Должность:
Регион:
- руководитель отдела сервиса в Ставрополе
- менеджер по сервису в Ставрополе
- менеджер сервиса в Ставрополе
- сервис менеджер в Ставрополе
- техник сервиса в Ставрополе
- специалист сервиса в Ставрополе
- оператор сервиса в Ставрополе
- менеджер по продажам сервиса в Ставрополе
- специалист по сервису в Ставрополе
- менеджер по продажам и сервису в Ставрополе
- менеджер уровня сервиса в Ставрополе
- менеджер по сервису и качеству в Ставрополе
- директор по сервису в Ставрополе
- менеджер по продажам услуг сервиса в Ставрополе
- менеджер клиентского сервиса в Ставрополе
- менеджер по клиентскому сервису в Ставрополе
- администратор сервиса в Ставрополе
- менеджер в отдел сервиса в Ставрополе
- менеджер отдела сервиса в Ставрополе
- помощник руководителя в Ставрополе
- руководитель в Ставрополе
- руководитель работ в Ставрополе
- руководитель отдела в Ставрополе
- руководителя отдела в Ставрополе
- помощник руководителя офиса в Ставрополе
- руководитель грузчиков в Ставрополе
- руководитель торгового отдела в Ставрополе
- помощник руководителя по персоналу в Ставрополе
- руководитель офиса в Ставрополе
- руководитель офиса продаж в Ставрополе
Работа «руководитель сервиса» в Ставрополе, 138 свежих вакансий
Менеджер по продажам IT сервисов СБИС (B2B)
, 50000 руб.– О нас: Группа компаний ТЕЛКО основана в 1999 году. Работаем в сфере электронных услуг и услуг связи. Являемся сертифицированным партнёром компании Тензор , официальным партнёром компаний Атол , Эвотор , Штрих-М , Дримкас , Меркурий , УЦ Основание ...
Руководитель группы
, 37000 руб.– Компания VOXYS – один из крупнейших контактных центров России. В связи с непрерывным динамичным ростом компания VOXYS ищет сотрудников в свою дружную команду! Обязанности: Организация и контроль работы группы; Выполнение стандартов и операционных КПЭ ...
Team Lead / Руководитель по продукту CCaaS (Web/Mobile)
, 150000 руб.– ООО "ЧатАпп" входит в реестр ИТ-компаний, аккредитованных Министерством цифрового развития, связи и массовых коммуникаций РФ организаций, осуществляющих деятельность в области информационных технологий. Обязанности: Организация работы отдела разработки, ...
– ООО ПМ-Композит – современное предприятие по производству изделий из композитных материалов, расположен на территории особой экономической зоны Тольятти . Производственная площадка включает оборудование лучших европейских производителей и позволяет ...
Руководитель направления телемаркетинг
, 70000 руб.– компания "яндекс" яндекс предлагает сервисы, которые каждый день помогают пользователям решать задачи и достигать поставленных целей. например, продвигать свои услуги, эффективно управлять командой или учить английский язык. сделать так, чтобы о наших ...
Тимлид клиентского сервиса
, 45000 руб.– компания "яндекс" команда поддержки поиска, геоинформационных и персональных сервисов ищет руководителя службы поддержки. ждём человека, с которым наш саппорт станет лучше и качественнее, а пользователи счастливее. что нужно делать: управлять командой ...
Заместитель руководителя по общим вопросам
, 45000 руб.– компания "филатов вячеслав иванович" в отдел сервиса требуется заместитель,возможно без опыта работы. мне нужен специалист готовый расти,обучаться,развиваться. наличие чувства юмора очень даже приветствуется. требования: от вас нужен настрой на работу ...
Менеджер по продажам IT сервисов СБИС (B2B)
, 50000 руб.– компания "телко" о нас: группа компаний телко основана в 1999 году. работаем в сфере электронных услуг и услуг связи. являемся сертифицированным партнёром компании тензор , официальным партнёром компаний атол , эвотор , штрих-м , дримкас , меркурий ...
