального уровня с 27-ти летним опытом работы на рынке автоаксессуаров, автохимии и запчастей. Приглашаем в нашу команду регионального торгового представителя. Причины появления вакансии: Расширение ...
Менеджер по оптовым продажам
, 35000 руб.– компания "ориент" наша чайная компания samovartime существует на рынке уже более шести лет. за это время мы начали продавать чай и кофе не только по пермскому краю, но и по всей россии, а некоторые из наших заказов доехали до лос-анжелеса. сейчас мы в ...
– Обязанности: Поиск и реализация возможностей развития дистрибьюции продукта на территории ответственности (Пермь, Пермский край); Участие в процессе планирования продаж (маркетинговый бюджет, промо-план, планирование объемов сбыта по каналам / по товарным ...
Менеджер по продажам( Уралэнерго )
, 60000 руб.– компания "уралэнерго" уралэнерго - это 19 лет опыта работы на рынке электротехнической и кабельно-проводниковой продукции. ты окажешься в команде профессионалов, нацеленных на достижение результатов. мы постоянно развиваемся и движемся вперед! сотрудничаем ...
Менеджер по продажам спецтехники (В2В)
, 80000 руб.– компания "тракресурс" компания "тракресурс" создана в 1993 году и сегодня является одним из ведущих поставщиков подъемно-транспортного и дорожно-строительного оборудования в россии. штат сотрудников насчитывает более 650 человек. головной офис находится ...
– Являемся аккредитованной IT компаний Обязанности: Продажи решений на базе SAP, систем проектного управления, портальных решений в промышленные холдинги РФ и СНГ. Поддержание и расширение актуальной клиентской базы. Выявление потребностей существующих ...
– Мы - российская продуктовая ИТ компания. Являемся резидентами “Сколково” и имеем подразделения в Перми и Москве. Делаем облачную платформу умных зданий, разрабатываем оборудование умного дома. Мы - технологический лидер сегмента Умные ЖК , разработчики ...
Региональный менеджер по продажам
, 100000 руб.– Обязанности: Развитие и контроль продаж продукции компании на территории; Поиск новых клиентов в данном регионе, оценка потенциала и перспектив сотрудничества с клиентами и формирование планов развития; Подготовка и участие в переговорных кампаниях ...
– компания "цбк кама" чем предстоит заниматься: развитие и поддержание долгосрочных и эффективных отношений с действующими ключевыми клиентами (переговоры, консультирование, согласование условий заказа) комплексная работа с клиентом по расширению возможных ...
Менеджер по работе с партнёрами (pos-кредитование)
, 70000 руб.– компания "тинькофф" тинькофф в поиске менеджера по развитию программы pos-кредитования для малого и среднего бизнеса. pos-кредитование – это кредит, который можно получить прямо в магазине техники, офисе мобильной связи, мебельном салоне или строительном ...
– компания "объединенная металлургическая компания" обязанности: формирование сбалансированных производственных планов, минимизация переработок и простоев оборудования определение проблемных мест в цепи поставок и поиска вариантов решения проблем, связанных ...
– компания "скб контур" контур.реестро помогает взаимодействовать с росреестром максимально быстро: отправлять запросы на оформление сделок с недвижимостью, получать отчеты по объектам и многое другое. проект работает с ключевыми застройщиками, агентствами ...
Менеджер по оптовым продажам
, 35000 руб.– Наша чайная компания Samovartime существует на рынке уже более шести лет. За это время мы начали продавать чай и кофе не только по Пермскому краю, но и по всей России, а некоторые из наших заказов доехали до Лос-Анжелеса. Сейчас мы в поиске кандидата ...
– Контур.Реестро помогает взаимодействовать с Росреестром максимально быстро: отправлять запросы на оформление сделок с недвижимостью, получать отчеты по объектам и многое другое. Проект работает с ключевыми застройщиками, агентствами недвижимости и банками ...
