Должность:
Регион:
- оператор колл центра в Иркутске
- специалист телефонного центра в Иркутске
- специалист учебного центра в Иркутске
- специалист информационного центра в Иркутске
- специалист call центра в Иркутске
- специалист центра продаж в Иркутске
- специалист центра обслуживания клиентов в Иркутске
- специалист центра обслуживания клиента в Иркутске
- специалист центра поддержки в Иркутске
- специалист центра поддержки клиентов в Иркутске
- специалист в контактный центр в Иркутске
- менеджер центра продаж в Иркутске
- оператор телефонного центра в Иркутске
- менеджер в учебный центр в Иркутске
- менеджер учебного центра в Иркутске
- call-центр в Иркутске
- оператор call центр в Иркутске
- оператор call центра в Иркутске
- руководитель центра продаж в Иркутске
- оператор в call центр в Иркутске
- продавец в торговый центр в Иркутске
- администратор центра в Иркутске
- оператор информационного центра в Иркутске
- оператор call центра на дому в Иркутске
- оператор call центра удаленно в Иркутске
Работа «специалист колл центра» в Иркутске, 44 свежие вакансии
Специалист колл-центра в медицинский центр
, 30000 руб.– Обязанности: Запись пациентов на прием к врачу (работа с сайтом, телефоном, соц сетями и пр.) Консультирование пациентов по видам услуг. Работа в программе 1С, ведение отчетности, статистики. Осуществление коммуникаций между сотрудниками, передача необходимой ...
– Менеджер обработки телефонных звонков (удаленно, без опыта, без поиска клиентов) в крупнейший в мире онлайн-банк. Надежная работа без потолка в доходе. Удаленная работа. Предусмотрена частичная занятость. Обязанности: - Звонки потенциальным клиентам ...
Специалист колл-центра (удаленно)
, 15000 руб.– компания "цельсий" привет! мы - цельсий, самая тёплая компания иркутска и вот уже 11 лет мы комплектуем объекты социального и стратегического назначения (школы, детские сады, больницы, предприятия, жк) инженерным оборудованием для систем тепло- и водоснабжения ...
Оператор колл-центра (на дому, в Яндекс)
, 23000 руб.– компания "гончаров никита дмитриевич" работа оператором колл-центра в яндекс.такси. необходимо будет заполнить небольшую анкету, после чего с вами свяжутся для интервью. кого ищем? операторов в диспетчерскую яндекс.такси. мы принимаем входящие звонки ...
Оператор колл-центра в медицинский центр
, 30000 руб.– Работа для тех, кто любит поговорить! Группа компаний Эксперт - одна из крупнейших частных сетей диагностических и многопрофильных медицинских центров в России. Мы на рынке с 2007 года и открыли уже более 60 медицинских центров по всей России и в ближнем ...
Оператор в колл-- центр
, 25000 руб.– компания "золотое время" крупная межрегиональная компания, сеть часовых, ювелирных и салонов оптики в связи с расширением представленности в регионе открывает вакансию оператор в колл- центр вакансия подойдет, желающим подработать или тем, кто может ...
– Обязанности: принимать входящие телефонные вызовы на единую бесплатную линию телефонного обслуживания многофункционального центра; обеспечивать телефонное обслуживание заявителей по общим вопросам, относящимся к сфере предоставления государственных и ...
– компания "гк эксперт" работа для тех, кто любит поговорить! группа компаний эксперт - одна из крупнейших частных сетей диагностических и многопрофильных медицинских центров в россии. мы на рынке с 2007 года и открыли уже более 60 медицинских центров ...
Оператор колл-центра в медицинский центр
, 30000 руб.– компания "гк эксперт" работа для тех, кто любит поговорить! группа компаний эксперт - одна из крупнейших частных сетей диагностических и многопрофильных медицинских центров в россии. мы на рынке с 2007 года и открыли уже более 50 медицинских центров ...
Специалист колл-центра
, 30000 руб.– компания "тд анавидин" обязанности: исходящие звонки потенциальным клиентам с целью- наладить контакт с ними, расположить к общению, рассказать и заинтересовать информацией о продукте и назначить дату и время для переговоров с руководителем. рассылка ...
Специалист call-центра
, 30000 руб.– компания "рекунова светлана александровна" в связи с расширением колл-центра требуются сотрудники на должность специалист по работе с клиентами обязанности: совершение исходящих звонков, без поиска клиентов. мы самостоятельно предоставляем теплую и холодную ...
– Обязанности: Техническая поддержка внутренних пользователей компании; Первичный прием и регистрация запросов через систему регистрации обращений, а также по телефону; Консультирование обратившихся пользователей по вопросам технической поддержки, ...