Руководитель службы приема и размещения
, 80000 руб.– компания "санаторий плаза" санаторий плаза - это синтез многопрофильного санатория и комфортного отеля с премиальным уровнем сервиса. плаза - это выбор целеустремленных людей, которые стремятся приносить людям радость, создавать для них атмосферу уюта ...
– компания "опт сервис групп" группа компаний "снэкмания" -производственно-торговая компания, основанная в 2012 году. основное направление, оптово-розничная продажа закусок к пиву (снеки), пэт бутылки и логистика по всей россии. большинство позиций мы производим ...
Инженер по сервису дизельных электростанций и компрессорного оборудования( Компрессор - центр )
, 55000 руб.– компания "компрессор - центр" в компанию компрессор-техцентр требуется инженер по сервису дизельных электростанций и компрессорного оборудования. наша компания уже более 15 лет занимается производством и продажей дизельного и компрессорного оборудования ...
Заведующий магазином/Руководитель отдела продаж
, 40000 руб.– компания "sas fashion group (ип ситунова светлана александровна)" наши магазины престижman и дюссельдорф - это пространство комфорта, где можно быстро и стильно одеться с головы до ног! у нас одеваются самые интересные люди нашего города, с которыми ...
Заместитель руководителя по общим вопросам
, 45000 руб.– В отдел сервиса требуется заместитель,возможно без опыта работы. Мне нужен специалист готовый расти,обучаться,развиваться. Наличие чувства юмора очень даже приветствуется. Требования: От Вас нужен настрой на работу и на результат,остальное от нас. Обязанности: ...
Специалист по клиентскому сервису ( ул. Доваторцев )
, 22000 руб.– компания "м.видео-эльдорадо" ты будешь заниматься: — продажей товаров и услуг покупателям — послепродажной проверкой товара и настройкой технического оборудования покупателей — консультированием и экспресс-обучением покупателей по вопросам эксплуатации ...
Руководитель по маркетингу
, 120000 руб.– компания "мтс" мтс — это мультисервисная цифровая экосистема. мы создаем и развиваем сервисы в сфере мобильной связи, больших данных, искусственного интеллекта, облачного хранения, медиа и финансов — все они делают жизнь людей проще и интереснее. ищем ...
Специалист по клиентскому сервису ( ул. Доваторцев )
, 22000 руб.– Ты будешь заниматься: — Продажей товаров и услуг покупателям — Послепродажной проверкой товара и настройкой технического оборудования покупателей — Консультированием и экспресс-обучением покупателей по вопросам эксплуатации технического оборудования ...
– компания "см" сибирский медведь является оператором связи и предоставляет услуги доступа в интернет для частного сектора посредством использования волоконно-оптических линий связи.немного о нас в цифрах:- более 10 лет на рынке;- присутствие в более ...
Руководитель по маркетингу
, 120000 руб.– МТС — это мультисервисная цифровая экосистема. Мы создаем и развиваем сервисы в сфере мобильной связи, больших данных, искусственного интеллекта, облачного хранения, медиа и финансов — все они делают жизнь людей проще и интереснее. Ищем руководителя по ...
Менеджер по продажам B2B-сервисов в Яндекс 360
, 25000 руб.– Яндекс 360 объединяет в себе сервисы для удалённой работы: Почта, Телемост, Диск, Мессенджер, Календарь.Мы постоянно совершенствуемся, поэтому хотим, чтобы клиенты, которые уже пользуются нашими разработками, узнавали о новинках сервисов первыми. Для ...
Менеджер по продажам сервисов для удалённой работы
, 25000 руб.– Яндекс 360 объединяет в себе сервисы для удалённой работы: Почта, Телемост, Диск, Мессенджер, Календарь. Мы постоянно совершенствуемся, поэтому хотим, чтобы клиенты, которые уже пользуются нашими разработками, узнавали о новинках сервисов первыми. Что ...
– Сибирский Медведь является оператором связи и предоставляет услуги доступа в интернет для частного сектора посредством использования волоконно-оптических линий связи.Немного о нас в цифрах:- Более 10 лет на рынке;- Присутствие в более 150 населенных ...