Менеджер по продажам
, 35000 руб.– Наша чайная компания Samovartime существует на рынке уже более шести лет. За это время мы начали продавать чай и кофе не только по Пермскому краю, но и по всей России, а некоторые из наших заказов доехали до Лос-Анжелеса. Сейчас мы в поиске кандидата ...
– компания "камский кабель" камский кабель - самый крупный кабельный завод в европе, производитель кабельно-проводниковой продукции (более 55 000 маркоразмеров). мы - крепкая команда, динамично развивающийся лидер кабельной отрасли. наша продукция является ...
Менеджер по продажам (Героев Хасана 64а)
, 60000 руб.– компания "уралэнерго" уралэнерго - это 19 лет опыта работы на рынке электротехнической и кабельно-проводниковой продукции. ты окажешься в команде профессионалов, нацеленных на достижение результатов. мы постоянно развиваемся и движемся вперед! сотрудничаем ...
– компания " газпромбанк (акционерное общество)" обязанности: участие совместно с центром по развитию бизнеса с ключевыми клиентами в организации продаж целевым клиентам банковских продуктов и услуг банка поиск и инициирование новых проектов, включая ...
– компания "ancor" международная компания - производитель кондитерских изделий открывает вакансию территориального менеджера по продажам в г. пермь территория ответственности: пермский край организация продаж на закреплённой территории с целью достижения ...
– Чем предстоит заниматься: Развитие и поддержание долгосрочных и эффективных отношений с действующими ключевыми клиентами (переговоры, консультирование, согласование условий заказа) Комплексная работа с клиентом по расширению возможных вариантов сотрудничества, ...
Менеджер по продажам инженерного оборудования
, 60000 руб.– компания "пк норд" о компании. мы – российская производственная компания, молодая и развивающаяся. производим инженерное оборудование для различных сфер промышленности и жкх: блочные тепловые пункты, пластинчатые теплообменники и др. за 4 года на рынке ...
– компания "зенит, банк" обязанности: активный поиск и привлечение клиентов сегмента малого и среднего бизнеса на кредитные продукты; осуществление продаж кредитных продуктов мсб; осуществление продаж иных банковских продуктов и услуг мсб в рамках кросс-продаж; ...
– компания "центр банковских решений" с 2015 года наша команда списывает кредиты и долги физическим лицам через суд, с помощью закона 127-фз о банкротстве .рассматриваем кандидатов на должность менеджера по продажам на постоянную основу.вводное обучение ...
HR менеджер/Ведущий Менеджер по персоналу
, 60000 руб.– компания "hr - агентство detkin&co" приветствуем вас! мы в поисках ведущего hr-менеджера в компанию, которая является официальным дистрибьютером бытовой химии крупнейших производителей. на пермском рынке работает с 2008 года. за это время налажена работа ...
Менеджер по работе с ключевыми клиентами кластера
, 65000 руб.– компания "леруа мерлен" вакансия в г. уфа. обязанности: поиск и привлечение клиентов; обеспечение прогресса товарооборота ключевых клиентов своего профиля; формирование партнерских деловых отношений с представителем клиента; ведение переговоров ...
Региональный менеджер по развитию бизнеса
, 150000 руб.– компания "никтон" команда nicton – это ведущая российская научно-производственная компания, сосредоточившая свои интересы в области альтернативного использования никотина. мы разрабатываем новые продукты в области фармакологии, бад и пищевых компонентов, ...
Менеджер по корпоративным продажам XFIT, г.Пермь
, 50000 руб.– компания "фитнес-клубы x-fit" мы стремительно развиваемся, открывая новые фитнес-клубы! мы приглашаем в нашу команду амбициозных и заинтересованных в успехе людей! функциональные обязанности: продажа клубных карт корпоративным клиентам (работа с действующей ...
– компания "вск, сао" ключевые задачи: поиск и привлечение клиентов и партнеров по ипотечному страхованию. выполнение установленных финансовых и нефинансовых показателей по направлению деятельности. проведение переговоров с ключевыми партнерами. организация ...