Оператор в колл-- центр
, 20000 руб.– компания "золотое время" крупная межрегиональная компания, сеть часовых, ювелирных и салонов оптики в связи с расширением представленности в регионе открывает вакансию оператор в колл- центр (возможен гибкий график работы) вакансия подойдет, желающим ...
Оператор call-центра
, 30000 руб.– В связи с расширением колл-центра требуются сотрудники на должность Специалист по работе с клиентами Обязанности: Совершение исходящих звонков, без поиска клиентов. Мы самостоятельно предоставляем теплую и холодную базы. Цель вашего звонка – оформленная ...
Специалист по оформлению заявок
, 30000 руб.– В связи с расширением колл-центра требуются сотрудники на должность Специалист по работе с клиентами Обязанности: Совершение исходящих звонков, без поиска клиентов. Мы самостоятельно предоставляем теплую и холодную базы. Цель вашего звонка – оформленная ...
Специалист по подбору персонала
, 40000 руб.– ООО СтройПроектСервис — крупная, стабильная компания, специализирующаяся на строительстве объектов нефтегазовой отрасли, области гражданского и промышленного строительства, а также транспортной инфраструктуры. Общее количество сотрудников более 3 000 ...
Оператор колл-центра (удаленно)
, 40000 руб.– компания "делориан медиа" добрый день, дорогой кандидат! мы компания, помогающая людям восстанавливать своё здоровье и поддерживать красоту! ищем сотрудника, заинтересованного зарабатывать, платим достойную заработную плату. компания коллмедиа - это ...
Оператор колл-центра (удаленно)
, 40000 руб.– Добрый день, дорогой кандидат! Мы компания, помогающая людям восстанавливать своё здоровье и поддерживать красоту! Ищем сотрудника, заинтересованного зарабатывать, платим достойную заработную плату. Компания Коллмедиа - это продающий колл-центр работающий ...
Удаленный специалист на ввод данных
, 25000 руб.– компания "stafflix" ведется набор на удалённую вакансию оператора онлайн-банка. подходит для работы из любого места, где есть интернет, без опыта работы. точное название вакансии: оператор дистанционного колл-центра. обязанности: работа с входящими чат-обращениями; ...
– компания "stafflix" ведется набор на удалённую вакансию консультанта онлайн-банка. подходит для работы из любого места, где есть интернет, без опыта работы. точное название вакансии: оператор колл-центра обязанности: работа с входящими чат-обращениями; ...
Колл-менеджер
, 30000 руб.– компания "арсенал-восток" с 2012 года мы помогаем компаниям создавать комфорт и безопасность на объектах, поддерживать чистоту и эстетику, производя поставки материалов для благоустройства входа и территорий. и у нас это хорошо получается!цель нашей компании:обустроить ...
Специалист чат-поддержки (на дому, в Яндекс.Такси)
, 25000 руб.– компания "гончаров никита дмитриевич" работа менеджером чатов в службу поддержки яндекс.go. необходимо будет заполнить небольшую анкету, после чего с вами свяжутся для интервью. кого ищем? менеджеров чатов в поддержку яндекс.go. мы отвечаем на вопросы ...
Диспетчер-логист / Начинающий специалист
, 25000 руб.– компания "ремонт бытовой техники" требования: грамотная устная и письменная речь знание основ документооборота уверенный пользователь пк знание программ ms office знание города не переживай, если у тебя нет опыта в данной сфере деятельности. мы ищем ...
Оператор/менеджер call-центра (удаленно)
, 30000 руб.– компания "делориан медиа" компания коллмедиа - это продающий колл-центр работающий в формате аутсорсинга, это официальный представитель брендов-производителей, продукция которых зарекомендовала себя на рынке. наш колл-центр успешно работает на рынке более ...
Продавец Tele2, Центр
, 45000 руб.– компания "цифровой папа" digital retail group" – "digital retail group" – является официальным партнером компании tele2 по восточной сибири. 20 лет на рынке сотового ритейла; 4 бизнес проекта; розничная сеть tele2; розничная сеть "xiaomi"; "ультрафреш", ...
Оператор Тинькофф, удалённо
, 25000 руб.– Консультируйте клиентов банка и проводите простые банковские операции. Нажимайте Откликнуться и мы с Вами свяжемся. Что вы будете делать: Консультировать клиентов банка по продуктам Проводить банковские операции: помогать активировать карту, закрыть ...
Оператор на входящие звонки (на дому, в Я.Такси)
, 23000 руб.– Работа оператором колл-центра в Яндекс.Такси. Необходимо будет заполнить небольшую анкету, после чего с вами свяжутся для интервью. Кого ищем? Операторов в диспетчерскую Яндекс.Такси. Мы принимаем входящие звонки от пользователей, помогаем им создать ...