Руководитель службы клиентского сервиса
, 45000 руб.– Команда поддержки поиска, геоинформационных и персональных сервисов ищет руководителя службы поддержки. Ждём человека, с которым наш саппорт станет лучше и качественнее, а пользователи счастливее. Что нужно делать: управлять командой из 20—30 человек; ...
– компания "мастер-центр" профессиональный подход к красоте! мы – это сеть магазинов мастер-центр по продаже профессиональной косметики, инструментов и аксессуаров. более 20 лет мы радуем наших клиентов эксклюзивными брендами, высоким уровнем сервиса ...
Операционный сервис-менеджер
, 47800 руб.– компания "альфа-банк" чем предстоит заниматься: контроль офиса,поддерживать качество сервиса при работе с клиентами консультировать и обслуживать клиентов: помогать с операциями в мобильном приложении или интернет-банке открытие и закрытие операционного ...
Руководитель группы продаж (удаленно)
, 100000 руб.– компания "профистаф" мы крупная федеральная it-компания в поисках руководителя группы продаж. немного о компании: компания специализируется на увеличении продаж для своих клиентов с помощью запатентованного сервиса и существует на рынке более 7 лет.клиентами ...
Руководитель группы продаж (удаленно)
, 100000 руб.– Мы крупная федеральная IT-компания в поисках руководителя группы продаж. Немного о компании: Компания специализируется на увеличении продаж для своих клиентов с помощью запатентованного сервиса и существует на рынке более 7 лет.Клиентами компании являются ...
Специалист клиентского сервиса (ТЦ"Космос")
, 22000 руб.– компания "м.видео-эльдорадо" ты будешь заниматься: — обслуживанием по сервисным программам — обслуживанием покупателей — консультированием покупателей и продажей товаров/услуг из ассортимента — приемом и рассмотрением обращения (претензии) клиентов на ...
Помощник руководителя
, 35000 руб.– компания "human hunter (ип строганова елизавета александровна)" в комитет по развитию молодёжного предпринимательства ставропольского края, который занимается организацией мероприятий (мастермайнды, бизнес-завтраки, экскурсии на предприятия, форумы, поездки ...
Помощник-ассистент руководителя/офис менеджер( SAS Fashion Group (ИП Ситунова Светлана Александровна) )
, 20000 руб.– компания "sas fashion group (ип ситунова светлана александровна)" наши магазины престижman и дюссельдорф - это пространство комфорта, где можно быстро и стильно одеться с головы до ног! у нас одеваются самые интересные люди нашего города, с которыми ...
Помощник маркетолога/помощник руководителя
, 20000 руб.– компания "sas fashion group (ип ситунова светлана александровна)" наши магазины престижman и дюссельдорф - это пространство комфорта, где можно быстро и стильно одеться с головы до ног! у нас одеваются самые интересные люди нашего города, с которыми ...
Руководитель группы риэлторов со своей командой
, 90000 руб.– компания "этажи северный кавказ" если вы руководитель риэлторской группы и хотите: √ сохранить и увеличить свой доход; √ усилить свои управленческие навыки; √ получить инструменты, которые позволят удерживать эффективность, независимо от колебаний рынка ...
Руководитель клиентского центра
, 30500 руб.– компания "почта банк" банк с правильными ценностями и самой широкой региональной сетью обслуживания в стране обязанности: курирование работы клиентского центра; выполнение плановых продаж; формирование доходного портфеля; формирование базы лояльных клиентов; ...
Руководитель отдела продаж (удаленно)
, 100000 руб.– компания "профистаф" мы крупная федеральная it-компания в поисках руководителя отдела продаж. немного о компании: компания специализируется на увеличении продаж для своих клиентов с помощью запатентованного сервиса и существует на рынке более 7 лет.клиентами ...
Руководитель МКЦ (малярно-кузовной цех)
, 60000 руб.– компания "автолэнд" "центр кузовного ремонта" - сервис, успешно реализующий свою деятельность с 2009 г., специализирующийся на обслуживании марок ленд ровер, ягуар, вольво, мазда, форд приглашает на работу руководителя малярно-кузовного цеха. обязанности: ...