– компания "авто-евро" ао авто-евро – один из лидеров рынка дистрибуции автозапчастей с 30-летней историей. международная компания, в том числе, с развитой региональной сетью в россии. численность сотрудников - более 1500 человек по россии. наши партнеры ...
Менеджер по продажам
, 35000 руб.– компания "сталепромышленная компания" ао "сталепромышленная компания" - крупнейший поставщик металлопроката в россии, 31 год на рынке, более 3 000 сотрудников. развитая филиальная сеть (52 филиала по стране), оптовая и розничная продажа металлопроката, ...
– Обязанности: Активный поиск и привлечение клиентов сегмента малого и среднего бизнеса на кредитные продукты; Осуществление продаж кредитных продуктов МСБ; Осуществление продаж иных банковских продуктов и услуг МСБ в рамках Кросс-продаж; Организация и ...
– КАМСКИЙ КАБЕЛЬ - самый крупный кабельный завод в Европе, производитель кабельно-проводниковой продукции (более 55 000 маркоразмеров). Мы - крепкая команда, динамично развивающийся лидер кабельной отрасли. Наша продукция является основой энергетики страны ...
– компания "школа продюсера татьяны маричевой" ищем в команду отдела продаж премиальной программы наставничества мкс менеджера по продажам. ты чемпион в продажах и умеешь работать с чеками от 1 млн. руб.? мы ищем менеджера по продажам на удаленную работу, ...
Менеджер по оптовым продажам( АК ЭНЕРГИЯ )
, 80000 руб.– компания "ак энергия" добрый день! мы, группа компаний "ак "энергия ! мы являемся одним из крупнейших поставщиков автомобильных, грузовых, промышленных и мото аккумуляторов, масел, спецжидкостей, смазок, электрооборудования в уральском федеральном округе, ...
Менеджер по продажам( Сейфити )
, 45000 руб.– компания "сейфити" ооо сейфити успешная и стремительно развивающаяся компания, импортер медицинских перчаток торговой марки "bеnovy", дистрибьютор медицинских, санитарно-гигиенических, косметологических расходных материалов приглашает в свою команду: ...
– компания "первый стройцентр сатурн-р" обязанности: поиск и привлечение новых клиентов количественное и качественное развитие продаж существующей клиентской базы работа с застройщиками, подрядчиками и частными клиентами подготовка коммерческих предложений, ...
Менеджер по новостройкам( Агентство Перемен )
, 40000 руб.– компания "агентство перемен" добрый день, наш будущий менеджер по новостройкам!наше агентство растет, а это значит, пришло время расширить нашу команду профессионалов. в связи с высокой активностью рынка недвижимости, мы рады предложить вам позицию менеджера ...
Менеджер по продажам( Агентство Перемен )
, 40000 руб.– компания "агентство перемен" добрый день, наш будущий менеджер по продажам!наше агентство растет, а это значит, пришло время расширить нашу команду профессионалов. мы рады предложить вам позицию менеджера по продажам в г. перми в компании агентство перемен ...
Менеджер по работе с ключевыми клиентами кластера
, 65000 руб.– компания "леруа мерлен" обязанности: поиск и привлечение клиентов; обеспечение прогресса товарооборота ключевых клиентов своего профиля; формирование партнерских деловых отношений с представителем клиента; ведение переговоров на всех уровнях; ...
– компания "группа компаний itps" обязанности: продажи решений на базе sap, систем проектного управления, портальных решений в промышленные холдинги рф и снг. поддержание и расширение актуальной клиентской базы. выявление потребностей существующих и потенциальных ...
Менеджер по развитию франчайзинговой сети
, 60000 руб.– компания "хмельсолод" обязанности: развитие сети магазинов по франчайзингу внедрение в компании стратегии развития сети (франчайзинг), технологии продаж франшизы поиск новых ключевых партнеров/франчайзи в регионах рф открытие новых магазинов, координация ...