Диспетчер, удаленно (в Я.Такси)
, 23000 руб.– компания "гончаров никита дмитриевич" работа оператором колл-центра в яндекс.такси. необходимо будет заполнить небольшую анкету, после чего с вами свяжутся для интервью. кого ищем? операторов в диспетчерскую яндекс.такси. мы принимаем входящие звонки ...
Системный администратор, г. Калининград
, 40000 руб.– Работа на территории работодателя: Калининград, улица Генерала Буткова, 2 ВРЕМЕННО Обязанности: Осуществляет комплекс работ по внедрению программных средств; Обобщает и анализирует замечания пользователей по результатам эксплуатации задач; Следит за ...
Менеджер чатов, на дому (в Я.Такси)
, 25000 руб.– компания "гончаров никита дмитриевич" работа менеджером чатов в службу поддержки яндекс.go. необходимо будет заполнить небольшую анкету, после чего с вами свяжутся для интервью. кого ищем? менеджеров чатов в поддержку яндекс.go. мы отвечаем на вопросы ...
Менеджер чатов (на дому, в Яндекс.Маркет)
, 28000 руб.– компания "гончаров никита дмитриевич" работа менеджером чатов в службу поддержки яндекс.маркет. необходимо будет заполнить небольшую анкету, после чего с вами свяжутся для интервью. кого ищем? менеджера чатов в поддержку яндекс.маркет. мы отвечаем на ...
Менеджер по работе с клиентами
, 30000 руб.– В связи с расширением колл-центра требуются сотрудники на должность Специалист по работе с клиентами Обязанности: Совершение исходящих звонков, без поиска клиентов. Мы самостоятельно предоставляем теплую и холодную базы. Цель вашего звонка – оформленная ...
Диспетчер, удаленно (в Я.Такси)
, 23000 руб.– Работа оператором колл-центра в Яндекс.Такси. Необходимо будет заполнить небольшую анкету, после чего с вами свяжутся для интервью. Кого ищем? Операторов в диспетчерскую Яндекс.Такси. Мы принимаем входящие звонки от пользователей, помогаем им создать ...
Менеджер чатов (на дому, в Яндекс.Маркет)
, 28000 руб.– Работа менеджером чатов в службу поддержки Яндекс.Маркет. Необходимо будет заполнить небольшую анкету, после чего с вами свяжутся для интервью. Кого ищем? Менеджера чатов в поддержку Яндекс.Маркет. Мы отвечаем на вопросы пользователей и наших партнеров ...
Оператор/менеджер call-центра (удаленно)
, 30000 руб.– Компания Коллмедиа - это продающий колл-центр работающий в формате аутсорсинга, это официальный представитель брендов-производителей, продукция которых зарекомендовала себя на рынке. Наш колл-центр успешно работает на рынке более 10 лет. Мы постоянно ...
Удаленный оператор (из дома, подработка)
, 25000 руб.– компания "staff-linear" работа удаленным специалистом службы поддержки в связи с увеличением количества клиентов и стремительным ростом компании открылись свежие вакансии менеджеров по работе с клиентами. внимание! вакансия может закрыться в ближайшее ...
– компания "kamagames studio" kamagames studio создает мобильные игры и приложения с 2010 года. мы ищем специалиста поддержки пользователей на проект другвокруг. другвокруг - один из крупнейших в снг социальных сервисов. ежедневная аудитория проекта составляет ...
– компания "stafflix" оператор онлайн-банка - одна из самых перспективных вакансий для начинающих фрилансеров, а так же для тех у кого уже есть опыт. точное название вакансии: оператор дистанционного колл-центра обязанности: вы будете работать 1на1 с компьютером, ...
– компания "kamagames studio" kamagames studio с 2010 года создает мобильные игры в жанре карточных и настольных игр. разработанные нами игры достигали первой позиции по top grossing в 101 стране в app store и тор-5 в 45 странах в google play. в службу ...
– компания "гончаров никита дмитриевич" работа оператором колл-центра в яндекс.такси. необходимо будет заполнить небольшую анкету, после чего с вами свяжутся для интервью. кого ищем? операторов в диспетчерскую яндекс.такси. мы принимаем входящие звонки ...
Оператор на входящие звонки (на дому, в Я.Такси)
, 23000 руб.– компания "гончаров никита дмитриевич" работа оператором колл-центра в яндекс.такси. необходимо будет заполнить небольшую анкету, после чего с вами свяжутся для интервью. кого ищем? операторов в диспетчерскую яндекс.такси. мы принимаем входящие звонки ...