– компания "компрессор - центр" в компанию компрессор-техцентр требуется инженер по сервису дизельных электростанций и компрессорного оборудования. наша компания уже более 15 лет занимается производством и продажей дизельного и компрессорного оборудования ...
Операционный сервис- менеджер
, 36800 руб.– компания "альфа-банк" что мы предлагаем: возможность расти вместе с независимым банком № 1 в сообществе умных и свободных людей достойное вознаграждение: оклад 36 800 руб. + ежемесячный бонус по результатам выполнения планов пятидневную рабочую неделю ...
– компания "тк мейджик транс" мейджик транс — федеральная транспортная компания, насчитывающая более 15 лет успешной работы. основное направление деятельности – перевозка сборных грузов по россии. сегодня, география доставки включает более 10 000 населённых ...
Специалист службы поддержки (удаленно)
, 28000 руб.– Чем предстоит заниматься: — консультировать пользователей или партнёров сервиса посредством голосовой входящей или исходящей поддержки;— взаимодействовать с коллегами из смежных отделов Яндекс Маркета, чтобы с блеском решать ежедневные задачи;— развивать ...
– В связи с увеличением количества заявок мы снова расширяем наш штат и набираем в команду новых сотрудников на позицию мастера по ремонту бытовой техники. ОБУЧЕНИЕ ЗА СЧЕТ КОМПАНИИ. Вкратце о нас: занимаемся ремонтом крупной бытовой техники на адресе у ...
Специалист технической поддержки
, 20000 руб.– Приветствую каждого соискателя, читающего эти строки. Меня зовут Максим. Я руководитель направления клиентского успеха, сервиса Завгар.онлайн. Облачное решение для управления автопарком. Основная часть пользователей находится в странах СНГ, но активно ...
– Работа в рамках направления Ozon Fintech – это команда опытных специалистов из области финансов и IT, которой мы гордимся, свобода действий в принятии решений, а также возможность профессионального развития. Вместе мы разрабатываем и развиваем новые для ...
Менеджер по работе с клиентами
, 63000 руб.– Менеджер по работе с клиентами Внимание! Открыта вакансия до 30 января Добрый день! Наша компания, Небо, более 18 лет активно позиционирует себя как надежного и верного партнера, и предоставляет услуги по изготовлению, и установке памятников из гранита, ...
– Мы – команда профессионалов 3Z Офтальмология. Являемся крупнейшей сетью офтальмологических центров в России. Более 19 лет мы оказываем высококвалифицированную помощь пациентам. Наша миссия – искоренять привычку людей к плохому зрению, предлагая им решения ...
Менеджер в детскую школу Архитектуры
, 35000 руб.– Brick to brick – международная студия, которая занимается разработкой архитектурных и дизайн-проектов уже более 7 лет. Мы объединяем талантливых и амбициозных специалистов, отличающихся нестандартным подходом к решению сложных задач. Наша компания развивается ...
Руководитель клиентского центра
, 30500 руб.– компания "почта банк" обязанности: курирование работы клиентского центра; выполнение плановых продаж; формирование доходного портфеля; формирование базы лояльных клиентов; корпоративные продажи; адаптация персонала; повышение качества обслуживания клиентов; ...
Дизайнер (менеджер по продажам) кухонной мебели
, 40000 руб.– Добрый день. Меня зовут Алексей. Я директор Студии Мебели Bella.Уже более 7 лет мы занимаемся производством дизайнерской мебели. Производим стильные кухни и другую мебель на заказ для семей с достатком выше среднего. За время работы, спроектировали и ...
Менеджер по работе с клиентами( НЕБО )
, 63000 руб.– компания "небо" менеджер по работе с клиентами (на готовую базу) внимание! открыта вакансия до 20 декабря. добрый день! наша компания, небо, более 18 лет активно позиционирует себя как надежного и верного партнера, и предоставляет услуги по изготовлению, ...