– компания "цбк кама" чем предстоит заниматься: развитие и поддержание долгосрочных и эффективных отношений с действующими ключевыми клиентами (переговоры, консультирование, согласование условий заказа) комплексная работа с клиентом по расширению возможных ...
– компания "вск, сао" ключевые задачи: поиск и привлечение корпоративных клиентов по различным видам страхования (направление - лизинг); выполнение установленных финансовых и нефинансовых показателей по направлению деятельности; проведение переговоров ...
Менеджер по продажам
, 20000 руб.– вакансия компании ооо "рукс" торговля металлорежущим инструментом. обязанности: - поиск и привлечение новых клиентов из имеющихся баз. - ведение базы клиентов в системе "битрикс 24". - количественное и качественное развитие продаж существующей клиентской ...
Ум и мята - авторские обзоры
ТОП-вакансий за последние 24 часа.
Свежие вакансии «менеджер по поиску ключевых клиентов» в регионе Пермь
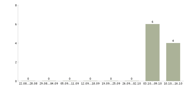
Число вакансий в Перми по специальности менеджер по поиску ключевых клиентов за 2 месяца
Работа по специализаци менеджер по поиску ключевых клиентов в России. Если провести медиану заработной платы за месяц по указанным специализациям, то выйдет число в 50000 руб. Максимальный уровень заработной платы по указанным вакансиям за месяц зафиксирован на отметке в 50000 руб. Кроме региона Пермь, популярностью пользуются такие города, как:
Медиана зарплат менеджер по поиску ключевых клиентов в Перми за 2 месяца
- Верх-Шуртан
- Басино
- Бияваш
- Богородск
- Енапаево

Вакансии менеджер по поиску ключевых клиентов входят в более крупную категорию специалистов –. Наиболее популярные работодатели в регионе:
- «DEEP Services Delivery»;
- «Пермалко»;
- «Медипал ОНКО,ООО»;
91 – такое количество вакансий по всем специализациям в категории предлагается различными организациями. Средний уровень дохода представителей специальности - 45000. Минимальная оплата по данной вакансии в месяц составляет 35000 руб. Общее количество вакансий относительно этой специализации по всем городам региона Пермский край составляет 1 позиция. Форма занятности может быть: «Полная занятость», «частичная занятость». Профессия менеджер по поиску ключевых клиентов практически синоним этой специализации, означает те же самые требования к кандидату. Менеджер по поиску ключевых клиентов и менеджер по поиску ключевых клиентов, для вас работа есть всегда!. Самый большой регион по количеству вакансий – Пермь. Бизнес-консерватизм в сфере форм занятости остается привержен форме Полная занятость, а количество таких вакансий в Москве составляет порядка 17. В данной категории открыто и множество вакансий по смежным специализациям, таким как:. «Менеджер по поиску ключевых клиентов» – востребованный специалист на которого есть спрос в регионе Пермь. Регион Пермь является лидером предложений по этой специализации. Число вакансий по региону Пермь составляет 19 позиций, многие соискатели могут найти для себя подходящий вариант. По вакансии «менеджер по поиску ключевых клиентов» предлагается по всей стране 1461 позиция. Специалисты на эту должность чаще всего получают зарплату в размере 50000 руб. Запрос в поисковике по этой вакансии находится на 0-м месте по отношению к общему рейтингу всех специальностей. Всего за месяц на сайте фиксируется 0 запросов. Вакансия менеджер по поиску ключевых клиентов относится к региону Пермский край в разделе выбора места поиска работы. К списку популярных профессий в регионе Пермь относятся:
- «Менеджер по госпитальным продажам»;
- «Менеджер по продажам систем безопасности»;
- «Менеджер проектов»;
- «Региональный менеджер»;
- «Менеджер по развитию региональных продаж»;
- «Руководитель отдела продаж»;
- «Территориальный менеджер».
- Работа вакансии
- Информация
- Найти работу
- Работа в вашем городе