Продавец Tele2, Новоленино
, 45000 руб.– компания "цифровой папа" digital retail group" – "digital retail group" – является официальным партнером компании tele2 по восточной сибири. 20 лет на рынке сотового ритейла; карьерный рост до топ -менеджера (все управляющие выросли с позиции стажера, ...
Менеджер по продажам Tele2 (Вампилова 4а/2)
, 40000 руб.– компания "цифровой папа" digital retail group" – "digital retail group" – является официальным партнером компании tele2 по восточной сибири. 20 лет на рынке сотового ритейла; карьерный рост до топ -менеджера (все управляющие выросли с позиции стажера, ...
Руководитель отдела продаж недвижимости «ВЛАДИС»
, 100000 руб.– компания "ритм города" компания владис - федеральная компания с уникальной платформой управления и продаж. приглашаем на позицию руководитель отдела продаж вторичной недвижимости честных, энергичных экспертов в управлении и продажах. вам предстоит: ...
Ум и мята - авторские обзоры
ТОП-вакансий за последние 24 часа.
«Специалист колл центра»: управляющий торговым процессом
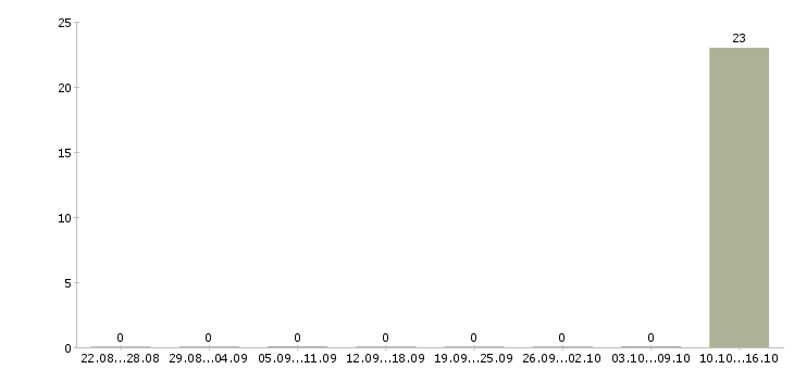
Число вакансий в Иркутске по специальности специалист колл центра за 2 месяца
Форма занятности может быть:. Насчитывается вакансии по наиболее популярной занятости -. В рейтинге запросов по различным вакансиям на сайте, общее число запросов по специальности специалист колл центра располагается на 0 позиций. Показатель средней заработной платы за месяц по указанным вакансиям равняется 20500. Помимо вакансии «специалист колл центра» в регионе Иркутск востребованы специалисты на должности:
Медиана зарплат специалист колл центра в Иркутске за 2 месяца
- «Специалист по продажам банковских продуктов»;
- «Специалист по продажам банковских продуктов на дому»;
- «Специалист по продажам продуктов банка».

Специалист колл центра выполняет разные функции. При этом величина минимальной зарплаты за месяц равняется 20000 руб. По всем уголкам региона Иркутская область требуется 0 человек на данную вакансию. Города, где вакансия специалист колл центра также пользуется большой популярностью, как и в Иркутск:
- Подгорный
- Ук
- Таежный
- Порог
- Солонцы
Наибольшее количество рабочих мест по вакансии «специалист колл центра» организовали такие компании, как
- «Тинькофф Банк»;
- «КУБОМЕТР, ООО»;
- «ГК ТеплоХолод»;
Максимальная отметка зарплаты по этой специализации составляет 25000 руб, что обозначено в текущих запросах пользователей за месяц. Медианное значение месячной заработной платы в регионе Иркутск в текущем году составляет 20000 руб. Всего в регионе Иркутск для данной профессии на сегодняшний момент имеется 34 вакансии. Работодатели предлагают также и другие специализации данной категории. К ним относятся:. Все данные актуальны для региона Иркутск, Иркутская область. В регионе Иркутск существует большая потребность в специалистах разнообразных профессий. Иркутск – вполне нормальное место, чтобы зарабатывать, даже на должности специалист колл центра. Заработная плата, как правило, составляет 20000 руб. В нашей стране есть 6362 свободных рабочих мест по специализации «специалист колл центра». Категория к которой относится данная специализация. «Специалист колл центра» – популярная специализация не только по региону Иркутск, но и по всей России. Регион Иркутск изобилует вакансиями «специалист колл центра». За истекший месяц на сайте зафиксировано 0 запросов по поводу вакансий специалист колл центра. Другое название указанной специализации – специалист колл центра. Количество вакансий по всем специализациям в категории составляет 1248 позиций.
- Работа вакансии
- Информация
- Найти работу
- Работа в вашем городе