Оператор чатов (удаленная работа)
, 24000 руб.– Служба поддержки — это дружная команда специалистов, готовых прийти на помощь каждому пользователю в любой ситуации. Мы расширяем свою команду и находимся в поиске ответственных, которые будут готовы присоединиться к нам. Что предстоит делать: работать ...
– Финансовые сервисы – это финансовые продукты внутри Ozon: карта, программа лояльности, рассрочка, страхование и B2B продукты для наших селлеров.Продукты динамично развиваются и растут в числе активных пользователей. Работа в рамках направления финансовых ...
Копирайтер (ИТ писатель)
, 60000 руб.– Мы ищем креативного писателя, с неистовым желанием к изучению IT-сферы, интересующегося мессенджерами, CRM-системами, автоматизацией бизнеса, искусственным интеллектом, ботами и всевозможными IT-новшествами, который любит писать о передовых технологиях ...
Ум и мята - авторские обзоры
ТОП-вакансий за последние 24 часа.
Свежие вакансии «руководитель сервиса» в регионе Ставрополь
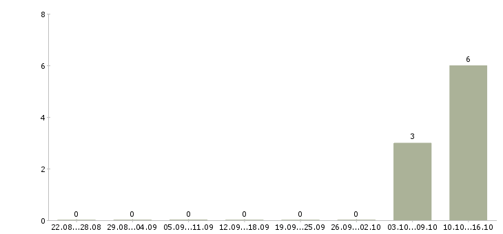
Число вакансий в Ставрополе по специальности руководитель сервиса за 2 месяца
Наибольшее количество рабочих мест по вакансии «руководитель сервиса» организовали такие компании, как
Медиана зарплат руководитель сервиса в Ставрополе за 2 месяца
- «METRO Cash & Carry»;
- «Евросеть»;
- «Proffline»;
Профессия руководитель сервиса является одной из наиболее востребованных современных специальностей. Количество рабочих мест для специалистов «руководитель сервиса» на сегодняшний момент составляет порядка 40 вакансий. Актуальное количество вакансий руководитель сервиса в регионе составляет 0. В настоящее время на сайтах по поиску работы выставлено 2 вакансии по этой категории. Запрос в поисковике по этой вакансии находится на 0-м месте по отношению к общему рейтингу всех специальностей. К этой категории относится и ряд других похожих вакансий:. Наиболее популярной считается форма занятости - Полная занятость, а количество предложений по этой форме - 2 вакансии. Расширенная география просмотра предложений по всем регионам насчитывает более 8829 вакансий «руководитель сервиса»!. Специалисты руководитель сервиса могут рассчитывать на зарплату в 15000 руб. Самые популярные формы занятости - «Полная занятость». Ставрополь – вполне нормальное место, чтобы зарабатывать, даже на должности руководитель сервиса. «Руководитель сервиса» – востребованный специалист на которого есть спрос в регионе Ставрополь. Регион Ставрополь является лидером предложений по этой специализации. За месяц страницу с вакансией руководитель сервиса запрашивали 0 раз. Дання специализация относится к категории . Другие популярные вакансии в регионе Ставрополь:
- «Продавец»;
- «Руководитель отдела персонала»;
- «Продавец-консультант»;
- «Продавец в салон сотовой связи»;
- «Продавец в салон связи Евросеть».
Оплата за выполненную работу имеет разные размеры, но в большинстве случаев, составляет 15000 руб. Стоит заметить, что должность руководитель сервиса считается похожей на данную специализацию, но отличается рядом требованиям к кандидатам. Ставропольский край предлагает большое число вакансий по специальности руководитель сервиса. Размер минимальной заработной платы по указанной специализации в месяц составляет 15000 руб. Максимальная заработная плата по вакансии руководитель сервиса достигает 35500 руб. В регионе Ставрополь довольно распространена вакансия руководитель сервиса. К региону Ставропольский край относятся еще несколько городов с указанной вакансией, это:
- Советское Руно
- Первомайское
- Софиевка
- Родники
- Тахта
А средняя зарплата по специальности равняется 17600.
- Работа вакансии
- Информация
- Найти работу
- Работа в вашем городе